Sex-based differences in inflammatory predictors of outcomes in patients undergoing mechanical thrombectomy: an inverse probability weighting analysis.

IF 4.1 2区 医学 Q1 CLINICAL NEUROLOGY
Therapeutic Advances in Neurological Disorders Pub Date : 2025-06-21 eCollection Date: 2025-01-01 DOI:10.1177/17562864251345719
Gabriele Prandin, Matteo Foschi, Mariarosaria Valente, Liqun Zhang, Paresh Malhotra, Simona Sacco, Raffaele Ornello, Francesco Toraldo, Domenico Maisano, Caterina Del Regno, Filippo Komauli, Adelaida Gartner Jarmillo, Hakam Al-Karadsheh, Hamza Zahid, Piers Klein, Mohamad Abdalkader, Paolo Manganotti, Kyriakos Lobotesis, Thanh N Nguyen, Gian Luigi Gigli, Soma Banerjee, Giovanni Merlino, Lucio D'Anna
{"title":"Sex-based differences in inflammatory predictors of outcomes in patients undergoing mechanical thrombectomy: an inverse probability weighting analysis.","authors":"Gabriele Prandin, Matteo Foschi, Mariarosaria Valente, Liqun Zhang, Paresh Malhotra, Simona Sacco, Raffaele Ornello, Francesco Toraldo, Domenico Maisano, Caterina Del Regno, Filippo Komauli, Adelaida Gartner Jarmillo, Hakam Al-Karadsheh, Hamza Zahid, Piers Klein, Mohamad Abdalkader, Paolo Manganotti, Kyriakos Lobotesis, Thanh N Nguyen, Gian Luigi Gigli, Soma Banerjee, Giovanni Merlino, Lucio D'Anna","doi":"10.1177/17562864251345719","DOIUrl":null,"url":null,"abstract":"<p><strong>Background: </strong>Inflammatory biomarkers, key predictors of ischemic stroke prognosis, may exhibit sex-specific predictive patterns.</p><p><strong>Objectives: </strong>This study investigates sex-based differences in inflammatory biomarkers as predictors of 90-day clinical outcomes in acute ischemic stroke patients undergoing mechanical thrombectomy (MT).</p><p><strong>Design: </strong>Multicenter retrospective study.</p><p><strong>Methods: </strong>This study included 970 patients consecutively treated with MT for anterior circulation large vessel occlusion between 2016 and 2023. Inflammatory indices, including neutrophil-to-lymphocyte ratio (NLR), platelet-to-lymphocyte ratio, monocyte-to-lymphocyte ratio (MLR), C-reactive protein (CRP), systemic inflammation response index, and systemic immune-inflammation index, were measured on admission and 24-h post-MT. Inverse probability weighting was used to balance baseline characteristics between male and female patients. Least absolute shrinkage and selection operator regression and logistic regression were used to identify independent predictors of 90-day good functional outcomes (modified Rankin scale (mRS) score 0-2) and death, stratified by sex and age groups (<55 and ⩾55 years).</p><p><strong>Results: </strong>In the male weighted population (516 patients), multivariable analysis showed that MLR (odds ratio (OR): 0.37, 95% confidence interval (CI): 0.13-0.95, <i>p</i> = 0.041), 24-h NLR (OR: 0.88, 95% CI: 0.83-0.94, <i>p</i> < 0.001), and 24-h MLR (OR: 0.33, 95% CI: 0.12-0.94, <i>p</i> < 0.001) were independent predictors of 90-day good functional outcome with age-specific differences noted. Twenty-four-hour MLR (OR: 5.05, 95% CI: 1.36-4.28, <i>p</i> = 0.047) and erythrocyte sedimentation rate (OR: 1.02, 95% CI: 1.01-1.04, <i>p</i> = 0.025) were independent predictors of death, respectively, for men <55 and men ⩾55 years. In the weighted female population (454 patients), 24-h NLR (OR: 0.89, 95% CI: 0.81-0.96, <i>p</i> = 0.007) and 24-h CRP (OR: 0.98, 95% CI: 0.97-0.99, <i>p</i> = 0.029) were independent predictors of good functional outcomes. Twenty-four-hour CRP was also an independent predictor of 90-day death (OR: 1.01, 95% CI: 1.00-1.02, <i>p</i> = 0.017) in women with no age-specific differences noted. Interaction analysis revealed significant sex-specific relationships for MLR and CRP but not for NLR.</p><p><strong>Conclusion: </strong>This study highlights sex-based differences in the predictive value of widely available inflammatory biomarkers for stroke outcomes. MLR was a distinct predictor in men, while CRP was uniquely associated with outcomes in women. These findings underscore the need for sex-stratified approaches in stroke management and research.</p>","PeriodicalId":22980,"journal":{"name":"Therapeutic Advances in Neurological Disorders","volume":"18 ","pages":"17562864251345719"},"PeriodicalIF":4.1000,"publicationDate":"2025-06-21","publicationTypes":"Journal Article","fieldsOfStudy":null,"isOpenAccess":false,"openAccessPdf":"https://www.ncbi.nlm.nih.gov/pmc/articles/PMC12182613/pdf/","citationCount":"0","resultStr":null,"platform":"Semanticscholar","paperid":null,"PeriodicalName":"Therapeutic Advances in Neurological Disorders","FirstCategoryId":"3","ListUrlMain":"https://doi.org/10.1177/17562864251345719","RegionNum":2,"RegionCategory":"医学","ArticlePicture":[],"TitleCN":null,"AbstractTextCN":null,"PMCID":null,"EPubDate":"2025/1/1 0:00:00","PubModel":"eCollection","JCR":"Q1","JCRName":"CLINICAL NEUROLOGY","Score":null,"Total":0}
引用次数: 0

