Efficacy of needle and endoscopic lavage on the recuperation of microspheres from the adult equine metacarpo-/metatarsophalangeal joint and digital flexor tendon sheath.

IF 1.3 2区 农林科学 Q2 VETERINARY SCIENCES
Veterinary Surgery Pub Date : 2025-08-01 Epub Date: 2025-06-25 DOI:10.1111/vsu.14298
Christopher P Beggan, Luca Panizzi, Laurinda J Oliver
{"title":"Efficacy of needle and endoscopic lavage on the recuperation of microspheres from the adult equine metacarpo-/metatarsophalangeal joint and digital flexor tendon sheath.","authors":"Christopher P Beggan, Luca Panizzi, Laurinda J Oliver","doi":"10.1111/vsu.14298","DOIUrl":null,"url":null,"abstract":"<p><strong>Objectives: </strong>To measure microsphere recovery following needle-through-and-through lavage (NTAT) of the metacarpo-/metatarsophalangeal joint (fetlock) and digital flexor tendon sheath (DFTS) compared to endoscopic lavage (EL).</p><p><strong>Study design: </strong>Ex vivo experimental study.</p><p><strong>Animals: </strong>Adult equine cadavers immediately following euthanasia (n = 10).</p><p><strong>Methods: </strong>Colored 15 μm microspheres (2 million) were injected into fetlock joints and DFTS. Synovial structures were assigned to NTAT or EL groups. Each lavage was performed using 5 L of 0.9% NaCl, sequentially collecting egress fluid for microsphere quantification. Recovery was compared using a full-factorial general linear model.</p><p><strong>Results: </strong>There was a significant effect of the liter of egress fluid and microsphere recovery in both fetlocks (p < .01) and DFTS (p < .01), with most microspheres recovered in the first 2 L (79%-83%) for both techniques. More microspheres were recovered in the first liter using NTAT than EL (p < .01) in both fetlocks (659 883 ± 20 820 vs. 567 601 ± 24 452) and DFTS (644 341 ± 17 460 vs. 550 637 ± 38 022). No difference in total recovered microspheres was observed between NTAT lavage of fetlock (981 600 ± 46 839) and DFTS (957 419 ± 45 729) across 5 L (p = .88).</p><p><strong>Conclusion: </strong>Needle-through-and-through lavage was more effective than EL at recovering microspheres in the first liter from cadaveric equine fetlock joints and DFTS. Both techniques demonstrated comparable efficacy between fetlock and DFTS in microsphere recovery following increased lavage volumes.</p><p><strong>Clinical significance: </strong>Needle-through-and-through lavage (NTAT) is a viable alternative for suspected synovial contamination when EL is delayed or not feasible. This study does not evaluate NTAT's efficacy for treating established sepsis or removing pannus/foreign bodies.</p>","PeriodicalId":23667,"journal":{"name":"Veterinary Surgery","volume":" ","pages":"1157-1166"},"PeriodicalIF":1.3000,"publicationDate":"2025-08-01","publicationTypes":"Journal Article","fieldsOfStudy":null,"isOpenAccess":false,"openAccessPdf":"https://www.ncbi.nlm.nih.gov/pmc/articles/PMC12344216/pdf/","citationCount":"0","resultStr":null,"platform":"Semanticscholar","paperid":null,"PeriodicalName":"Veterinary Surgery","FirstCategoryId":"97","ListUrlMain":"https://doi.org/10.1111/vsu.14298","RegionNum":2,"RegionCategory":"农林科学","ArticlePicture":[],"TitleCN":null,"AbstractTextCN":null,"PMCID":null,"EPubDate":"2025/6/25 0:00:00","PubModel":"Epub","JCR":"Q2","JCRName":"VETERINARY SCIENCES","Score":null,"Total":0}
引用次数: 0

Abstract

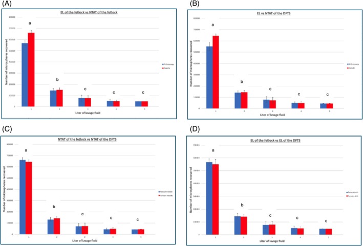
Objectives: To measure microsphere recovery following needle-through-and-through lavage (NTAT) of the metacarpo-/metatarsophalangeal joint (fetlock) and digital flexor tendon sheath (DFTS) compared to endoscopic lavage (EL).

Study design: Ex vivo experimental study.

