Are leaf anatomical traits strong predictors of litter decomposability? Evidence from upper Andean tropical species along a forest successional gradient.

IF 2.3 2区 环境科学与生态学 Q2 ECOLOGY
Dennis Castillo-Figueroa, Juan M Posada
{"title":"Are leaf anatomical traits strong predictors of litter decomposability? Evidence from upper Andean tropical species along a forest successional gradient.","authors":"Dennis Castillo-Figueroa, Juan M Posada","doi":"10.1007/s00442-025-05739-8","DOIUrl":null,"url":null,"abstract":"<p><p>Litter decomposability has been linked to \"soft\" traits of green leaves, but relationships with \"hard\" traits associated with leaf anatomy remain unexplored. Examining anatomical traits within the leaf economic spectrum may enhance our understanding of litter decomposability. In this study, we analyzed the relationships between leaf anatomical traits and decomposability at both species and community levels along a successional gradient of upper Andean tropical forests in Colombia. We conducted a reciprocal translocation field experiment with 15 upper Andean species in 14 permanent plots around Bogotá, collecting 2520 litterbags at four times (3, 6, 12, 18 months). Using a multiple regression model based on foliar traits, we estimated decomposability for the remaining 48 species that compose the plant community (63 species in total) in the studied successional gradient. We measured several leaf anatomical traits in all 63 species and calculated community-weighted means and functional diversity indices with the most effective anatomical predictors of decomposability. We found that thicker cuticles, larger vascular bundles, higher spongy mesophyll proportion, and lower palisade mesophyll proportion are related to low decomposability. Plant communities with thicker protective structures slow down decay rates, while large palisade tissues with cylindrical cells increase litter breakdown. Decomposability did not change along succession due to the balance between high functional evenness in secondary forests and high functional richness in mature forests. Despite potential circularity and interdependence between functional diversity metrics, our study provides novel insights into the anatomical basis of decomposability and community dynamics in successional gradients of upper Andean tropical forests.</p>","PeriodicalId":19473,"journal":{"name":"Oecologia","volume":"207 7","pages":"110"},"PeriodicalIF":2.3000,"publicationDate":"2025-06-24","publicationTypes":"Journal Article","fieldsOfStudy":null,"isOpenAccess":false,"openAccessPdf":"https://www.ncbi.nlm.nih.gov/pmc/articles/PMC12187801/pdf/","citationCount":"0","resultStr":null,"platform":"Semanticscholar","paperid":null,"PeriodicalName":"Oecologia","FirstCategoryId":"93","ListUrlMain":"https://doi.org/10.1007/s00442-025-05739-8","RegionNum":2,"RegionCategory":"环境科学与生态学","ArticlePicture":[],"TitleCN":null,"AbstractTextCN":null,"PMCID":null,"EPubDate":"","PubModel":"","JCR":"Q2","JCRName":"ECOLOGY","Score":null,"Total":0}
引用次数: 0

Abstract

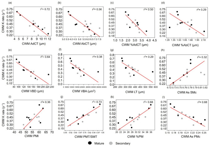
Litter decomposability has been linked to "soft" traits of green leaves, but relationships with "hard" traits associated with leaf anatomy remain unexplored. Examining anatomical traits within the leaf economic spectrum may enhance our understanding of litter decomposability. In this study, we analyzed the relationships between leaf anatomical traits and decomposability at both species and community levels along a successional gradient of upper Andean tropical forests in Colombia. We conducted a reciprocal translocation field experiment with 15 upper Andean species in 14 permanent plots around Bogotá, collecting 2520 litterbags at four times (3, 6, 12, 18 months). Using a multiple regression model based on foliar traits, we estimated decomposability for the remaining 48 species that compose the plant community (63 species in total) in the studied successional gradient. We measured several leaf anatomical traits in all 63 species and calculated community-weighted means and functional diversity indices with the most effective anatomical predictors of decomposability. We found that thicker cuticles, larger vascular bundles, higher spongy mesophyll proportion, and lower palisade mesophyll proportion are related to low decomposability. Plant communities with thicker protective structures slow down decay rates, while large palisade tissues with cylindrical cells increase litter breakdown. Decomposability did not change along succession due to the balance between high functional evenness in secondary forests and high functional richness in mature forests. Despite potential circularity and interdependence between functional diversity metrics, our study provides novel insights into the anatomical basis of decomposability and community dynamics in successional gradients of upper Andean tropical forests.

Abstract Image

Abstract Image

Abstract Image

叶片解剖性状是凋落物分解能力的有力预测因子吗?安第斯山脉上部热带物种沿森林演替梯度的证据。
凋落物的分解性与绿叶的“软”性状有关,但与叶片解剖结构相关的“硬”性状的关系仍未被探索。研究叶片经济谱中的解剖特征可以提高我们对凋落物分解能力的理解。在本研究中,我们分析了哥伦比亚上安第斯热带森林在物种和群落水平上叶片解剖性状与可分解性之间的关系。我们在波哥大附近14个固定样地对15种上安第斯山脉物种进行了互惠易位试验,在4次(3、6、12、18个月)收集了2520个垃圾袋。利用基于叶面性状的多元回归模型,对研究演替梯度下剩余48种植物群落(共63种)的可分解性进行了估算。我们测量了所有63种植物的叶片解剖特征,并计算了群落加权平均值和功能多样性指数,这些指数是最有效的分解性解剖预测因子。角质层较厚,维管束较大,海绵状叶肉比例较高,栅栏状叶肉比例较低,与低分解性有关。具有较厚保护结构的植物群落减缓了腐烂速度,而具有圆柱形细胞的大型栅栏组织则增加了凋落物的分解。由于次生林的高功能均匀性和成熟林的高功能丰富度之间的平衡,分解能力在演替过程中没有发生变化。尽管功能多样性指标之间存在潜在的循环性和相互依赖性,但我们的研究为上安第斯热带森林演替梯度中可分解性和群落动态的解剖学基础提供了新的见解。
本文章由计算机程序翻译,如有差异,请以英文原文为准。
求助全文
约1分钟内获得全文 求助全文
来源期刊
Oecologia
Oecologia 环境科学-生态学
CiteScore
5.10
自引率
0.00%
发文量
192
审稿时长
5.3 months
期刊介绍: Oecologia publishes innovative ecological research of international interest. We seek reviews, advances in methodology, and original contributions, emphasizing the following areas: Population ecology, Plant-microbe-animal interactions, Ecosystem ecology, Community ecology, Global change ecology, Conservation ecology, Behavioral ecology and Physiological Ecology. In general, studies that are purely descriptive, mathematical, documentary, and/or natural history will not be considered.
×
引用
GB/T 7714-2015
复制
MLA
复制
APA
复制
导出至
BibTeX EndNote RefMan NoteFirst NoteExpress
×
提示
您的信息不完整,为了账户安全,请先补充。
现在去补充
×
提示
您因"违规操作"
具体请查看互助需知
我知道了
×
提示
确定
请完成安全验证×
copy
已复制链接
快去分享给好友吧!
我知道了
右上角分享
点击右上角分享
0
联系我们:info@booksci.cn Book学术提供免费学术资源搜索服务,方便国内外学者检索中英文文献。致力于提供最便捷和优质的服务体验。 Copyright © 2023 布克学术 All rights reserved.
京ICP备2023020795号-1
ghs 京公网安备 11010802042870号
Book学术文献互助
Book学术文献互助群
群 号:604180095
Book学术官方微信