Abstract

Background: Inflammatory biomarkers, key predictors of ischemic stroke prognosis, may exhibit sex-specific predictive patterns.

Objectives: This study investigates sex-based differences in inflammatory biomarkers as predictors of 90-day clinical outcomes in acute ischemic stroke patients undergoing mechanical thrombectomy (MT).

Design: Multicenter retrospective study.

Methods: This study included 970 patients consecutively treated with MT for anterior circulation large vessel occlusion between 2016 and 2023. Inflammatory indices, including neutrophil-to-lymphocyte ratio (NLR), platelet-to-lymphocyte ratio, monocyte-to-lymphocyte ratio (MLR), C-reactive protein (CRP), systemic inflammation response index, and systemic immune-inflammation index, were measured on admission and 24-h post-MT. Inverse probability weighting was used to balance baseline characteristics between male and female patients. Least absolute shrinkage and selection operator regression and logistic regression were used to identify independent predictors of 90-day good functional outcomes (modified Rankin scale (mRS) score 0-2) and death, stratified by sex and age groups (<55 and ⩾55 years).

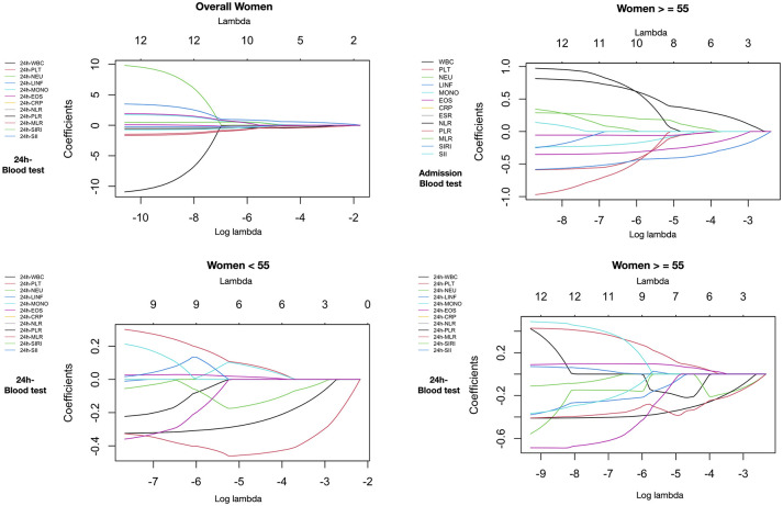
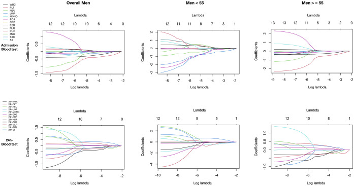
Results: In the male weighted population (516 patients), multivariable analysis showed that MLR (odds ratio (OR): 0.37, 95% confidence interval (CI): 0.13-0.95, p = 0.041), 24-h NLR (OR: 0.88, 95% CI: 0.83-0.94, p < 0.001), and 24-h MLR (OR: 0.33, 95% CI: 0.12-0.94, p < 0.001) were independent predictors of 90-day good functional outcome with age-specific differences noted. Twenty-four-hour MLR (OR: 5.05, 95% CI: 1.36-4.28, p = 0.047) and erythrocyte sedimentation rate (OR: 1.02, 95% CI: 1.01-1.04, p = 0.025) were independent predictors of death, respectively, for men <55 and men ⩾55 years. In the weighted female population (454 patients), 24-h NLR (OR: 0.89, 95% CI: 0.81-0.96, p = 0.007) and 24-h CRP (OR: 0.98, 95% CI: 0.97-0.99, p = 0.029) were independent predictors of good functional outcomes. Twenty-four-hour CRP was also an independent predictor of 90-day death (OR: 1.01, 95% CI: 1.00-1.02, p = 0.017) in women with no age-specific differences noted. Interaction analysis revealed significant sex-specific relationships for MLR and CRP but not for NLR.

