Resistance of HEK-293 and COS-7 cell lines to oxidative stress as a model of metabolic response.

IF 1.4 4区 生物学 Q4 BIOCHEMISTRY & MOLECULAR BIOLOGY
Acta biochimica Polonica Pub Date : 2025-06-12 eCollection Date: 2025-01-01 DOI:10.3389/abp.2025.14164
Monika Sapeta-Nowińska, Katarzyna Sołtys, Katarzyna Gębczak, Ewa Barg, Piotr Młynarz
{"title":"Resistance of HEK-293 and COS-7 cell lines to oxidative stress as a model of metabolic response.","authors":"Monika Sapeta-Nowińska, Katarzyna Sołtys, Katarzyna Gębczak, Ewa Barg, Piotr Młynarz","doi":"10.3389/abp.2025.14164","DOIUrl":null,"url":null,"abstract":"<p><p>Oxidative stress (OS), arising from an imbalance between reactive oxygen species (ROS) production and antioxidant defenses, plays a pivotal role in cellular dysfunction and the pathogenesis of numerous diseases. This study evaluates the impact of oxidative stress induced by hydrogen peroxide on the metabolomic profiles of the human embryonic kidney (HEK-293) and African green monkey kidney (COS-7) cell lines. Viability (MTT) and free radical accumulation (DCF-DA) assays confirmed a dose-dependent cytotoxic effect of hydrogen peroxide, with COS-7 cells exhibiting greater resistance and producing lower levels of intracellular ROS compared to HEK-293. Metabolomic profiling was conducted using nuclear magnetic resonance spectroscopy (<sup>1</sup>H NMR) to identify and quantify metabolic changes. Exposure to a free radical inducer significantly altered both intracellular and extracellular metabolites compared to control H<sub>2</sub>O<sub>2</sub>-free samples. The analysis revealed common changes in intracellular metabolites between the two lines, including glutamate, NAD<sup>+</sup>, glutathione, ATP/ADP, AMP, and pyruvate - key molecule for mitochondrial function, as well as extracellular metabolites such as glutamate, glutamine, acetate, lactate, and pyruvate. Metabolomic differences observed in COS-7 cells suggest a potentially greater capacity for metabolic adaptation to oxidative stress. These included elevated levels of branched-chain amino acids (BCAA), supporting energy production, and increased formate production, which may aid purine synthesis and cellular resilience. These findings highlight the distinct metabolic adaptations of COS-7 cells to oxidative stress in comparison to the HEK-293 cell line. They also provide insights into the direct cellular responses to altered redox potential, offering possible therapeutic strategies aimed at targeting metabolic pathways to mitigate oxidative stress.</p>","PeriodicalId":6984,"journal":{"name":"Acta biochimica Polonica","volume":"72 ","pages":"14164"},"PeriodicalIF":1.4000,"publicationDate":"2025-06-12","publicationTypes":"Journal Article","fieldsOfStudy":null,"isOpenAccess":false,"openAccessPdf":"https://www.ncbi.nlm.nih.gov/pmc/articles/PMC12198024/pdf/","citationCount":"0","resultStr":null,"platform":"Semanticscholar","paperid":null,"PeriodicalName":"Acta biochimica Polonica","FirstCategoryId":"99","ListUrlMain":"https://doi.org/10.3389/abp.2025.14164","RegionNum":4,"RegionCategory":"生物学","ArticlePicture":[],"TitleCN":null,"AbstractTextCN":null,"PMCID":null,"EPubDate":"2025/1/1 0:00:00","PubModel":"eCollection","JCR":"Q4","JCRName":"BIOCHEMISTRY & MOLECULAR BIOLOGY","Score":null,"Total":0}
引用次数: 0

