An Exploratory Single-Arm Clinical Trial on Eucommia Ulmoides Leaf Extract Effects on Blood Pressure, Oxidative Stress, and Atrial Natriuretic Peptide (ANP) in Individuals With and Without Chronic Kidney Disease.

IF 1.4 Q3 UROLOGY & NEPHROLOGY
International Journal of Nephrology Pub Date : 2025-06-19 eCollection Date: 2025-01-01 DOI:10.1155/ijne/5598055
Hiroshi Satonaka, Shohei Yokoyama, Akira Ishimitsu, Chisato Takahashi, Tatemitsu Rai, Daisuke Nagata, Toshihiko Ishimitsu, Akihiro Tojo
{"title":"An Exploratory Single-Arm Clinical Trial on Eucommia Ulmoides Leaf Extract Effects on Blood Pressure, Oxidative Stress, and Atrial Natriuretic Peptide (ANP) in Individuals With and Without Chronic Kidney Disease.","authors":"Hiroshi Satonaka, Shohei Yokoyama, Akira Ishimitsu, Chisato Takahashi, Tatemitsu Rai, Daisuke Nagata, Toshihiko Ishimitsu, Akihiro Tojo","doi":"10.1155/ijne/5598055","DOIUrl":null,"url":null,"abstract":"<p><p>Eucommia ulmoides (Tochu) has been shown to possess a variety of beneficial effects on profiles affecting the onset of lifestyle- or aging-related diseases, such as hypertension, diabetes, dyslipidemia, or obesity. This exploratory single-arm clinical study was conducted on a total of 17 participants including those with mild chronic kidney disease (CKD) (<i>n</i> = 9), who were administered a tablet product containing Tochu leaf extract for a short period (median: 33 days), to investigate its effects on blood pressure or related clinical markers. Mean systolic blood pressure (SBP) of all the participants significantly decreased from 128.3 ± 12.3 mmHg at the start to 123.8 ± 10.2 mmHg at the end of the administration (<i>p</i> < 0.05). Analysis of CKD patients alone, however, revealed that SBP, to a greater extent, decreased from 130.7 ± 12.9 mmHg to 121.2 ± 10.7 mmHg (<i>p</i> < 0.01), while the change in non-CKD patients was not significant. Furthermore, SBP decrease in CKD patients with hypertension (<i>n</i> = 7) alone was also significant and comparable. Mean blood oxidative stress index of all participants was decreased from 300.2 ± 76.7 U.CARR to 285.9 ± 63.0 U.CARR (<i>p</i> < 0.05), while median atrial natriuretic peptide (ANP) of all the participants was increased from 8.1 (5.0-9.6) pg/mL to 8.8 (5.8-12.1) pg/mL (<i>p</i> < 0.05). Our findings suggested that Tochu-derived components may have potential therapeutic benefit at earlier stages in CKD, which could fill the gaps in currently underserved opportunities for prevention or intervention. <b>Trial Registration:</b> UMIN Clinical Trials Registry: UMIN000050727.</p>","PeriodicalId":14177,"journal":{"name":"International Journal of Nephrology","volume":"2025 ","pages":"5598055"},"PeriodicalIF":1.4000,"publicationDate":"2025-06-19","publicationTypes":"Journal Article","fieldsOfStudy":null,"isOpenAccess":false,"openAccessPdf":"https://www.ncbi.nlm.nih.gov/pmc/articles/PMC12202076/pdf/","citationCount":"0","resultStr":null,"platform":"Semanticscholar","paperid":null,"PeriodicalName":"International Journal of Nephrology","FirstCategoryId":"1085","ListUrlMain":"https://doi.org/10.1155/ijne/5598055","RegionNum":0,"RegionCategory":null,"ArticlePicture":[],"TitleCN":null,"AbstractTextCN":null,"PMCID":null,"EPubDate":"2025/1/1 0:00:00","PubModel":"eCollection","JCR":"Q3","JCRName":"UROLOGY & NEPHROLOGY","Score":null,"Total":0}
引用次数: 0

