The heating rate matters! contact heat evoked potentials in musicians and non-musicians.

IF 2.5 Q2 CLINICAL NEUROLOGY
Frontiers in pain research (Lausanne, Switzerland) Pub Date : 2025-06-09 eCollection Date: 2025-01-01 DOI:10.3389/fpain.2025.1555034
Fabian Sternkopf, Paulina S Scheuren, Catherine R Jutzeler, André Lee
{"title":"The heating rate matters! contact heat evoked potentials in musicians and non-musicians.","authors":"Fabian Sternkopf, Paulina S Scheuren, Catherine R Jutzeler, André Lee","doi":"10.3389/fpain.2025.1555034","DOIUrl":null,"url":null,"abstract":"<p><p>Classical musical training requires extreme levels of fine motor control, resulting in adaptive neuroplastic alterations in professional musicians. Additionally, musicians have a high prevalence of pain syndromes, which makes them an interesting group to research the influence of neuroplasticity on nociception. This report consists of two parts. Firstly, we present the results of a preliminary study comparing musicians and non-musicians with respect to their cortical responses to noxious heat stimuli at their hands and feet, using contact heat evoked potentials (CHEPs). Secondly, we quantitatively discuss the influence of the heating rates of two different stimulation devices on CHEPs when applying the exact same settings. For this, we measured the temperature curves of the devices' stimuli and connected their respective heating rates to the resulting CHEPs. Musicians showed a significantly larger <math><msub><mi>N</mi> <mn>2</mn></msub> </math> latency difference between hands and feet (20.86 ms, <math><mi>p</mi> <mo>=</mo> <mn>0.0045</mn></math> ), compared to non-musicians. Additionally, we found that, despite the exact same settings, different stimulation devices produced considerably different temperature curves. The resulting time difference between the stimulation devices of 104.78 ms explains the latency difference of the CHEPs produced by the respective device of 104.09 ms extremely well. This study underlines that musicians are an interesting model for neuroplasticity regarding nociception, as they respond differently to nociceptive stimuli. Moreover, it contributes to the understanding of the connection between a stimulation device's heating rate and the resulting CHEPs, an important finding that has never been quantified before but has considerable consequences on the comparability of results.</p>","PeriodicalId":73097,"journal":{"name":"Frontiers in pain research (Lausanne, Switzerland)","volume":"6 ","pages":"1555034"},"PeriodicalIF":2.5000,"publicationDate":"2025-06-09","publicationTypes":"Journal Article","fieldsOfStudy":null,"isOpenAccess":false,"openAccessPdf":"https://www.ncbi.nlm.nih.gov/pmc/articles/PMC12183249/pdf/","citationCount":"0","resultStr":null,"platform":"Semanticscholar","paperid":null,"PeriodicalName":"Frontiers in pain research (Lausanne, Switzerland)","FirstCategoryId":"1085","ListUrlMain":"https://doi.org/10.3389/fpain.2025.1555034","RegionNum":0,"RegionCategory":null,"ArticlePicture":[],"TitleCN":null,"AbstractTextCN":null,"PMCID":null,"EPubDate":"2025/1/1 0:00:00","PubModel":"eCollection","JCR":"Q2","JCRName":"CLINICAL NEUROLOGY","Score":null,"Total":0}
引用次数: 0

