Discovery of a Phenylalanine-Derived Natural Compound as a Potential Dual Inhibitor of MDM2 and MDMX

IF 3.4 4区 医学 Q2 CHEMISTRY, MEDICINAL
ChemMedChem Pub Date : 2025-06-27 DOI:10.1002/cmdc.202500397
Ja Young Cho, Sanghwa Park, Taejung Kim, Junghye Eom, Jung-Rae Rho, Hyoung-Woo Bai
{"title":"Discovery of a Phenylalanine-Derived Natural Compound as a Potential Dual Inhibitor of MDM2 and MDMX","authors":"Ja Young Cho,&nbsp;Sanghwa Park,&nbsp;Taejung Kim,&nbsp;Junghye Eom,&nbsp;Jung-Rae Rho,&nbsp;Hyoung-Woo Bai","doi":"10.1002/cmdc.202500397","DOIUrl":null,"url":null,"abstract":"<p>Dual inhibition of the negative p53 regulators MDM2 and MDMX has emerged as an effective strategy in p53-based anticancer therapy. However, dual inhibitors are limited, and many inhibitors exhibit poor pharmacokinetic properties and fast dissociation kinetics. Among newly identified microbial metabolites, the novel phenylalanine-derived compound P5 isolated from <i>Micromonospora</i> sp. MS-62 (FBCC-B8445) exhibits inhibitory activity against both MDM2 and MDMX. The binding of P5 to MDM2 and MDMX is demonstrated by surface plasmon resonance, which reveals nanomolar-level affinity and slow dissociation kinetics (KD = 46 nM for MDM2; 576 nM for MDMX). This dual inhibitory activity was further supported by molecular docking, which reveals binding of P5 to the p53-binding pockets of both MDM2 and MDMX through extensive noncovalent interactions. In cell-based assays, P5 reduced cancer cell viability across several human cell lines. Furthermore, <i>in silico</i> analysis indicates favorable pharmacokinetic properties, including gastrointestinal absorption, blood–brain barrier permeability, and compliance with Lipinski's and Veber's criteria. P5 combines dual-target engagement with binding persistence and favorable pharmacokinetic characteristics, addressing limitations of earlier inhibitors. P5 is a potential lead compound for the development of MDM2/MDMX-targeted anticancer agents.</p>","PeriodicalId":147,"journal":{"name":"ChemMedChem","volume":"20 16","pages":""},"PeriodicalIF":3.4000,"publicationDate":"2025-06-27","publicationTypes":"Journal Article","fieldsOfStudy":null,"isOpenAccess":false,"openAccessPdf":"https://chemistry-europe.onlinelibrary.wiley.com/doi/epdf/10.1002/cmdc.202500397","citationCount":"0","resultStr":null,"platform":"Semanticscholar","paperid":null,"PeriodicalName":"ChemMedChem","FirstCategoryId":"3","ListUrlMain":"https://chemistry-europe.onlinelibrary.wiley.com/doi/10.1002/cmdc.202500397","RegionNum":4,"RegionCategory":"医学","ArticlePicture":[],"TitleCN":null,"AbstractTextCN":null,"PMCID":null,"EPubDate":"","PubModel":"","JCR":"Q2","JCRName":"CHEMISTRY, MEDICINAL","Score":null,"Total":0}
引用次数: 0

Abstract

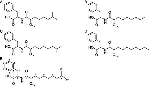
Dual inhibition of the negative p53 regulators MDM2 and MDMX has emerged as an effective strategy in p53-based anticancer therapy. However, dual inhibitors are limited, and many inhibitors exhibit poor pharmacokinetic properties and fast dissociation kinetics. Among newly identified microbial metabolites, the novel phenylalanine-derived compound P5 isolated from Micromonospora sp. MS-62 (FBCC-B8445) exhibits inhibitory activity against both MDM2 and MDMX. The binding of P5 to MDM2 and MDMX is demonstrated by surface plasmon resonance, which reveals nanomolar-level affinity and slow dissociation kinetics (KD = 46 nM for MDM2; 576 nM for MDMX). This dual inhibitory activity was further supported by molecular docking, which reveals binding of P5 to the p53-binding pockets of both MDM2 and MDMX through extensive noncovalent interactions. In cell-based assays, P5 reduced cancer cell viability across several human cell lines. Furthermore, in silico analysis indicates favorable pharmacokinetic properties, including gastrointestinal absorption, blood–brain barrier permeability, and compliance with Lipinski's and Veber's criteria. P5 combines dual-target engagement with binding persistence and favorable pharmacokinetic characteristics, addressing limitations of earlier inhibitors. P5 is a potential lead compound for the development of MDM2/MDMX-targeted anticancer agents.

