SARS-CoV-2 Did Not Spread Through Dental Clinics During the COVID-19 Pandemic in Japan.

IF 2.4 Q2 INFECTIOUS DISEASES
Yasuhiro Tsubura, Yuske Komiyama, Saori Ohtani, Toshiki Hyodo, Ryo Shiraishi, Shuma Yagisawa, Erika Yaguchi, Maki Tsubura-Okubo, Hajime Houzumi, Masato Nemoto, Jin Kikuchi, Chonji Fukumoto, Sayaka Izumi, Takahiro Wakui, Koji Wake, Hitoshi Kawamata
{"title":"SARS-CoV-2 Did Not Spread Through Dental Clinics During the COVID-19 Pandemic in Japan.","authors":"Yasuhiro Tsubura, Yuske Komiyama, Saori Ohtani, Toshiki Hyodo, Ryo Shiraishi, Shuma Yagisawa, Erika Yaguchi, Maki Tsubura-Okubo, Hajime Houzumi, Masato Nemoto, Jin Kikuchi, Chonji Fukumoto, Sayaka Izumi, Takahiro Wakui, Koji Wake, Hitoshi Kawamata","doi":"10.3390/idr17030070","DOIUrl":null,"url":null,"abstract":"<p><strong>Background: </strong>Dental professionals were thought to have the most significant risk of coronavirus infection during the pandemic. Since the first Coronavirus Disease 2019 (COVID-19) patient was detected in Japan in January 2020, Japan has faced several waves of Severe Acute Respiratory Syndrome Coronavirus 2 (SARS-CoV-2) infections. However, no cluster of SARS-CoV-2 infections associated with dental procedures has been reported in Japan. In this study, we aimed to investigate the actual status of SARS-CoV-2 infection during the pandemic through antibody testing for dental professionals. We further investigated saliva and oral management-related aerosol to estimate the risk of virus transmission during dental procedures.</p><p><strong>Methods: </strong>SARS-CoV-2 antibody titer in the blood of dental professionals and their families was determined during the pre-vaccinated period of the SARS-CoV-2 wave to see the history of infection in Japan. Viral loads in saliva and in the aerosol generated during the oral management of COVID-19 patients were detected by RT-qPCR.</p><p><strong>Results: </strong>The antibody testing of dental healthcare providers during the early phases of the pandemic in Japan revealed low antibody positivity, which supported the low incidence of infection clusters among dental clinics. The aerosol generated during dental procedures may contain trace levels of SARS-CoV-2, indicating the risk of transmission through dental procedures is limited. Therefore, SARS-CoV-2 did not spread through dental clinics.</p><p><strong>Conclusions: </strong>Very few SARS-CoV-2 infections were observed in dental professionals who took appropriate infection control measures in the early period of the pandemic. Performing dental procedures using standard precautions seems to be sufficient to prevent SARS-CoV-2 infections.</p>","PeriodicalId":13579,"journal":{"name":"Infectious Disease Reports","volume":"17 3","pages":""},"PeriodicalIF":2.4000,"publicationDate":"2025-06-13","publicationTypes":"Journal Article","fieldsOfStudy":null,"isOpenAccess":false,"openAccessPdf":"https://www.ncbi.nlm.nih.gov/pmc/articles/PMC12193509/pdf/","citationCount":"0","resultStr":null,"platform":"Semanticscholar","paperid":null,"PeriodicalName":"Infectious Disease Reports","FirstCategoryId":"1085","ListUrlMain":"https://doi.org/10.3390/idr17030070","RegionNum":0,"RegionCategory":null,"ArticlePicture":[],"TitleCN":null,"AbstractTextCN":null,"PMCID":null,"EPubDate":"","PubModel":"","JCR":"Q2","JCRName":"INFECTIOUS DISEASES","Score":null,"Total":0}
引用次数: 0

Abstract

Background: Dental professionals were thought to have the most significant risk of coronavirus infection during the pandemic. Since the first Coronavirus Disease 2019 (COVID-19) patient was detected in Japan in January 2020, Japan has faced several waves of Severe Acute Respiratory Syndrome Coronavirus 2 (SARS-CoV-2) infections. However, no cluster of SARS-CoV-2 infections associated with dental procedures has been reported in Japan. In this study, we aimed to investigate the actual status of SARS-CoV-2 infection during the pandemic through antibody testing for dental professionals. We further investigated saliva and oral management-related aerosol to estimate the risk of virus transmission during dental procedures.