Animals: Adult equine cadavers immediately following euthanasia (n = 10).

Methods: Colored 15 μm microspheres (2 million) were injected into fetlock joints and DFTS. Synovial structures were assigned to NTAT or EL groups. Each lavage was performed using 5 L of 0.9% NaCl, sequentially collecting egress fluid for microsphere quantification. Recovery was compared using a full-factorial general linear model.

Results: There was a significant effect of the liter of egress fluid and microsphere recovery in both fetlocks (p < .01) and DFTS (p < .01), with most microspheres recovered in the first 2 L (79%-83%) for both techniques. More microspheres were recovered in the first liter using NTAT than EL (p < .01) in both fetlocks (659 883 ± 20 820 vs. 567 601 ± 24 452) and DFTS (644 341 ± 17 460 vs. 550 637 ± 38 022). No difference in total recovered microspheres was observed between NTAT lavage of fetlock (981 600 ± 46 839) and DFTS (957 419 ± 45 729) across 5 L (p = .88).

Conclusion: Needle-through-and-through lavage was more effective than EL at recovering microspheres in the first liter from cadaveric equine fetlock joints and DFTS. Both techniques demonstrated comparable efficacy between fetlock and DFTS in microsphere recovery following increased lavage volumes.

Clinical significance: Needle-through-and-through lavage (NTAT) is a viable alternative for suspected synovial contamination when EL is delayed or not feasible. This study does not evaluate NTAT's efficacy for treating established sepsis or removing pannus/foreign bodies.

Abstract Image

Abstract Image

针刺和内镜灌洗对成年马掌/跖指关节和指屈肌腱鞘微球的调理效果。
目的:与内窥镜灌洗(EL)相比,测量掌/跖趾关节(fetlock)和指屈肌腱鞘(DFTS)针刺贯入灌洗(NTAT)后微球恢复情况。研究设计:体外实验研究。动物:安乐死后立即死亡的成年马尸体(n = 10)。方法:将彩色15 μm微球(200万个)分别注射到胎儿关节和DFTS内。滑膜结构分为NTAT组和EL组。每次灌洗用5 L 0.9% NaCl,依次收集出液进行微球定量。恢复比较采用全因子一般线性模型。结果:流出液的升数对两胎微球回收率均有显著影响(p)。结论:针透灌洗法对尸马胎关节和DFTS微球的回收效果优于电灌洗法。两种技术在增加灌洗量后的微球回收方面都显示出相当的效果。临床意义:当EL延迟或不可行时,针透灌洗(NTAT)是一种可行的替代方法,用于怀疑滑膜污染。本研究没有评估NTAT治疗已建立的脓毒症或清除pannus/异物的疗效。
本文章由计算机程序翻译,如有差异,请以英文原文为准。
求助全文
约1分钟内获得全文 求助全文
来源期刊
Veterinary Surgery
Veterinary Surgery 农林科学-兽医学
CiteScore
3.40
自引率
22.20%
发文量
162
审稿时长
8-16 weeks
期刊介绍: Veterinary Surgery, the official publication of the American College of Veterinary Surgeons and European College of Veterinary Surgeons, is a source of up-to-date coverage of surgical and anesthetic management of animals, addressing significant problems in veterinary surgery with relevant case histories and observations. It contains original, peer-reviewed articles that cover developments in veterinary surgery, and presents the most current review of the field, with timely articles on surgical techniques, diagnostic aims, care of infections, and advances in knowledge of metabolism as it affects the surgical patient. The journal places new developments in perspective, encompassing new concepts and peer commentary to help better understand and evaluate the surgical patient.
×
引用
GB/T 7714-2015
复制
MLA
复制
APA
复制
导出至
BibTeX EndNote RefMan NoteFirst NoteExpress
×
提示
您的信息不完整,为了账户安全,请先补充。
现在去补充
×
提示
您因"违规操作"
具体请查看互助需知
我知道了
×
提示
确定
请完成安全验证×
copy
已复制链接
快去分享给好友吧!
我知道了
右上角分享
点击右上角分享
0
联系我们:info@booksci.cn Book学术提供免费学术资源搜索服务,方便国内外学者检索中英文文献。致力于提供最便捷和优质的服务体验。 Copyright © 2023 布克学术 All rights reserved.
京ICP备2023020795号-1
ghs 京公网安备 11010802042870号
Book学术文献互助
Book学术文献互助群
群 号:604180095
Book学术官方微信