Neurologic and psychiatric disorders as risk factors following hip arthroplasty: results from the German arthroplasty registry.

IF 2.6 3区 医学 Q2 ORTHOPEDICS
International Orthopaedics Pub Date : 2025-09-01 Epub Date: 2025-06-26 DOI:10.1007/s00264-025-06593-2
Nele Wagener, Alexander Grimberg, Yinan Wu, Sebastian Hardt, Carsten Perka
{"title":"Neurologic and psychiatric disorders as risk factors following hip arthroplasty: results from the German arthroplasty registry.","authors":"Nele Wagener, Alexander Grimberg, Yinan Wu, Sebastian Hardt, Carsten Perka","doi":"10.1007/s00264-025-06593-2","DOIUrl":null,"url":null,"abstract":"<p><strong>Purpose: </strong>We investigated whether neurologic and psychiatric disorders (ICD-10 F00-F99, G00-G99) increase postoperative complications and mortality after hip arthroplasty and identified subgroups with distinct complication patterns, including dislocations, loosening, fractures, and elevated mortality.</p><p><strong>Methods: </strong>We analyzed 190,340 primary cementless hip arthroplasties from the German Arthroplasty Registry (2012-2024). Patients with relevant diagnoses were compared to matched controls (1:1 Mahalanobis distance) across subgroups F00-F99 and G00-G99, adjusting for age, sex, BMI, Elixhauser Index, and arthroplasty type. Primary endpoints were implant survival (time to revision) and all-cause mortality over up to eight years. Revision causes including periprosthetic fracture, infection, dislocation, loosening, and others were systematically recorded.</p><p><strong>Results: </strong>Most subgroups showed significantly higher revision rates (p < 0.0001 for F00-F09, F10-F19, F30-F39, G20-G26, G40-G47, G60-G64). Mortality was also significantly higher (p < 0.0001 for F00-F09, F10-F19, F30-F39). Schizophrenia (F20-F29) increased revision (p < 0.0001) and mortality (p < 0.0001). Organic mental disorders (F00-F09) showed markedly elevated revision and mortality rates, with more frequent dislocations and fractures (p < 0.0001). Extrapyramidal disorders (G20-G26) mainly increased dislocation risk (p = 0.00032), while degenerative diseases (G30-G32) raised mortality (p < 0.0001). Episodic/paroxysmal disorders (G40-G47) increased loosening (p = 0.0041) and revision (p < 0.0001). Polyneuropathies (G60-G64) were linked to joint instability and dislocations (p = 0.0008).</p><p><strong>Conclusion: </strong>Neurologic and psychiatric disorders significantly elevate revision and mortality risks following hip arthroplasty. Subgroup-specific vulnerabilities, dislocations/fractures (F00-F09), high complication and mortality (F10-F19), and joint instability (G60-G64), highlight the need for individualized perioperative strategies and close postoperative monitoring to improve outcomes.</p>","PeriodicalId":14450,"journal":{"name":"International Orthopaedics","volume":" ","pages":"2035-2046"},"PeriodicalIF":2.6000,"publicationDate":"2025-09-01","publicationTypes":"Journal Article","fieldsOfStudy":null,"isOpenAccess":false,"openAccessPdf":"https://www.ncbi.nlm.nih.gov/pmc/articles/PMC12405395/pdf/","citationCount":"0","resultStr":null,"platform":"Semanticscholar","paperid":null,"PeriodicalName":"International Orthopaedics","FirstCategoryId":"3","ListUrlMain":"https://doi.org/10.1007/s00264-025-06593-2","RegionNum":3,"RegionCategory":"医学","ArticlePicture":[],"TitleCN":null,"AbstractTextCN":null,"PMCID":null,"EPubDate":"2025/6/26 0:00:00","PubModel":"Epub","JCR":"Q2","JCRName":"ORTHOPEDICS","Score":null,"Total":0}
引用次数: 0

Abstract

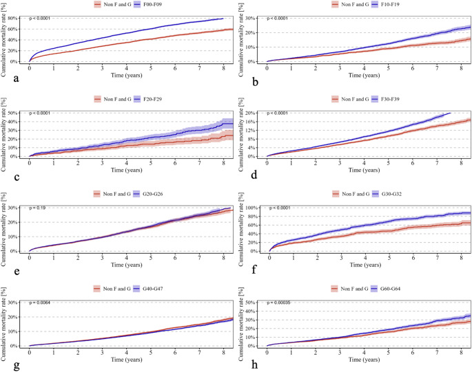
Purpose: We investigated whether neurologic and psychiatric disorders (ICD-10 F00-F99, G00-G99) increase postoperative complications and mortality after hip arthroplasty and identified subgroups with distinct complication patterns, including dislocations, loosening, fractures, and elevated mortality.

Methods: We analyzed 190,340 primary cementless hip arthroplasties from the German Arthroplasty Registry (2012-2024). Patients with relevant diagnoses were compared to matched controls (1:1 Mahalanobis distance) across subgroups F00-F99 and G00-G99, adjusting for age, sex, BMI, Elixhauser Index, and arthroplasty type. Primary endpoints were implant survival (time to revision) and all-cause mortality over up to eight years. Revision causes including periprosthetic fracture, infection, dislocation, loosening, and others were systematically recorded.