Abstract

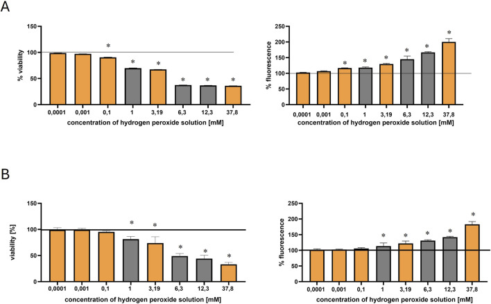
Oxidative stress (OS), arising from an imbalance between reactive oxygen species (ROS) production and antioxidant defenses, plays a pivotal role in cellular dysfunction and the pathogenesis of numerous diseases. This study evaluates the impact of oxidative stress induced by hydrogen peroxide on the metabolomic profiles of the human embryonic kidney (HEK-293) and African green monkey kidney (COS-7) cell lines. Viability (MTT) and free radical accumulation (DCF-DA) assays confirmed a dose-dependent cytotoxic effect of hydrogen peroxide, with COS-7 cells exhibiting greater resistance and producing lower levels of intracellular ROS compared to HEK-293. Metabolomic profiling was conducted using nuclear magnetic resonance spectroscopy (1H NMR) to identify and quantify metabolic changes. Exposure to a free radical inducer significantly altered both intracellular and extracellular metabolites compared to control H2O2-free samples. The analysis revealed common changes in intracellular metabolites between the two lines, including glutamate, NAD+, glutathione, ATP/ADP, AMP, and pyruvate - key molecule for mitochondrial function, as well as extracellular metabolites such as glutamate, glutamine, acetate, lactate, and pyruvate. Metabolomic differences observed in COS-7 cells suggest a potentially greater capacity for metabolic adaptation to oxidative stress. These included elevated levels of branched-chain amino acids (BCAA), supporting energy production, and increased formate production, which may aid purine synthesis and cellular resilience. These findings highlight the distinct metabolic adaptations of COS-7 cells to oxidative stress in comparison to the HEK-293 cell line. They also provide insights into the direct cellular responses to altered redox potential, offering possible therapeutic strategies aimed at targeting metabolic pathways to mitigate oxidative stress.

Abstract Image

Abstract Image

Abstract Image

HEK-293和COS-7细胞系对氧化应激的抗性作为代谢反应模型。
氧化应激(OS)是由活性氧(ROS)产生和抗氧化防御之间的不平衡引起的,在细胞功能障碍和许多疾病的发病机制中起着关键作用。本研究评估了过氧化氢诱导的氧化应激对人胚胎肾(HEK-293)和非洲绿猴肾(COS-7)细胞系代谢组学特征的影响。活力(MTT)和自由基积累(DCF-DA)测定证实了过氧化氢的剂量依赖性细胞毒性作用,与HEK-293相比,COS-7细胞表现出更大的抗性,产生更低水平的细胞内ROS。使用核磁共振波谱(1H NMR)进行代谢组学分析,以识别和量化代谢变化。与不含h2o2的对照样品相比,暴露于自由基诱导剂显著改变了细胞内和细胞外代谢物。分析结果显示,两系细胞内代谢物的共同变化,包括谷氨酸、NAD+、谷胱甘肽、ATP/ADP、AMP和丙酮酸——线粒体功能的关键分子,以及细胞外代谢物,如谷氨酸、谷氨酰胺、醋酸盐、乳酸盐和丙酮酸。在COS-7细胞中观察到的代谢组学差异表明,对氧化应激的代谢适应能力可能更大。这些包括支链氨基酸(BCAA)水平升高,支持能量生产,甲酸生产增加,这可能有助于嘌呤合成和细胞弹性。与HEK-293细胞系相比,这些发现突出了COS-7细胞对氧化应激的独特代谢适应。它们还提供了对氧化还原电位改变的直接细胞反应的见解,提供了针对代谢途径减轻氧化应激的可能治疗策略。
本文章由计算机程序翻译,如有差异,请以英文原文为准。
求助全文
约1分钟内获得全文 求助全文
来源期刊
Acta biochimica Polonica
Acta biochimica Polonica 生物-生化与分子生物学
CiteScore
2.40
自引率
0.00%
发文量
99
审稿时长
4-8 weeks
期刊介绍: Acta Biochimica Polonica is a journal covering enzymology and metabolism, membranes and bioenergetics, gene structure and expression, protein, nucleic acid and carbohydrate structure and metabolism.
×
引用
GB/T 7714-2015
复制
MLA
复制
APA
复制
导出至
BibTeX EndNote RefMan NoteFirst NoteExpress
×
提示
您的信息不完整,为了账户安全,请先补充。
现在去补充
×
提示
您因"违规操作"
具体请查看互助需知
我知道了
×
提示
确定
请完成安全验证×
copy
已复制链接
快去分享给好友吧!
我知道了
右上角分享
点击右上角分享
0
联系我们:info@booksci.cn Book学术提供免费学术资源搜索服务,方便国内外学者检索中英文文献。致力于提供最便捷和优质的服务体验。 Copyright © 2023 布克学术 All rights reserved.
京ICP备2023020795号-1
ghs 京公网安备 11010802042870号
Book学术文献互助
Book学术文献互助群
群 号:604180095
Book学术官方微信