Clinical and Instrumental Evaluation of Vestibular Function Before and After Cochlear Implantation in Adults.

IF 1.8 Q1 AUDIOLOGY & SPEECH-LANGUAGE PATHOLOGY
Pasqualina Maria Picciotti, Tiziana Di Cesare, Daniela Rodolico, Walter Di Nardo, Jacopo Galli
{"title":"Clinical and Instrumental Evaluation of Vestibular Function Before and After Cochlear Implantation in Adults.","authors":"Pasqualina Maria Picciotti, Tiziana Di Cesare, Daniela Rodolico, Walter Di Nardo, Jacopo Galli","doi":"10.3390/audiolres15030071","DOIUrl":null,"url":null,"abstract":"<p><strong>Background/objectives: </strong>Vestibular dysfunction is one of the main complications after cochlear implant (CI) surgery, and there are currently no standardized protocols for vestibular assessment in CI candidates. Our objectives were to investigate the incidence of vestibular impairment after CI surgery, anamnestic (age, known systemic pathologies and cause of deafness) and surgical (intraoperative complications, malposition of the CI) risk factors, and the role of vestibular assessment in the selection of the suitable ear for implantation.</p><p><strong>Methods: </strong>We included 68 adult patients (80 ears) affected by moderate-to-profound SNHL undergoing CI. The dizziness handicap inventory (DHI), the video head impulse test (VHIT), the caloric test, and dynamic posturography (DP) were used to study the vestibular function and balance before and one month after CI. The DHI was also administered 24 h after surgery.</p><p><strong>Results: </strong>Despite significative impairment 24 h after surgery (29.6 ± 30), the mean DHI score returned to preoperative values (17.9 ± 26) after one month. Dizziness persisted in case of age ≥ 65 years old, surgical difficulties, simultaneous bilateral CI, Meniere's disease and otosclerosis, comorbidities ≥ 3, anxiety/depression, and neurological diseases. The VHIT significantly worsened in 25% of ears, while the caloric test SPV nystagmus significantly decreased in 30% of ears. In cases of preoperative unilateral weakness, the implantation of the better ear was significantly related to higher DHI scores. Only 4/68 patients had a significant persistent reduction in the postural composite score after surgery, with an increased risk of falls.</p><p><strong>Conclusions: </strong>Medical history and vestibular assessment predict the risk of vestibular damage and help to choose the CI's side and to manage vertigo after surgery.</p>","PeriodicalId":44133,"journal":{"name":"Audiology Research","volume":"15 3","pages":""},"PeriodicalIF":1.8000,"publicationDate":"2025-06-15","publicationTypes":"Journal Article","fieldsOfStudy":null,"isOpenAccess":false,"openAccessPdf":"https://www.ncbi.nlm.nih.gov/pmc/articles/PMC12189358/pdf/","citationCount":"0","resultStr":null,"platform":"Semanticscholar","paperid":null,"PeriodicalName":"Audiology Research","FirstCategoryId":"1085","ListUrlMain":"https://doi.org/10.3390/audiolres15030071","RegionNum":0,"RegionCategory":null,"ArticlePicture":[],"TitleCN":null,"AbstractTextCN":null,"PMCID":null,"EPubDate":"","PubModel":"","JCR":"Q1","JCRName":"AUDIOLOGY & SPEECH-LANGUAGE PATHOLOGY","Score":null,"Total":0}
引用次数: 0

Abstract

Background/objectives: Vestibular dysfunction is one of the main complications after cochlear implant (CI) surgery, and there are currently no standardized protocols for vestibular assessment in CI candidates. Our objectives were to investigate the incidence of vestibular impairment after CI surgery, anamnestic (age, known systemic pathologies and cause of deafness) and surgical (intraoperative complications, malposition of the CI) risk factors, and the role of vestibular assessment in the selection of the suitable ear for implantation.

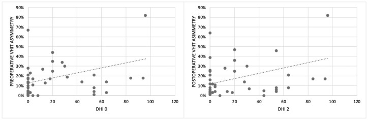
Methods: We included 68 adult patients (80 ears) affected by moderate-to-profound SNHL undergoing CI. The dizziness handicap inventory (DHI), the video head impulse test (VHIT), the caloric test, and dynamic posturography (DP) were used to study the vestibular function and balance before and one month after CI. The DHI was also administered 24 h after surgery.