Abstract Image

Abstract Image

Abstract Image

Abstract Image

苯丙氨酸衍生的天然化合物作为MDM2和MDMX的潜在双重抑制剂的发现。
双重抑制负p53调节因子MDM2和MDMX已成为基于p53的抗癌治疗的有效策略。然而,双重抑制剂是有限的,许多抑制剂表现出较差的药代动力学性质和快速的解离动力学。在新发现的微生物代谢物中,从Micromonospora sp. MS-62 (FBCC-B8445)中分离得到的苯丙氨酸衍生化合物P5对MDM2和MDMX均有抑制活性。表面等离子体共振证实了P5与MDM2和MDMX的结合,显示出纳米级的亲和力和缓慢的解离动力学(MDM2的KD = 46 nM;576 nM为MDMX)。分子对接进一步支持了这种双重抑制活性,发现P5通过广泛的非共价相互作用与MDM2和MDMX的p53结合口袋结合。在基于细胞的实验中,P5降低了几种人类细胞系的癌细胞活力。此外,计算机分析显示良好的药代动力学特性,包括胃肠道吸收,血脑屏障通透性,并符合Lipinski和Veber标准。P5结合了双靶点结合、结合持久性和良好的药代动力学特性,解决了早期抑制剂的局限性。P5是开发MDM2/ mdmx靶向抗癌药物的潜在先导化合物。
本文章由计算机程序翻译,如有差异,请以英文原文为准。
求助全文
约1分钟内获得全文 求助全文
来源期刊
ChemMedChem
ChemMedChem 医学-药学
CiteScore
6.70
自引率
2.90%
发文量
280
审稿时长
1 months
期刊介绍: Quality research. Outstanding publications. With an impact factor of 3.124 (2019), ChemMedChem is a top journal for research at the interface of chemistry, biology and medicine. It is published on behalf of Chemistry Europe, an association of 16 European chemical societies. ChemMedChem publishes primary as well as critical secondary and tertiary information from authors across and for the world. Its mission is to integrate the wide and flourishing field of medicinal and pharmaceutical sciences, ranging from drug design and discovery to drug development and delivery, from molecular modeling to combinatorial chemistry, from target validation to lead generation and ADMET studies. ChemMedChem typically covers topics on small molecules, therapeutic macromolecules, peptides, peptidomimetics, and aptamers, protein-drug conjugates, nucleic acid therapies, and beginning 2017, nanomedicine, particularly 1) targeted nanodelivery, 2) theranostic nanoparticles, and 3) nanodrugs. Contents ChemMedChem publishes an attractive mixture of: Full Papers and Communications Reviews and Minireviews Patent Reviews Highlights and Concepts Book and Multimedia Reviews.
×
引用
GB/T 7714-2015
复制
MLA
复制
APA
复制
导出至
BibTeX EndNote RefMan NoteFirst NoteExpress
×
提示
您的信息不完整,为了账户安全,请先补充。
现在去补充
×
提示
您因"违规操作"
具体请查看互助需知
我知道了
×
提示
确定
请完成安全验证×
copy
已复制链接
快去分享给好友吧!
我知道了
右上角分享
点击右上角分享
0
联系我们:info@booksci.cn Book学术提供免费学术资源搜索服务,方便国内外学者检索中英文文献。致力于提供最便捷和优质的服务体验。 Copyright © 2023 布克学术 All rights reserved.
京ICP备2023020795号-1
ghs 京公网安备 11010802042870号
Book学术文献互助
Book学术文献互助群
群 号:604180095
Book学术官方微信