Conclusion: This study highlights sex-based differences in the predictive value of widely available inflammatory biomarkers for stroke outcomes. MLR was a distinct predictor in men, while CRP was uniquely associated with outcomes in women. These findings underscore the need for sex-stratified approaches in stroke management and research.

Abstract Image

Abstract Image

Abstract Image

机械取栓患者炎症预测结果的性别差异:逆概率加权分析
背景:炎症生物标志物是缺血性脑卒中预后的关键预测因子,可能表现出性别特异性的预测模式。目的:本研究探讨炎症生物标志物的性别差异作为急性缺血性卒中患者机械取栓(MT) 90天临床结果的预测因子。设计:多中心回顾性研究。方法:本研究纳入2016年至2023年连续接受MT治疗的970例前循环大血管闭塞患者。入院时和mt后24小时测量炎症指标,包括中性粒细胞与淋巴细胞比值(NLR)、血小板与淋巴细胞比值(MLR)、单核细胞与淋巴细胞比值(MLR)、c反应蛋白(CRP)、全身炎症反应指数和全身免疫炎症指数。采用逆概率加权法平衡男女患者的基线特征。最小绝对收缩、选择算子回归和logistic回归用于确定90天良好功能结局(改良Rankin量表(mRS)评分0-2)和死亡的独立预测因子,并按性别和年龄组分层(结果:在男性加权人群(516例)中,多变量分析显示MLR(优势比(OR): 0.37, 95%置信区间(CI): 0.13-0.95, p = 0.041), 24小时NLR (OR: 0.88, 95% CI):0.83-0.94, p p p = 0.047)和红细胞沉降率(OR: 1.02, 95% CI: 1.01-1.04, p = 0.025)分别是死亡的独立预测因子,男性p = 0.007)和24小时CRP (OR: 0.98, 95% CI: 0.97-0.99, p = 0.029)是良好功能结局的独立预测因子。24小时CRP也是女性90天死亡的独立预测因子(OR: 1.01, 95% CI: 1.00-1.02, p = 0.017),无年龄特异性差异。相互作用分析显示MLR和CRP有显著的性别特异性关系,但NLR没有。结论:这项研究强调了广泛使用的炎症生物标志物对脑卒中预后的预测价值的性别差异。MLR在男性中是一个明显的预测因子,而CRP与女性的预后仅相关。这些发现强调了在卒中管理和研究中采用性别分层方法的必要性。
本文章由计算机程序翻译,如有差异,请以英文原文为准。
求助全文
约1分钟内获得全文 求助全文
来源期刊
CiteScore
8.30
自引率
1.70%
发文量
62
审稿时长
15 weeks
期刊介绍: Therapeutic Advances in Neurological Disorders is a peer-reviewed, open access journal delivering the highest quality articles, reviews, and scholarly comment on pioneering efforts and innovative studies across all areas of neurology. The journal has a strong clinical and pharmacological focus and is aimed at clinicians and researchers in neurology, providing a forum in print and online for publishing the highest quality articles in this area.
×
引用
GB/T 7714-2015
复制
MLA
复制
APA
复制
导出至
BibTeX EndNote RefMan NoteFirst NoteExpress
×
提示
您的信息不完整,为了账户安全,请先补充。
现在去补充
×
提示
您因"违规操作"
具体请查看互助需知
我知道了
×
提示
确定
请完成安全验证×
copy
已复制链接
快去分享给好友吧!
我知道了
右上角分享
点击右上角分享
0
联系我们:info@booksci.cn Book学术提供免费学术资源搜索服务,方便国内外学者检索中英文文献。致力于提供最便捷和优质的服务体验。 Copyright © 2023 布克学术 All rights reserved.
京ICP备2023020795号-1
ghs 京公网安备 11010802042870号
Book学术文献互助
Book学术文献互助群
群 号:604180095
Book学术官方微信