Results: Despite significative impairment 24 h after surgery (29.6 ± 30), the mean DHI score returned to preoperative values (17.9 ± 26) after one month. Dizziness persisted in case of age ≥ 65 years old, surgical difficulties, simultaneous bilateral CI, Meniere's disease and otosclerosis, comorbidities ≥ 3, anxiety/depression, and neurological diseases. The VHIT significantly worsened in 25% of ears, while the caloric test SPV nystagmus significantly decreased in 30% of ears. In cases of preoperative unilateral weakness, the implantation of the better ear was significantly related to higher DHI scores. Only 4/68 patients had a significant persistent reduction in the postural composite score after surgery, with an increased risk of falls.

Conclusions: Medical history and vestibular assessment predict the risk of vestibular damage and help to choose the CI's side and to manage vertigo after surgery.

Abstract Image

Abstract Image

Abstract Image

成人人工耳蜗植入前后前庭功能的临床及仪器评价。
背景/目的:前庭功能障碍是人工耳蜗术后的主要并发症之一,目前对于人工耳蜗患者的前庭功能评估尚无标准化的方案。我们的目的是调查人工耳蜗术后前庭功能障碍的发生率、失忆(年龄、已知的全身性病理和耳聋原因)和手术(术中并发症、人工耳蜗错位)的危险因素,以及前庭功能评估在选择合适的植入耳中的作用。方法:我们纳入68例(80耳)接受CI治疗的中重度SNHL成年患者。采用眩晕障碍量表(DHI)、视频头冲量测试(VHIT)、热量测试和动态体位摄影(DP)对CI前和CI后1个月的前庭功能和平衡进行研究。术后24小时也给予DHI。结果:尽管术后24小时(29.6±30)明显受损,但1个月后平均DHI评分恢复到术前值(17.9±26)。年龄≥65岁、手术困难、同时双侧CI、梅尼埃病和耳硬化、合并症≥3、焦虑/抑郁和神经系统疾病的患者持续头晕。25%的耳朵的VHIT明显恶化,而30%的耳朵的热量测试SPV眼球震颤明显减少。在术前单侧虚弱的情况下,植入较好的耳与较高的DHI评分显著相关。只有4/68的患者术后体位综合评分持续显著下降,同时跌倒风险增加。结论:病史和前庭评估可预测前庭损伤的风险,有助于选择CI一侧和术后眩晕的控制。
本文章由计算机程序翻译,如有差异,请以英文原文为准。
求助全文
约1分钟内获得全文 求助全文
来源期刊
Audiology Research
Audiology Research AUDIOLOGY & SPEECH-LANGUAGE PATHOLOGY-
CiteScore
2.30
自引率
23.50%
发文量
56
审稿时长
11 weeks
期刊介绍: The mission of Audiology Research is to publish contemporary, ethical, clinically relevant scientific researches related to the basic science and clinical aspects of the auditory and vestibular system and diseases of the ear that can be used by clinicians, scientists and specialists to improve understanding and treatment of patients with audiological and neurotological disorders.
×
引用
GB/T 7714-2015
复制
MLA
复制
APA
复制
导出至
BibTeX EndNote RefMan NoteFirst NoteExpress
×
提示
您的信息不完整,为了账户安全,请先补充。
现在去补充
×
提示
您因"违规操作"
具体请查看互助需知
我知道了
×
提示
确定
请完成安全验证×
copy
已复制链接
快去分享给好友吧!
我知道了
右上角分享
点击右上角分享
0
联系我们:info@booksci.cn Book学术提供免费学术资源搜索服务,方便国内外学者检索中英文文献。致力于提供最便捷和优质的服务体验。 Copyright © 2023 布克学术 All rights reserved.
京ICP备2023020795号-1
ghs 京公网安备 11010802042870号
Book学术文献互助
Book学术文献互助群
群 号:604180095
Book学术官方微信