Abstract

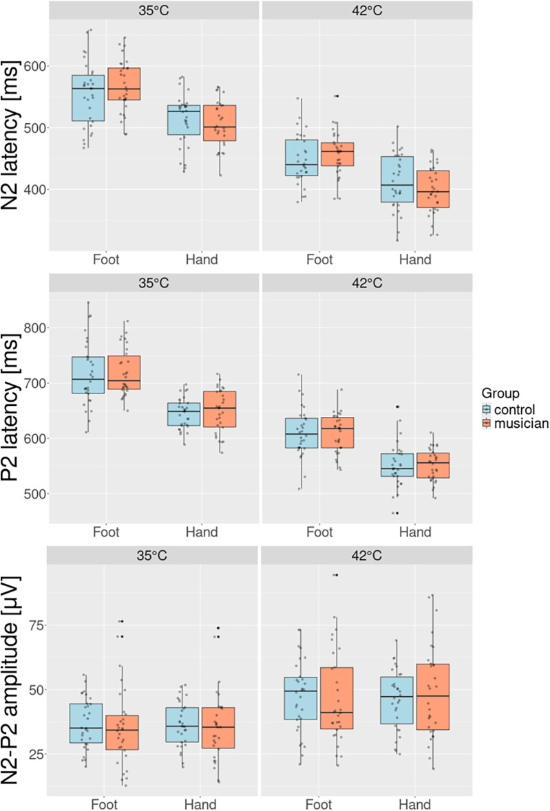
Classical musical training requires extreme levels of fine motor control, resulting in adaptive neuroplastic alterations in professional musicians. Additionally, musicians have a high prevalence of pain syndromes, which makes them an interesting group to research the influence of neuroplasticity on nociception. This report consists of two parts. Firstly, we present the results of a preliminary study comparing musicians and non-musicians with respect to their cortical responses to noxious heat stimuli at their hands and feet, using contact heat evoked potentials (CHEPs). Secondly, we quantitatively discuss the influence of the heating rates of two different stimulation devices on CHEPs when applying the exact same settings. For this, we measured the temperature curves of the devices' stimuli and connected their respective heating rates to the resulting CHEPs. Musicians showed a significantly larger N 2 latency difference between hands and feet (20.86 ms, p = 0.0045 ), compared to non-musicians. Additionally, we found that, despite the exact same settings, different stimulation devices produced considerably different temperature curves. The resulting time difference between the stimulation devices of 104.78 ms explains the latency difference of the CHEPs produced by the respective device of 104.09 ms extremely well. This study underlines that musicians are an interesting model for neuroplasticity regarding nociception, as they respond differently to nociceptive stimuli. Moreover, it contributes to the understanding of the connection between a stimulation device's heating rate and the resulting CHEPs, an important finding that has never been quantified before but has considerable consequences on the comparability of results.

Abstract Image

Abstract Image

Abstract Image

加热速率很重要!音乐家和非音乐家的接触热诱发电位。
古典音乐训练需要极高水平的精细运动控制,导致专业音乐家的适应性神经可塑性改变。此外,音乐家具有较高的疼痛综合征患病率,这使得他们成为研究神经可塑性对伤害感觉影响的有趣群体。本报告由两部分组成。首先,我们介绍了一项初步研究的结果,比较了音乐家和非音乐家对手和脚的有害热刺激的皮层反应,使用接触热诱发电位(chep)。其次,我们定量地讨论了在完全相同的设置下,两种不同刺激装置的加热速率对chep的影响。为此,我们测量了设备刺激的温度曲线,并将其各自的加热速率与产生的chep联系起来。与非音乐家相比,音乐家的手和脚的n2潜伏期差异明显更大(20.86 ms, p = 0.0045)。此外,我们发现,尽管设置完全相同,不同的增产装置产生的温度曲线却有很大不同。刺激装置产生的104.78 ms的时间差很好地解释了各自装置产生的104.09 ms的chep潜伏期差异。这项研究强调,音乐家是一个有趣的关于伤害感觉的神经可塑性模型,因为他们对伤害刺激的反应不同。此外,它有助于理解刺激装置的加热速率与产生的chep之间的关系,这是一个重要的发现,以前从未被量化,但对结果的可比性有相当大的影响。
本文章由计算机程序翻译,如有差异,请以英文原文为准。
求助全文
约1分钟内获得全文 求助全文
来源期刊
CiteScore
2.10
自引率
0.00%
发文量
0
审稿时长
13 weeks
×
引用
GB/T 7714-2015
复制
MLA
复制
APA
复制
导出至
BibTeX EndNote RefMan NoteFirst NoteExpress
×
提示
您的信息不完整,为了账户安全,请先补充。
现在去补充
×
提示
您因"违规操作"
具体请查看互助需知
我知道了
×
提示
确定
请完成安全验证×
copy
已复制链接
快去分享给好友吧!
我知道了
右上角分享
点击右上角分享
0
联系我们:info@booksci.cn Book学术提供免费学术资源搜索服务,方便国内外学者检索中英文文献。致力于提供最便捷和优质的服务体验。 Copyright © 2023 布克学术 All rights reserved.
京ICP备2023020795号-1
ghs 京公网安备 11010802042870号
Book学术文献互助
Book学术文献互助群
群 号:604180095
Book学术官方微信