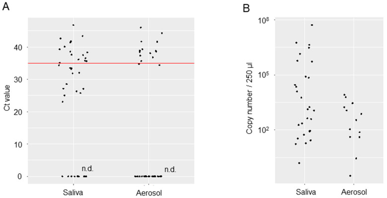
Methods: SARS-CoV-2 antibody titer in the blood of dental professionals and their families was determined during the pre-vaccinated period of the SARS-CoV-2 wave to see the history of infection in Japan. Viral loads in saliva and in the aerosol generated during the oral management of COVID-19 patients were detected by RT-qPCR.

Results: The antibody testing of dental healthcare providers during the early phases of the pandemic in Japan revealed low antibody positivity, which supported the low incidence of infection clusters among dental clinics. The aerosol generated during dental procedures may contain trace levels of SARS-CoV-2, indicating the risk of transmission through dental procedures is limited. Therefore, SARS-CoV-2 did not spread through dental clinics.

Conclusions: Very few SARS-CoV-2 infections were observed in dental professionals who took appropriate infection control measures in the early period of the pandemic. Performing dental procedures using standard precautions seems to be sufficient to prevent SARS-CoV-2 infections.

Abstract Image

Abstract Image

在日本的COVID-19大流行期间,SARS-CoV-2没有通过牙科诊所传播。
背景:在大流行期间,牙科专业人员被认为是感染冠状病毒的风险最大的。自2020年1月在日本发现首例2019冠状病毒病(COVID-19)患者以来,日本面临着几波严重急性呼吸综合征冠状病毒2 (SARS-CoV-2)感染。然而,日本尚未报告与牙科手术相关的SARS-CoV-2聚集性感染。在本研究中,我们旨在通过对牙科专业人员进行抗体检测,了解大流行期间SARS-CoV-2感染的实际情况。我们进一步调查了唾液和口腔管理相关的气溶胶,以估计牙科手术期间病毒传播的风险。方法:在日本SARS-CoV-2疫情疫苗接种前,检测牙科专业人员及其家属血液中SARS-CoV-2抗体滴度,了解其感染史。采用RT-qPCR方法检测2019冠状病毒肺炎患者口腔治疗过程中唾液和气溶胶中的病毒载量。结果:在日本大流行早期,对牙科保健提供者的抗体检测显示抗体呈低阳性,这支持了牙科诊所感染聚集性发生率低。牙科手术过程中产生的气溶胶可能含有微量的SARS-CoV-2,这表明通过牙科手术传播的风险有限。因此,SARS-CoV-2没有通过牙科诊所传播。结论:在疫情早期采取适当感染控制措施的牙科专业人员中,SARS-CoV-2感染极少。使用标准预防措施进行牙科手术似乎足以预防SARS-CoV-2感染。
本文章由计算机程序翻译,如有差异,请以英文原文为准。
求助全文
约1分钟内获得全文 求助全文
来源期刊
Infectious Disease Reports
Infectious Disease Reports INFECTIOUS DISEASES-
CiteScore
5.10
自引率
0.00%
发文量
82
审稿时长
11 weeks
×
引用
GB/T 7714-2015
复制
MLA
复制
APA
复制
导出至
BibTeX EndNote RefMan NoteFirst NoteExpress
×
提示
您的信息不完整,为了账户安全,请先补充。
现在去补充
×
提示
您因"违规操作"
具体请查看互助需知
我知道了
×
提示
确定
请完成安全验证×
copy
已复制链接
快去分享给好友吧!
我知道了
右上角分享
点击右上角分享
0
联系我们:info@booksci.cn Book学术提供免费学术资源搜索服务,方便国内外学者检索中英文文献。致力于提供最便捷和优质的服务体验。 Copyright © 2023 布克学术 All rights reserved.
京ICP备2023020795号-1
ghs 京公网安备 11010802042870号
Book学术文献互助
Book学术文献互助群
群 号:604180095
Book学术官方微信