Serum glutathione reductase level as a disease activity biomarker in systemic lupus erythematosus: a single-centre preliminary study.

IF 3.5 2区 医学 Q1 RHEUMATOLOGY
Mengxue Yan, Yan Sun, Siping Li, Zhichun Liu, Leixi Xue
{"title":"Serum glutathione reductase level as a disease activity biomarker in systemic lupus erythematosus: a single-centre preliminary study.","authors":"Mengxue Yan, Yan Sun, Siping Li, Zhichun Liu, Leixi Xue","doi":"10.1136/lupus-2025-001593","DOIUrl":null,"url":null,"abstract":"<p><strong>Objectives: </strong>This study aimed to investigate serum glutathione reductase (GR) levels in patients with SLE and to assess its association with disease activity.</p><p><strong>Methods: </strong>The retrospective study collected clinical data, including serum GR, complement (C) 3 and C4 levels, among patients with SLE. The SLE Disease Activity Index 2000 (SLEDAI 2000) and SLE Disease Activity Score (SLE-DAS) were calculated, and C3 and C4 were used as controls to assess the importance of serum GR levels in evaluating SLE disease activity.</p><p><strong>Results: </strong>Serum GR levels were significantly higher in patients with SLE (n=142) than in healthy controls (n=100). Serum GR levels were positively correlated with SLEDAI 2000 (ρ=0.335) and SLE-DAS (ρ=0.454) values in patients with SLE. Further, C3 and C4 were negatively correlated with SLEDAI 2000 (ρ = -0.544 and -0.418) and with SLE-DAS (ρ = -0.290 and -0.242). Fisher's Z test showed that GR was inferior to C3; however, similar to C4 in the correlation with SLEDAI 2000, whereas GR was comparable to C3 but superior to C4 in the correlation with SLE-DAS. The identification of moderate-to-severe disease activity based on SLEDAI 2000 of >6 revealed a receiver operating characteristic curve area under the curve (AUC) for GR of 0.700 (95% CI: 0.617 to 0.774), which was comparable to the AUC for C3 (0.784, 95% CI: 0.707 to 0.848) and C4 (0.697, 95% CI: 0.615 to 0.771); in determining moderate-to-severe disease activity as defined by SLE-DAS of >7.64, GR (0.767, 95% CI: 0.689 to 0.834) was equal to C3 (0.661, 95% CI: 0.576 to 0.738) but superior to C4 (0.617, 95% CI: 0.532 to 0.698).</p><p><strong>Conclusion: </strong>Serum GR levels are positively correlated with SLE disease activity and exhibit clinical value in identifying moderate-to-severe disease activity in SLE.</p>","PeriodicalId":18126,"journal":{"name":"Lupus Science & Medicine","volume":"12 1","pages":""},"PeriodicalIF":3.5000,"publicationDate":"2025-06-24","publicationTypes":"Journal Article","fieldsOfStudy":null,"isOpenAccess":false,"openAccessPdf":"https://www.ncbi.nlm.nih.gov/pmc/articles/PMC12198843/pdf/","citationCount":"0","resultStr":null,"platform":"Semanticscholar","paperid":null,"PeriodicalName":"Lupus Science & Medicine","FirstCategoryId":"3","ListUrlMain":"https://doi.org/10.1136/lupus-2025-001593","RegionNum":2,"RegionCategory":"医学","ArticlePicture":[],"TitleCN":null,"AbstractTextCN":null,"PMCID":null,"EPubDate":"","PubModel":"","JCR":"Q1","JCRName":"RHEUMATOLOGY","Score":null,"Total":0}
引用次数: 0

Abstract

Objectives: This study aimed to investigate serum glutathione reductase (GR) levels in patients with SLE and to assess its association with disease activity.

Methods: The retrospective study collected clinical data, including serum GR, complement (C) 3 and C4 levels, among patients with SLE. The SLE Disease Activity Index 2000 (SLEDAI 2000) and SLE Disease Activity Score (SLE-DAS) were calculated, and C3 and C4 were used as controls to assess the importance of serum GR levels in evaluating SLE disease activity.

