Effect of neurokinin B and dynorphin A on kisspeptin-10 secretion from the anterior pituitary cells of pubescent ewes in vitro.

IF 1.5 3区 农林科学 Q2 VETERINARY SCIENCES
Journal of Veterinary Research Pub Date : 2025-05-03 eCollection Date: 2025-06-01 DOI:10.2478/jvetres-2025-0026
Natalia Szysiak, Urszula Kosior-Korzecka, Monika Greguła-Kania, Krzysztof Patkowski, Mateusz Fila, Andrzej Junkuszew
{"title":"Effect of neurokinin B and dynorphin A on kisspeptin-10 secretion from the anterior pituitary cells of pubescent ewes <i>in vitro</i>.","authors":"Natalia Szysiak, Urszula Kosior-Korzecka, Monika Greguła-Kania, Krzysztof Patkowski, Mateusz Fila, Andrzej Junkuszew","doi":"10.2478/jvetres-2025-0026","DOIUrl":null,"url":null,"abstract":"<p><strong>Introduction: </strong>Neurokinin B (NKB), dynorphin A (Dyn A) and kisspeptin (KiSS) are key agents that participate in the neuroendocrine regulation of the development and functioning of the reproductive system. While the role of KiSS is better understood, the functions of NKB and Dyn A at the pituitary level have not been elucidated. The objective of our study was to analyse their direct effect on kisspeptin-10 (KiSS-10) secretion by anterior pituitary cells isolated from pubescent ewes.</p><p><strong>Material and methods: </strong>Pituitary cells from 10-month-old ewe lambs were incubated in McCoy's 5A medium without hormones (the control), or with 10<sup>-11</sup>, 10<sup>-10</sup>, 10<sup>-9</sup>, 10<sup>-8</sup> or 10<sup>-7</sup> M of NKB or Dyn A for 2, 4, 6, 12, 18 or 24 h. The concentration of KiSS-10 was analysed by ELISA using species-specific antibodies.</p><p><strong>Results: </strong>When applied at the concentrations of 10<sup>-10</sup>-10<sup>-7</sup> M, NKB increased KiSS-10 secretion throughout the entire experiment (2-24 h), compared to the control. Significantly higher (P-value ≤ 0.05) KiSS-10 release than in the control was observed after 6-24 h exposure of the cells to 10<sup>-8</sup> M of NKB. However, no effect of NKB on the secretion of KiSS-10 was shown when applied at the lowest concentration (10<sup>-11</sup> M). In turn, there was no significant effect of Dyn A at any concentration on KiSS-10 secretion by pituitary cells at any time.</p><p><strong>Conclusion: </strong>In contrast to Dyn A, NKB can directly affect KiSS-10 secretion from the pituitary cells of pubescent ewes in a way dependent on the time of exposure to this neuropeptide and its concentration in the culture medium. This phenomenon may indicate a potential role of NKB in the initiation of reproductive activity, which leads to the achievement of sexual maturity in the optimal developmental window.</p>","PeriodicalId":17617,"journal":{"name":"Journal of Veterinary Research","volume":"69 2","pages":"299-304"},"PeriodicalIF":1.5000,"publicationDate":"2025-05-03","publicationTypes":"Journal Article","fieldsOfStudy":null,"isOpenAccess":false,"openAccessPdf":"https://www.ncbi.nlm.nih.gov/pmc/articles/PMC12182939/pdf/","citationCount":"0","resultStr":null,"platform":"Semanticscholar","paperid":null,"PeriodicalName":"Journal of Veterinary Research","FirstCategoryId":"97","ListUrlMain":"https://doi.org/10.2478/jvetres-2025-0026","RegionNum":3,"RegionCategory":"农林科学","ArticlePicture":[],"TitleCN":null,"AbstractTextCN":null,"PMCID":null,"EPubDate":"2025/6/1 0:00:00","PubModel":"eCollection","JCR":"Q2","JCRName":"VETERINARY SCIENCES","Score":null,"Total":0}
引用次数: 0

Abstract

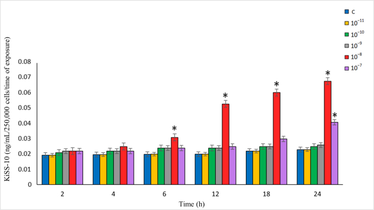
Introduction: Neurokinin B (NKB), dynorphin A (Dyn A) and kisspeptin (KiSS) are key agents that participate in the neuroendocrine regulation of the development and functioning of the reproductive system. While the role of KiSS is better understood, the functions of NKB and Dyn A at the pituitary level have not been elucidated. The objective of our study was to analyse their direct effect on kisspeptin-10 (KiSS-10) secretion by anterior pituitary cells isolated from pubescent ewes.

