Agreement between Placido Disc, Scheimpflug, and Optical Coherence Tomography-Based Measurements of Corneal Topography in Healthy Myopic Individuals.

IF 0.9 Q3 OPHTHALMOLOGY
Journal of Current Ophthalmology Pub Date : 2025-06-05 eCollection Date: 2024-07-01 DOI:10.4103/joco.joco_152_24
Siamak Zarei-Ghanavati, Mahtab Saber Moghaddam, Elham Bakhtiari, Sina Shirzad, Javad Sadeghi, Mehrdad Motamed Shariati
{"title":"Agreement between Placido Disc, Scheimpflug, and Optical Coherence Tomography-Based Measurements of Corneal Topography in Healthy Myopic Individuals.","authors":"Siamak Zarei-Ghanavati, Mahtab Saber Moghaddam, Elham Bakhtiari, Sina Shirzad, Javad Sadeghi, Mehrdad Motamed Shariati","doi":"10.4103/joco.joco_152_24","DOIUrl":null,"url":null,"abstract":"<p><strong>Purpose: </strong>To evaluate the agreement between topographical and tomographic measurements of the cornea with three methods of Placido-disc, Scheimpflug, and optical coherence tomography in normal eyes with myopic refractive error candidate for keratorefractive surgery.</p><p><strong>Methods: </strong>Subjects within the age range of 18-55 years old candidates for keratorefractive surgery with no history of systemic disorder, eye diseases except refractive errors, and ocular surgery were enrolled in the study. The intraclass correlation coefficient and Bland-Altman diagrams evaluated the agreement between different devices.</p><p><strong>Results: </strong>In this study, 97 subjects, including 35 men and 62 women, participated. There was a statistically significant agreement between the three corneal imaging devices' keratometry measures. Bland-Altman plots show a mean difference of 0.5 diopter (D) for mean anterior keratometry, and 95% limits of agreement reached the value ± 1.00 D for mean anterior astigmatism. Evaluation of the elevation maps showed that the central and maximum elevation of the cornea's anterior and posterior surfaces with Pentacam and Optopol have poor agreement.</p><p><strong>Conclusion: </strong>Despite an excellent statistical agreement, the differences in the anterior keratometry values may not be clinically acceptable.</p>","PeriodicalId":15423,"journal":{"name":"Journal of Current Ophthalmology","volume":"36 3","pages":"272-278"},"PeriodicalIF":0.9000,"publicationDate":"2025-06-05","publicationTypes":"Journal Article","fieldsOfStudy":null,"isOpenAccess":false,"openAccessPdf":"https://www.ncbi.nlm.nih.gov/pmc/articles/PMC12184861/pdf/","citationCount":"0","resultStr":null,"platform":"Semanticscholar","paperid":null,"PeriodicalName":"Journal of Current Ophthalmology","FirstCategoryId":"1085","ListUrlMain":"https://doi.org/10.4103/joco.joco_152_24","RegionNum":0,"RegionCategory":null,"ArticlePicture":[],"TitleCN":null,"AbstractTextCN":null,"PMCID":null,"EPubDate":"2024/7/1 0:00:00","PubModel":"eCollection","JCR":"Q3","JCRName":"OPHTHALMOLOGY","Score":null,"Total":0}
引用次数: 0

Abstract

Purpose: To evaluate the agreement between topographical and tomographic measurements of the cornea with three methods of Placido-disc, Scheimpflug, and optical coherence tomography in normal eyes with myopic refractive error candidate for keratorefractive surgery.

Methods: Subjects within the age range of 18-55 years old candidates for keratorefractive surgery with no history of systemic disorder, eye diseases except refractive errors, and ocular surgery were enrolled in the study. The intraclass correlation coefficient and Bland-Altman diagrams evaluated the agreement between different devices.

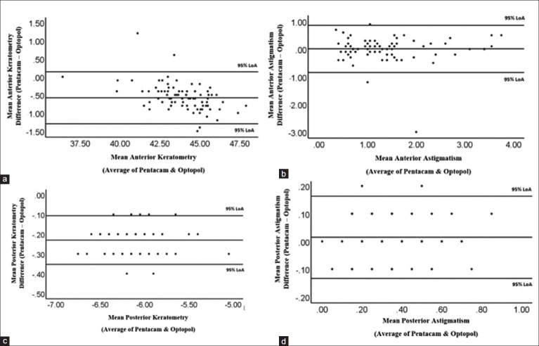
Results: In this study, 97 subjects, including 35 men and 62 women, participated. There was a statistically significant agreement between the three corneal imaging devices' keratometry measures. Bland-Altman plots show a mean difference of 0.5 diopter (D) for mean anterior keratometry, and 95% limits of agreement reached the value ± 1.00 D for mean anterior astigmatism. Evaluation of the elevation maps showed that the central and maximum elevation of the cornea's anterior and posterior surfaces with Pentacam and Optopol have poor agreement.

Conclusion: Despite an excellent statistical agreement, the differences in the anterior keratometry values may not be clinically acceptable.

Abstract Image

Abstract Image

健康近视患者角膜地形图测量的一致性:Placido Disc, Scheimpflug和光学相干层析成像。
目的:评价普通近视屈光不正患者角膜屈光手术的三种方法(Placido-disc、Scheimpflug和光学相干层析)角膜地形图和层析测量结果的一致性。方法:年龄在18-55岁之间,无全身性疾病、除屈光不正以外的眼部疾病和眼部手术史的角膜屈光手术候选者纳入研究。类内相关系数和Bland-Altman图评估了不同设备之间的一致性。结果:本研究共纳入97名受试者,其中男性35人,女性62人。三种角膜成像装置的角膜测量值在统计学上有显著的一致性。Bland-Altman图显示平均前角膜屈光度的平均差值为0.5屈光度(D), 95%的一致性极限值达到平均前角膜散光的±1.00 D。对仰角图的评价表明,Pentacam和Optopol对角膜前后表面的中央和最大仰角的一致性较差。结论:尽管在统计学上有很好的一致性,但在临床上角膜测量值的差异可能是不可接受的。
本文章由计算机程序翻译,如有差异,请以英文原文为准。
求助全文
约1分钟内获得全文 求助全文
来源期刊
CiteScore
2.50
自引率
6.70%
发文量
45
审稿时长
8 weeks
期刊介绍: Peer Review under the responsibility of Iranian Society of Ophthalmology Journal of Current Ophthalmology, the official publication of the Iranian Society of Ophthalmology, is a peer-reviewed, open-access, scientific journal that welcomes high quality original articles related to vision science and all fields of ophthalmology. Journal of Current Ophthalmology is the continuum of Iranian Journal of Ophthalmology published since 1969.
×
引用
GB/T 7714-2015
复制
MLA
复制
APA
复制
导出至
BibTeX EndNote RefMan NoteFirst NoteExpress
×
提示
您的信息不完整,为了账户安全,请先补充。
现在去补充
×
提示
您因"违规操作"
具体请查看互助需知
我知道了
×
提示
确定
请完成安全验证×
copy
已复制链接
快去分享给好友吧!
我知道了
右上角分享
点击右上角分享
0
联系我们:info@booksci.cn Book学术提供免费学术资源搜索服务,方便国内外学者检索中英文文献。致力于提供最便捷和优质的服务体验。 Copyright © 2023 布克学术 All rights reserved.
京ICP备2023020795号-1
ghs 京公网安备 11010802042870号
Book学术文献互助
Book学术文献互助群
群 号:604180095
Book学术官方微信