Abstract

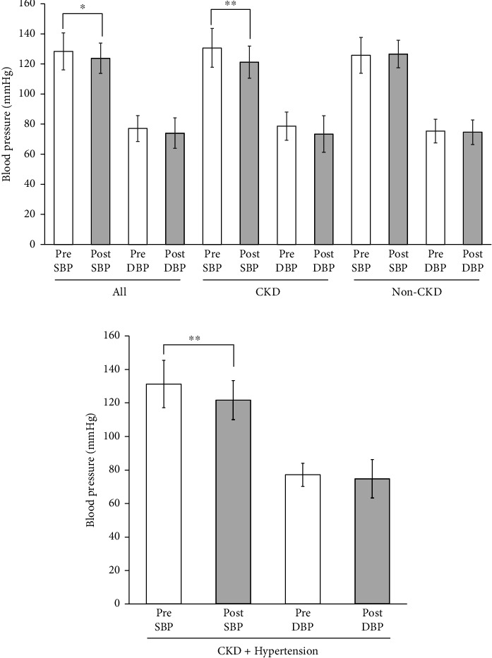
Eucommia ulmoides (Tochu) has been shown to possess a variety of beneficial effects on profiles affecting the onset of lifestyle- or aging-related diseases, such as hypertension, diabetes, dyslipidemia, or obesity. This exploratory single-arm clinical study was conducted on a total of 17 participants including those with mild chronic kidney disease (CKD) (n = 9), who were administered a tablet product containing Tochu leaf extract for a short period (median: 33 days), to investigate its effects on blood pressure or related clinical markers. Mean systolic blood pressure (SBP) of all the participants significantly decreased from 128.3 ± 12.3 mmHg at the start to 123.8 ± 10.2 mmHg at the end of the administration (p < 0.05). Analysis of CKD patients alone, however, revealed that SBP, to a greater extent, decreased from 130.7 ± 12.9 mmHg to 121.2 ± 10.7 mmHg (p < 0.01), while the change in non-CKD patients was not significant. Furthermore, SBP decrease in CKD patients with hypertension (n = 7) alone was also significant and comparable. Mean blood oxidative stress index of all participants was decreased from 300.2 ± 76.7 U.CARR to 285.9 ± 63.0 U.CARR (p < 0.05), while median atrial natriuretic peptide (ANP) of all the participants was increased from 8.1 (5.0-9.6) pg/mL to 8.8 (5.8-12.1) pg/mL (p < 0.05). Our findings suggested that Tochu-derived components may have potential therapeutic benefit at earlier stages in CKD, which could fill the gaps in currently underserved opportunities for prevention or intervention. Trial Registration: UMIN Clinical Trials Registry: UMIN000050727.

Abstract Image

Abstract Image

Abstract Image

杜仲叶提取物对有或无慢性肾病患者血压、氧化应激和心房钠素(ANP)影响的探索性单臂临床试验
杜仲(杜仲)已被证明对影响生活方式或衰老相关疾病(如高血压、糖尿病、血脂异常或肥胖)发病的特征具有多种有益作用。这项探索性单臂临床研究共对17名参与者进行了研究,其中包括轻度慢性肾脏疾病(CKD)患者(n = 9),他们服用了一种含有Tochu叶提取物的片剂,服用时间短(中位数:33天),以研究其对血压或相关临床指标的影响。所有参与者的平均收缩压(SBP)从开始时的128.3±12.3 mmHg显著降低到给药结束时的123.8±10.2 mmHg (p < 0.05)。然而,单独对CKD患者的分析显示,收缩压在更大程度上从130.7±12.9 mmHg下降到121.2±10.7 mmHg (p < 0.01),而非CKD患者的变化不显著。此外,CKD合并高血压患者(n = 7)单独的收缩压下降也具有显著性和可比性。所有受试者的平均血液氧化应激指数从300.2±76.7 U.CARR降至285.9±63.0 U.CARR (p < 0.05),而心房钠肽(ANP)中位数从8.1 (5.0-9.6)pg/mL上升至8.8 (5.8-12.1)pg/mL (p < 0.05)。我们的研究结果表明,tochu衍生成分可能在CKD的早期阶段具有潜在的治疗益处,这可以填补目前服务不足的预防或干预机会的空白。试验注册:UMIN临床试验注册:UMIN000050727。
本文章由计算机程序翻译,如有差异,请以英文原文为准。
求助全文
约1分钟内获得全文 求助全文
来源期刊
International Journal of Nephrology
International Journal of Nephrology UROLOGY & NEPHROLOGY-
CiteScore
3.40
自引率
4.80%
发文量
44
审稿时长
17 weeks
期刊介绍: International Journal of Nephrology is a peer-reviewed, Open Access journal that publishes original research articles, review articles, and clinical studies focusing on the prevention, diagnosis, and management of kidney diseases and associated disorders. The journal welcomes submissions related to cell biology, developmental biology, genetics, immunology, pathology, pathophysiology of renal disease and progression, clinical nephrology, dialysis, and transplantation.
×
引用
GB/T 7714-2015
复制
MLA
复制
APA
复制
导出至
BibTeX EndNote RefMan NoteFirst NoteExpress
×
提示
您的信息不完整,为了账户安全,请先补充。
现在去补充
×
提示
您因"违规操作"
具体请查看互助需知
我知道了
×
提示
确定
请完成安全验证×
copy
已复制链接
快去分享给好友吧!
我知道了
右上角分享
点击右上角分享
0
联系我们:info@booksci.cn Book学术提供免费学术资源搜索服务,方便国内外学者检索中英文文献。致力于提供最便捷和优质的服务体验。 Copyright © 2023 布克学术 All rights reserved.
京ICP备2023020795号-1
ghs 京公网安备 11010802042870号
Book学术文献互助
Book学术文献互助群
群 号:604180095
Book学术官方微信