Results: Most subgroups showed significantly higher revision rates (p < 0.0001 for F00-F09, F10-F19, F30-F39, G20-G26, G40-G47, G60-G64). Mortality was also significantly higher (p < 0.0001 for F00-F09, F10-F19, F30-F39). Schizophrenia (F20-F29) increased revision (p < 0.0001) and mortality (p < 0.0001). Organic mental disorders (F00-F09) showed markedly elevated revision and mortality rates, with more frequent dislocations and fractures (p < 0.0001). Extrapyramidal disorders (G20-G26) mainly increased dislocation risk (p = 0.00032), while degenerative diseases (G30-G32) raised mortality (p < 0.0001). Episodic/paroxysmal disorders (G40-G47) increased loosening (p = 0.0041) and revision (p < 0.0001). Polyneuropathies (G60-G64) were linked to joint instability and dislocations (p = 0.0008).

Conclusion: Neurologic and psychiatric disorders significantly elevate revision and mortality risks following hip arthroplasty. Subgroup-specific vulnerabilities, dislocations/fractures (F00-F09), high complication and mortality (F10-F19), and joint instability (G60-G64), highlight the need for individualized perioperative strategies and close postoperative monitoring to improve outcomes.

Abstract Image

Abstract Image

Abstract Image

神经和精神疾病是髋关节置换术后的危险因素:来自德国关节置换术登记处的结果。
目的:我们研究了神经和精神疾病(ICD-10 F00-F99, G00-G99)是否会增加髋关节置换术后并发症和死亡率,并确定了具有不同并发症模式的亚组,包括脱位、松动、骨折和死亡率升高。方法:我们分析了德国关节成形术登记处(2012-2024)的190,340例原发性无骨水泥髋关节置换术。在调整年龄、性别、BMI、Elixhauser指数和关节置换类型后,F00-F99和G00-G99亚组中相关诊断的患者与匹配对照组(1:1马氏距离)进行比较。主要终点是种植体的生存(到翻修的时间)和长达8年的全因死亡率。翻修的原因包括假体周围骨折、感染、脱位、松动等。结果:大多数亚组的翻修率显著高于对照组(p)。结论:神经和精神疾病显著提高髋关节置换术后翻修率和死亡率。亚组特异性脆弱性,脱位/骨折(F00-F09),高并发症和死亡率(F10-F19),以及关节不稳定(G60-G64),突出了个性化围手术期策略和密切术后监测的必要性,以改善预后。
本文章由计算机程序翻译,如有差异,请以英文原文为准。
求助全文
约1分钟内获得全文 求助全文
来源期刊
International Orthopaedics
International Orthopaedics 医学-整形外科
CiteScore
5.50
自引率
7.40%
发文量
360
审稿时长
1 months
期刊介绍: International Orthopaedics, the Official Journal of the Société Internationale de Chirurgie Orthopédique et de Traumatologie (SICOT) , publishes original papers from all over the world. The articles deal with clinical orthopaedic surgery or basic research directly connected with orthopaedic surgery. International Orthopaedics will also link all the members of SICOT by means of an insert that will be concerned with SICOT matters. Finally, it is expected that news and information regarding all aspects of orthopaedic surgery, including meetings, panels, instructional courses, etc. will be brought to the attention of the readers. Manuscripts submitted for publication must contain a statement to the effect that all human studies have been approved by the appropriate ethics committee and have therefore been performed in accordance with the ethical standards laid down in the 1964 Declaration of Helsinki. It should also be stated clearly in the text that all persons gave their informed consent prior to their inclusion in the study. Details that might disclose the identity of the subjects under study should be omitted. Reports of animal experiments must state that the "Principles of laboratory animal care" (NIH publication No. 85-23, revised 1985) were followed, as well as specific national laws (e.g. the current version of the German Law on the Protection of Animals) where applicable. The editors reserve the right to reject manuscripts that do not comply with the above-mentioned requirements. The author will be held responsible for false statements or for failure to fulfil the above-mentioned requirements.
×
引用
GB/T 7714-2015
复制
MLA
复制
APA
复制
导出至
BibTeX EndNote RefMan NoteFirst NoteExpress
×
提示
您的信息不完整,为了账户安全,请先补充。
现在去补充
×
提示
您因"违规操作"
具体请查看互助需知
我知道了
×
提示
确定
请完成安全验证×
copy
已复制链接
快去分享给好友吧!
我知道了
右上角分享
点击右上角分享
0
联系我们:info@booksci.cn Book学术提供免费学术资源搜索服务,方便国内外学者检索中英文文献。致力于提供最便捷和优质的服务体验。 Copyright © 2023 布克学术 All rights reserved.
京ICP备2023020795号-1
ghs 京公网安备 11010802042870号
Book学术文献互助
Book学术文献互助群
群 号:604180095
Book学术官方微信