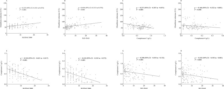
Results: Serum GR levels were significantly higher in patients with SLE (n=142) than in healthy controls (n=100). Serum GR levels were positively correlated with SLEDAI 2000 (ρ=0.335) and SLE-DAS (ρ=0.454) values in patients with SLE. Further, C3 and C4 were negatively correlated with SLEDAI 2000 (ρ = -0.544 and -0.418) and with SLE-DAS (ρ = -0.290 and -0.242). Fisher's Z test showed that GR was inferior to C3; however, similar to C4 in the correlation with SLEDAI 2000, whereas GR was comparable to C3 but superior to C4 in the correlation with SLE-DAS. The identification of moderate-to-severe disease activity based on SLEDAI 2000 of >6 revealed a receiver operating characteristic curve area under the curve (AUC) for GR of 0.700 (95% CI: 0.617 to 0.774), which was comparable to the AUC for C3 (0.784, 95% CI: 0.707 to 0.848) and C4 (0.697, 95% CI: 0.615 to 0.771); in determining moderate-to-severe disease activity as defined by SLE-DAS of >7.64, GR (0.767, 95% CI: 0.689 to 0.834) was equal to C3 (0.661, 95% CI: 0.576 to 0.738) but superior to C4 (0.617, 95% CI: 0.532 to 0.698).

Conclusion: Serum GR levels are positively correlated with SLE disease activity and exhibit clinical value in identifying moderate-to-severe disease activity in SLE.

Abstract Image

Abstract Image

Abstract Image

血清谷胱甘肽还原酶水平作为系统性红斑狼疮疾病活动性生物标志物:一项单中心初步研究
目的:本研究旨在调查SLE患者血清谷胱甘肽还原酶(GR)水平,并评估其与疾病活动性的关系。方法:回顾性研究收集SLE患者的临床资料,包括血清GR、补体(C) 3和C4水平。计算SLE疾病活动性指数2000 (SLEDAI 2000)和SLE疾病活动性评分(SLE- das),并以C3和C4作为对照,评估血清GR水平在评估SLE疾病活动性中的重要性。结果:SLE患者(n=142)血清GR水平明显高于健康对照组(n=100)。SLE患者血清GR水平与SLEDAI 2000 (ρ=0.335)、SLEDAI - das (ρ=0.454)呈正相关。此外,C3和C4与SLEDAI 2000 (ρ = -0.544和-0.418)和SLEDAI - das (ρ = -0.290和-0.242)呈负相关。Fisher’s Z检验表明GR不如C3;然而,GR与SLEDAI 2000的相关性与C4相似,而与SLEDAI - das的相关性与C3相当,但优于C4。基于bbbb6的SLEDAI 2000对中重度疾病活动性的识别显示,GR的受者工作特征曲线下面积(AUC)为0.700 (95% CI: 0.617至0.774),与C3 (0.784, 95% CI: 0.707至0.848)和C4 (0.697, 95% CI: 0.615至0.771)的AUC相当;在确定中度至重度疾病活动性方面,GR (0.767, 95% CI: 0.689至0.834)与C3 (0.661, 95% CI: 0.576至0.738)相等,但优于C4 (0.617, 95% CI: 0.532至0.698)。结论:血清GR水平与SLE疾病活动性呈正相关,在鉴别SLE中重度疾病活动性方面具有临床价值。
本文章由计算机程序翻译,如有差异,请以英文原文为准。
求助全文
约1分钟内获得全文 求助全文
来源期刊
Lupus Science & Medicine
Lupus Science & Medicine RHEUMATOLOGY-
CiteScore
5.30
自引率
7.70%
发文量
88
审稿时长
15 weeks
期刊介绍: Lupus Science & Medicine is a global, peer reviewed, open access online journal that provides a central point for publication of basic, clinical, translational, and epidemiological studies of all aspects of lupus and related diseases. It is the first lupus-specific open access journal in the world and was developed in response to the need for a barrier-free forum for publication of groundbreaking studies in lupus. The journal publishes research on lupus from fields including, but not limited to: rheumatology, dermatology, nephrology, immunology, pediatrics, cardiology, hepatology, pulmonology, obstetrics and gynecology, and psychiatry.
×
引用
GB/T 7714-2015
复制
MLA
复制
APA
复制
导出至
BibTeX EndNote RefMan NoteFirst NoteExpress
×
提示
您的信息不完整,为了账户安全,请先补充。
现在去补充
×
提示
您因"违规操作"
具体请查看互助需知
我知道了
×
提示
确定
请完成安全验证×
copy
已复制链接
快去分享给好友吧!
我知道了
右上角分享
点击右上角分享
0
联系我们:info@booksci.cn Book学术提供免费学术资源搜索服务,方便国内外学者检索中英文文献。致力于提供最便捷和优质的服务体验。 Copyright © 2023 布克学术 All rights reserved.
京ICP备2023020795号-1
ghs 京公网安备 11010802042870号
Book学术文献互助
Book学术文献互助群
群 号:604180095
Book学术官方微信