Association of Game Use With Loneliness and Social Isolation: A Nationwide Korean Study.

IF 1.8 4区 医学 Q3 PSYCHIATRY
Psychiatry Investigation Pub Date : 2025-06-01 Epub Date: 2025-06-16 DOI:10.30773/pi.2023.0385
Jin Young Jung, Han Mil Choi, Jin Pyo Hong, Myung Hyun Kim, Dahae Kim, So Hee Park, Bong-Jin Hahm, Ji Hyun An
{"title":"Association of Game Use With Loneliness and Social Isolation: A Nationwide Korean Study.","authors":"Jin Young Jung, Han Mil Choi, Jin Pyo Hong, Myung Hyun Kim, Dahae Kim, So Hee Park, Bong-Jin Hahm, Ji Hyun An","doi":"10.30773/pi.2023.0385","DOIUrl":null,"url":null,"abstract":"<p><strong>Objective: </strong>The aim of this article is to examine the correlation between social isolation, loneliness, and the use of online games. Conflicting conclusions have been drawn in previous studies on this topic due to small sample sizes and the confounding effects of psychiatric disorders. To address these limitations, the authors conducted a nationwide study that gives consideration to sociodemographic variables and psychiatric disorders.</p><p><strong>Methods: </strong>A total of 5,511 Koreans responded to the Loneliness and Social Isolation Scale-6, Game Overuse Screening Questionnaire, and Korean version of the Composite International Diagnostic Interview between January 2021 and March 2021. Participants were classified as non-gamer, low-risk gamer, and high-risk gamer according to their game usage. Multivariate linear regression was performed to evaluate the association of game usage with loneliness and social isolation after propensity matching controlling for sociodemographic data and presence of psychiatric disorders.</p><p><strong>Results: </strong>Low-risk gamers reported significantly lower loneliness scores (0.53±1.02) compared to other gaming groups (non-risk: 0.94±1.44, high-risk: 1.02±1.64). Among male participants, non-risk gamers (2.49±1.51) showed lower social network scores than low-risk gamers (2.10±1.11) and high-risk gamers (2.09±1.31). Loneliness (p=0.001) was more strongly correlated with game usage than social support (p=0.839) or network (p=0.055). The relationship between loneliness and game usage was significantly stronger in non-risk (B=0.41) and high-risk (B=0.44) gamers than in low-risk gamers.</p><p><strong>Conclusion: </strong>Increased use of game does not show a linear relationship with loneliness and isolation when correcting for confounding factors including psychiatric disease. Rather, low-risk game use was associated with lower scores for loneliness and isolation. Further studies exploring other factors that affect gaming overuse, loneliness and social isolation are needed.</p>","PeriodicalId":21164,"journal":{"name":"Psychiatry Investigation","volume":"22 6","pages":"714-721"},"PeriodicalIF":1.8000,"publicationDate":"2025-06-01","publicationTypes":"Journal Article","fieldsOfStudy":null,"isOpenAccess":false,"openAccessPdf":"https://www.ncbi.nlm.nih.gov/pmc/articles/PMC12198890/pdf/","citationCount":"0","resultStr":null,"platform":"Semanticscholar","paperid":null,"PeriodicalName":"Psychiatry Investigation","FirstCategoryId":"3","ListUrlMain":"https://doi.org/10.30773/pi.2023.0385","RegionNum":4,"RegionCategory":"医学","ArticlePicture":[],"TitleCN":null,"AbstractTextCN":null,"PMCID":null,"EPubDate":"2025/6/16 0:00:00","PubModel":"Epub","JCR":"Q3","JCRName":"PSYCHIATRY","Score":null,"Total":0}
引用次数: 0

Abstract

Objective: The aim of this article is to examine the correlation between social isolation, loneliness, and the use of online games. Conflicting conclusions have been drawn in previous studies on this topic due to small sample sizes and the confounding effects of psychiatric disorders. To address these limitations, the authors conducted a nationwide study that gives consideration to sociodemographic variables and psychiatric disorders.

Methods: A total of 5,511 Koreans responded to the Loneliness and Social Isolation Scale-6, Game Overuse Screening Questionnaire, and Korean version of the Composite International Diagnostic Interview between January 2021 and March 2021. Participants were classified as non-gamer, low-risk gamer, and high-risk gamer according to their game usage. Multivariate linear regression was performed to evaluate the association of game usage with loneliness and social isolation after propensity matching controlling for sociodemographic data and presence of psychiatric disorders.

