Development of the treatment prediction model in the artificial intelligence in depression - medication enhancement study.

David Benrimoh, Caitrin Armstrong, Joseph Mehltretter, Robert Fratila, Kelly Perlman, Sonia Israel, Adam Kapelner, Sagar V Parikh, Jordan F Karp, Katherine Heller, Gustavo Turecki
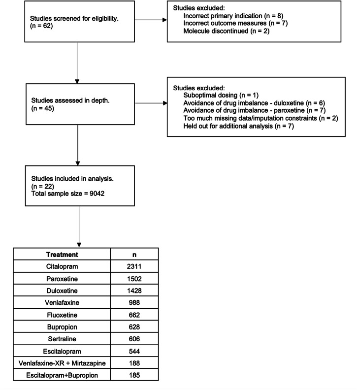
{"title":"Development of the treatment prediction model in the artificial intelligence in depression - medication enhancement study.","authors":"David Benrimoh, Caitrin Armstrong, Joseph Mehltretter, Robert Fratila, Kelly Perlman, Sonia Israel, Adam Kapelner, Sagar V Parikh, Jordan F Karp, Katherine Heller, Gustavo Turecki","doi":"10.1038/s44184-025-00136-8","DOIUrl":null,"url":null,"abstract":"<p><p>We introduce an artificial intelligence model to personalize treatment in major depression, which was deployed in the Artificial Intelligence in Depression: Medication Enhancement Study. We predict probabilities of remission across multiple pharmacological treatments, validate model predictions, and examine them for biases. Data from 9042 adults with moderate to severe major depression from antidepressant clinical trials were used to train a deep learning model. On the held-out test-set, the model demonstrated an AUC of 0.65, outperformed a null model (p = 0.01). The model increased population remission rate in hypothetical and actual improvement testing. While the model identified escitalopram as generally outperforming other drugs (consistent with the input data), there was otherwise significant variation in drug rankings. The model did not amplify potentially harmful biases. We demonstrate the first model capable of predicting outcomes for 10 treatments, intended to be used at or near the start of treatment to personalize treatment selection.</p>","PeriodicalId":74321,"journal":{"name":"Npj mental health research","volume":"4 1","pages":"26"},"PeriodicalIF":0.0000,"publicationDate":"2025-06-23","publicationTypes":"Journal Article","fieldsOfStudy":null,"isOpenAccess":false,"openAccessPdf":"https://www.ncbi.nlm.nih.gov/pmc/articles/PMC12185704/pdf/","citationCount":"0","resultStr":null,"platform":"Semanticscholar","paperid":null,"PeriodicalName":"Npj mental health research","FirstCategoryId":"1085","ListUrlMain":"https://doi.org/10.1038/s44184-025-00136-8","RegionNum":0,"RegionCategory":null,"ArticlePicture":[],"TitleCN":null,"AbstractTextCN":null,"PMCID":null,"EPubDate":"","PubModel":"","JCR":"","JCRName":"","Score":null,"Total":0}
引用次数: 0

Abstract

We introduce an artificial intelligence model to personalize treatment in major depression, which was deployed in the Artificial Intelligence in Depression: Medication Enhancement Study. We predict probabilities of remission across multiple pharmacological treatments, validate model predictions, and examine them for biases. Data from 9042 adults with moderate to severe major depression from antidepressant clinical trials were used to train a deep learning model. On the held-out test-set, the model demonstrated an AUC of 0.65, outperformed a null model (p = 0.01). The model increased population remission rate in hypothetical and actual improvement testing. While the model identified escitalopram as generally outperforming other drugs (consistent with the input data), there was otherwise significant variation in drug rankings. The model did not amplify potentially harmful biases. We demonstrate the first model capable of predicting outcomes for 10 treatments, intended to be used at or near the start of treatment to personalize treatment selection.

Abstract Image

Abstract Image

Abstract Image

抑郁症人工智能治疗预测模型的建立——药物增强研究。
我们介绍了一种人工智能模型来个性化治疗重度抑郁症,该模型已在“抑郁症中的人工智能:药物增强研究”中部署。我们预测了多种药物治疗的缓解概率,验证了模型预测,并检查了它们的偏差。来自9042名来自抗抑郁药物临床试验的中度至重度抑郁症成年人的数据用于训练深度学习模型。在hold -out测试集上,模型的AUC为0.65,优于零模型(p = 0.01)。该模型在假设和实际改进测试中提高了群体缓解率。虽然该模型确定艾司西酞普兰总体上优于其他药物(与输入数据一致),但药物排名在其他方面存在显著差异。该模型没有放大潜在的有害偏见。我们展示了第一个能够预测10种治疗结果的模型,旨在在治疗开始时或接近治疗开始时用于个性化治疗选择。
本文章由计算机程序翻译,如有差异,请以英文原文为准。
求助全文
约1分钟内获得全文 求助全文
来源期刊
自引率
0.00%
发文量
0
×
引用
GB/T 7714-2015
复制
MLA
复制
APA
复制
导出至
BibTeX EndNote RefMan NoteFirst NoteExpress
×
提示
您的信息不完整,为了账户安全,请先补充。
现在去补充
×
提示
您因"违规操作"
具体请查看互助需知
我知道了
×
提示
确定
请完成安全验证×
copy
已复制链接
快去分享给好友吧!
我知道了
右上角分享
点击右上角分享
0
联系我们:info@booksci.cn Book学术提供免费学术资源搜索服务,方便国内外学者检索中英文文献。致力于提供最便捷和优质的服务体验。 Copyright © 2023 布克学术 All rights reserved.
京ICP备2023020795号-1
ghs 京公网安备 11010802042870号
Book学术文献互助
Book学术文献互助群
群 号:604180095
Book学术官方微信