Emergent dynamical phases and collective motion in termites.

IF 3.5 2区 综合性期刊 Q1 MULTIDISCIPLINARY SCIENCES
Journal of The Royal Society Interface Pub Date : 2025-06-01 Epub Date: 2025-06-25 DOI:10.1098/rsif.2025.0097
Leticia Ribeiro Paiva, Sidiney Geraldo Alves, Og DeSouza, Octavio Miramontes
{"title":"Emergent dynamical phases and collective motion in termites.","authors":"Leticia Ribeiro Paiva, Sidiney Geraldo Alves, Og DeSouza, Octavio Miramontes","doi":"10.1098/rsif.2025.0097","DOIUrl":null,"url":null,"abstract":"<p><p>Termites which are able to forage in the open can be often seen, in the field or in the laboratory: (i) wandering around, forming no observable pattern, (ii) clustering themselves in a dense and almost immobile pack, or (iii) milling about in a circular movement. Despite being well reported patterns, they are normally regarded as independent phenomena whose specific traits have never been properly quantified. Evidence, however, favours the hypothesis that these are interdependent patterns, arising from self-organized interactions and movement among workers. After all, termites are a form of active matter where blind cooperative individuals are self-propelled and lack the possibility of visual cues to spatially orientate and align. It follows that their non-trivial close-contact patterns could generate motion-collision-induced phase separations. This would then trigger the emergence of these three patterns (disorder, clustering, milling) as parts of the same continuum. By inspecting termite groups confined in arenas, we could quantitatively describe each one of these patterns in detail. We identified disorder, clustering and milling spatial patterns. These phases and their transitions are characterized aiming to offer refinements in the understanding of these aspects of self-propelled particles in active matter where close-range contacts and collisions are important.</p>","PeriodicalId":17488,"journal":{"name":"Journal of The Royal Society Interface","volume":"22 227","pages":"20250097"},"PeriodicalIF":3.5000,"publicationDate":"2025-06-01","publicationTypes":"Journal Article","fieldsOfStudy":null,"isOpenAccess":false,"openAccessPdf":"https://www.ncbi.nlm.nih.gov/pmc/articles/PMC12187419/pdf/","citationCount":"0","resultStr":null,"platform":"Semanticscholar","paperid":null,"PeriodicalName":"Journal of The Royal Society Interface","FirstCategoryId":"103","ListUrlMain":"https://doi.org/10.1098/rsif.2025.0097","RegionNum":2,"RegionCategory":"综合性期刊","ArticlePicture":[],"TitleCN":null,"AbstractTextCN":null,"PMCID":null,"EPubDate":"2025/6/25 0:00:00","PubModel":"Epub","JCR":"Q1","JCRName":"MULTIDISCIPLINARY SCIENCES","Score":null,"Total":0}
引用次数: 0

Abstract

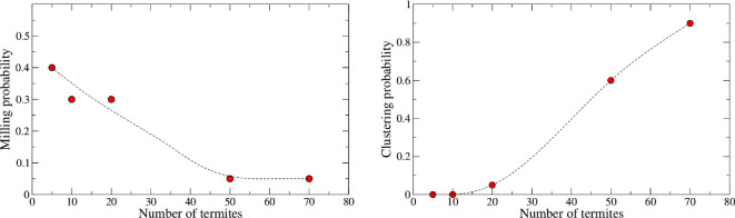
Termites which are able to forage in the open can be often seen, in the field or in the laboratory: (i) wandering around, forming no observable pattern, (ii) clustering themselves in a dense and almost immobile pack, or (iii) milling about in a circular movement. Despite being well reported patterns, they are normally regarded as independent phenomena whose specific traits have never been properly quantified. Evidence, however, favours the hypothesis that these are interdependent patterns, arising from self-organized interactions and movement among workers. After all, termites are a form of active matter where blind cooperative individuals are self-propelled and lack the possibility of visual cues to spatially orientate and align. It follows that their non-trivial close-contact patterns could generate motion-collision-induced phase separations. This would then trigger the emergence of these three patterns (disorder, clustering, milling) as parts of the same continuum. By inspecting termite groups confined in arenas, we could quantitatively describe each one of these patterns in detail. We identified disorder, clustering and milling spatial patterns. These phases and their transitions are characterized aiming to offer refinements in the understanding of these aspects of self-propelled particles in active matter where close-range contacts and collisions are important.

Abstract Image

Abstract Image

Abstract Image

白蚁的涌现动力阶段和集体运动。
在野外或实验室中,经常可以看到能够在露天觅食的白蚁:(i)四处游荡,不形成可观察的模式,(ii)聚集在一起,密集而几乎不移动,或(iii)以圆形运动旋转。尽管这些模式被广泛报道,但它们通常被视为独立的现象,其具体特征从未被适当量化。然而,证据支持这样一种假设,即这些是相互依赖的模式,产生于工人之间自组织的互动和流动。毕竟,白蚁是一种主动物质,盲目的合作个体是自我推进的,缺乏视觉线索来进行空间定位和对齐的可能性。由此可见,它们的非平凡的紧密接触模式可以产生运动碰撞引起的相分离。这将触发这三种模式的出现(无序、聚集、研磨),作为同一连续体的一部分。通过对白蚁群的观察,我们可以定量地详细描述每一种模式。我们确定了无序、集群和铣削的空间模式。这些阶段和他们的转变的特点,旨在提供改进的理解这些方面的自推进粒子在活性物质的近距离接触和碰撞是重要的。
本文章由计算机程序翻译,如有差异,请以英文原文为准。
求助全文
约1分钟内获得全文 求助全文
来源期刊
Journal of The Royal Society Interface
Journal of The Royal Society Interface 综合性期刊-综合性期刊
CiteScore
7.10
自引率
2.60%
发文量
234
审稿时长
2.5 months
期刊介绍: J. R. Soc. Interface welcomes articles of high quality research at the interface of the physical and life sciences. It provides a high-quality forum to publish rapidly and interact across this boundary in two main ways: J. R. Soc. Interface publishes research applying chemistry, engineering, materials science, mathematics and physics to the biological and medical sciences; it also highlights discoveries in the life sciences of relevance to the physical sciences. Both sides of the interface are considered equally and it is one of the only journals to cover this exciting new territory. J. R. Soc. Interface welcomes contributions on a diverse range of topics, including but not limited to; biocomplexity, bioengineering, bioinformatics, biomaterials, biomechanics, bionanoscience, biophysics, chemical biology, computer science (as applied to the life sciences), medical physics, synthetic biology, systems biology, theoretical biology and tissue engineering.
×
引用
GB/T 7714-2015
复制
MLA
复制
APA
复制
导出至
BibTeX EndNote RefMan NoteFirst NoteExpress
×
提示
您的信息不完整,为了账户安全,请先补充。
现在去补充
×
提示
您因"违规操作"
具体请查看互助需知
我知道了
×
提示
确定
请完成安全验证×
copy
已复制链接
快去分享给好友吧!
我知道了
右上角分享
点击右上角分享
0
联系我们:info@booksci.cn Book学术提供免费学术资源搜索服务,方便国内外学者检索中英文文献。致力于提供最便捷和优质的服务体验。 Copyright © 2023 布克学术 All rights reserved.
京ICP备2023020795号-1
ghs 京公网安备 11010802042870号
Book学术文献互助
Book学术文献互助群
群 号:604180095
Book学术官方微信