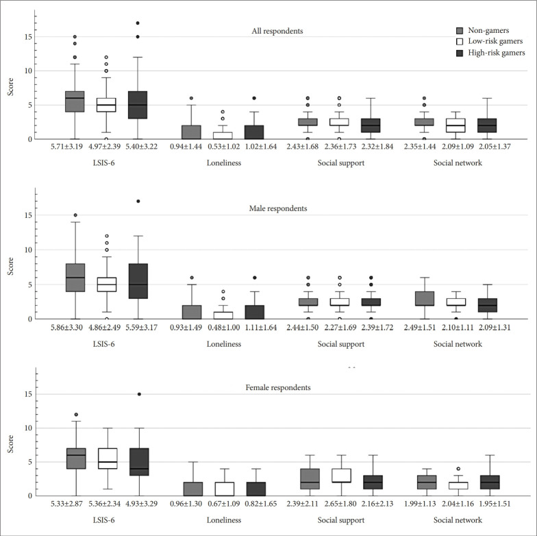
Results: Low-risk gamers reported significantly lower loneliness scores (0.53±1.02) compared to other gaming groups (non-risk: 0.94±1.44, high-risk: 1.02±1.64). Among male participants, non-risk gamers (2.49±1.51) showed lower social network scores than low-risk gamers (2.10±1.11) and high-risk gamers (2.09±1.31). Loneliness (p=0.001) was more strongly correlated with game usage than social support (p=0.839) or network (p=0.055). The relationship between loneliness and game usage was significantly stronger in non-risk (B=0.41) and high-risk (B=0.44) gamers than in low-risk gamers.

Conclusion: Increased use of game does not show a linear relationship with loneliness and isolation when correcting for confounding factors including psychiatric disease. Rather, low-risk game use was associated with lower scores for loneliness and isolation. Further studies exploring other factors that affect gaming overuse, loneliness and social isolation are needed.

Abstract Image

游戏使用与孤独感和社会隔离的关系:一项韩国全国性研究
目的:本文的目的是研究社交孤立、孤独感和网络游戏使用之间的关系。由于样本量小和精神疾病的混杂效应,在先前的研究中得出了相互矛盾的结论。为了解决这些局限性,作者进行了一项考虑到社会人口变量和精神疾病的全国性研究。方法:2021年1月至2021年3月期间,共有5511名韩国人参与了孤独和社会隔离量表-6、游戏过度使用筛查问卷和韩国版综合国际诊断访谈。参与者根据他们的游戏使用情况被分为非游戏玩家、低风险玩家和高风险玩家。在对社会人口统计数据和精神障碍的存在进行倾向匹配控制后,采用多元线性回归来评估游戏使用与孤独和社会隔离的关系。结果:低风险玩家报告的孤独得分(0.53±1.02)显著低于其他游戏群体(非风险:0.94±1.44,高风险:1.02±1.64)。在男性参与者中,非风险玩家(2.49±1.51)的社交网络得分低于低风险玩家(2.10±1.11)和高风险玩家(2.09±1.31)。与社交支持(p=0.839)或社交网络(p=0.055)相比,孤独感(p=0.001)与游戏使用的相关性更强。与低风险玩家相比,无风险玩家(B=0.41)和高风险玩家(B=0.44)的孤独感和游戏使用之间的关系更为明显。结论:在校正包括精神疾病在内的混杂因素后,游戏使用的增加与孤独感和孤立感没有线性关系。相反,低风险游戏的使用与较低的孤独和孤立得分有关。我们需要进一步研究影响游戏过度使用、孤独感和社交隔离的其他因素。
本文章由计算机程序翻译,如有差异,请以英文原文为准。
求助全文
约1分钟内获得全文 求助全文
来源期刊
CiteScore
4.10
自引率
3.70%
发文量
105
审稿时长
6-12 weeks
期刊介绍: The Psychiatry Investigation is published on the 25th day of every month in English by the Korean Neuropsychiatric Association (KNPA). The Journal covers the whole range of psychiatry and neuroscience. Both basic and clinical contributions are encouraged from all disciplines and research areas relevant to the pathophysiology and management of neuropsychiatric disorders and symptoms, as well as researches related to cross cultural psychiatry and ethnic issues in psychiatry. The Journal publishes editorials, review articles, original articles, brief reports, viewpoints and correspondences. All research articles are peer reviewed. Contributions are accepted for publication on the condition that their substance has not been published or submitted for publication elsewhere. Authors submitting papers to the Journal (serially or otherwise) with a common theme or using data derived from the same sample (or a subset thereof) must send details of all relevant previous publications and simultaneous submissions. The Journal is not responsible for statements made by contributors. Material in the Journal does not necessarily reflect the views of the Editor or of the KNPA. Manuscripts accepted for publication are copy-edited to improve readability and to ensure conformity with house style.
×
引用
GB/T 7714-2015
复制
MLA
复制
APA
复制
导出至
BibTeX EndNote RefMan NoteFirst NoteExpress
×
提示
您的信息不完整,为了账户安全,请先补充。
现在去补充
×
提示
您因"违规操作"
具体请查看互助需知
我知道了
×
提示
确定
请完成安全验证×
copy
已复制链接
快去分享给好友吧!
我知道了
右上角分享
点击右上角分享
0
联系我们:info@booksci.cn Book学术提供免费学术资源搜索服务,方便国内外学者检索中英文文献。致力于提供最便捷和优质的服务体验。 Copyright © 2023 布克学术 All rights reserved.
京ICP备2023020795号-1
ghs 京公网安备 11010802042870号
Book学术文献互助
Book学术文献互助群
群 号:604180095
Book学术官方微信