Material and methods: Pituitary cells from 10-month-old ewe lambs were incubated in McCoy's 5A medium without hormones (the control), or with 10-11, 10-10, 10-9, 10-8 or 10-7 M of NKB or Dyn A for 2, 4, 6, 12, 18 or 24 h. The concentration of KiSS-10 was analysed by ELISA using species-specific antibodies.

Results: When applied at the concentrations of 10-10-10-7 M, NKB increased KiSS-10 secretion throughout the entire experiment (2-24 h), compared to the control. Significantly higher (P-value ≤ 0.05) KiSS-10 release than in the control was observed after 6-24 h exposure of the cells to 10-8 M of NKB. However, no effect of NKB on the secretion of KiSS-10 was shown when applied at the lowest concentration (10-11 M). In turn, there was no significant effect of Dyn A at any concentration on KiSS-10 secretion by pituitary cells at any time.

Conclusion: In contrast to Dyn A, NKB can directly affect KiSS-10 secretion from the pituitary cells of pubescent ewes in a way dependent on the time of exposure to this neuropeptide and its concentration in the culture medium. This phenomenon may indicate a potential role of NKB in the initiation of reproductive activity, which leads to the achievement of sexual maturity in the optimal developmental window.

Abstract Image

Abstract Image

神经激肽B和动力啡肽A对短毛母羊垂体前叶细胞kisspeptin-10分泌的影响。
神经激肽B (Neurokinin B, NKB)、促啡肽A (Dyn A)和kisspeptin (KiSS)是参与生殖系统发育和功能的神经内分泌调节的关键因子。虽然KiSS的作用已被更好地理解,但NKB和dyna在垂体水平上的功能尚未阐明。本研究的目的是分析它们对短毛母羊垂体前叶细胞分泌kisspeptin-10 (KiSS-10)的直接影响。材料和方法:选取10月龄母羊的垂体细胞,在不含激素(对照)的McCoy’s 5A培养基中,或在10-11、10-10、10-9、10-8或10-7 M的NKB或Dyn A中孵育2、4、6、12、18或24 h,采用ELISA法检测KiSS-10的浓度。结果:与对照组相比,在10-10-10-7 M浓度下,NKB在整个实验过程中(2-24 h)增加了KiSS-10的分泌。10-8 M NKB作用6-24 h后,细胞KiSS-10的释放量显著高于对照组(p值≤0.05)。然而,在最低浓度(10-11 M)下,NKB对KiSS-10的分泌没有影响。反过来,任何浓度的Dyn A在任何时间对垂体细胞分泌KiSS-10均无显著影响。结论:与Dyn A相反,NKB可以直接影响短毛母羊垂体细胞的KiSS-10分泌,其影响方式取决于暴露于该神经肽的时间及其在培养基中的浓度。这一现象可能表明NKB在生殖活动启动中的潜在作用,从而导致在最佳发育窗口实现性成熟。
本文章由计算机程序翻译,如有差异,请以英文原文为准。
求助全文
约1分钟内获得全文 求助全文
来源期刊
Journal of Veterinary Research
Journal of Veterinary Research Veterinary-General Veterinary
CiteScore
0.90
自引率
5.60%
发文量
58
审稿时长
18 weeks
期刊介绍: Journal of Veterinary Research (formerly Bulletin of the Veterinary Institute in Pulawy) is a quarterly that publishes original papers, review articles and short communications on bacteriology, virology, parasitology, immunology, molecular biology, pathology, toxicology, pharmacology, and biochemistry. The main emphasis is, however, on infectious diseases of animals, food safety and public health, and clinical sciences.
×
引用
GB/T 7714-2015
复制
MLA
复制
APA
复制
导出至
BibTeX EndNote RefMan NoteFirst NoteExpress
×
提示
您的信息不完整,为了账户安全,请先补充。
现在去补充
×
提示
您因"违规操作"
具体请查看互助需知
我知道了
×
提示
确定
请完成安全验证×
copy
已复制链接
快去分享给好友吧!
我知道了
右上角分享
点击右上角分享
0
联系我们:info@booksci.cn Book学术提供免费学术资源搜索服务,方便国内外学者检索中英文文献。致力于提供最便捷和优质的服务体验。 Copyright © 2023 布克学术 All rights reserved.
京ICP备2023020795号-1
ghs 京公网安备 11010802042870号
Book学术文献互助
Book学术文献互助群
群 号:604180095
Book学术官方微信