Enablers and barriers to physical activity among older adults of low socio-economic status: a systematic review of qualitative literature.

IF 5.5 1区 医学 Q1 NUTRITION & DIETETICS
Olivia S Malkowski, Jessica Harvey, Nick P Townsend, Mark J Kelson, Charlie E M Foster, Max J Western
{"title":"Enablers and barriers to physical activity among older adults of low socio-economic status: a systematic review of qualitative literature.","authors":"Olivia S Malkowski, Jessica Harvey, Nick P Townsend, Mark J Kelson, Charlie E M Foster, Max J Western","doi":"10.1186/s12966-025-01753-4","DOIUrl":null,"url":null,"abstract":"<p><strong>Background: </strong>Understanding the factors influencing physical activity in older adults, and whether they vary according to socio-economic status (SES), could help to inform interventions that are effective in reducing inequalities and improving the quality of life of an ageing population. This systematic review aimed to synthesise the qualitative evidence on the modifiable enablers of, and barriers to, physical activity based on low-SES older adults' perspectives in the United Kingdom (UK). A secondary aim was to identify and summarise differences in physical activity enablers and barriers between older adults of low and high SES.</p><p><strong>Methods: </strong>We searched five electronic databases from inception to December 2023 for studies conducted among UK-based, community-dwelling older adults aged 60+ years including qualitative methods, with results reported by SES. We excluded hospitalised or institutionalised participants. Risk of bias was assessed with the Mixed Methods Appraisal Tool, and framework synthesis was applied using the Capability, Opportunity, Motivation, and Behaviour (COM-B) model.</p><p><strong>Results: </strong>Thirty studies were included in the review, of which five specifically examined inequalities in physical activity enablers and barriers. Low-SES older adults' physical capability was influenced by fitness, mobility, and general health, while their psychological capability was shaped by knowledge and behavioural regulation. Physical opportunity was characterised by safety, pedestrian infrastructure, access to physical activity opportunities and daily destinations, environmental quality, and aesthetics. Themes under social opportunity encompassed social support, social norms, social engagement, and dog ownership. Physical activity was motivated by reflective processes, such as outcome expectancies, self-efficacy, and attitudes, as well as automatic processes, including habits, lack of time, and enjoyment. Few studies investigated differences between participants of low and high SES, with those that did predominantly pointing to disparities in the physical or built environment.</p><p><strong>Conclusions: </strong>This meta-synthesis of qualitative literature identified a wide range of interacting factors influencing physical activity across socio-ecological and COM-B domains, underscoring whole-system interventions as a potential approach to stimulate meaningful and sustained change. Future research could report results by SES to enhance our understanding of inequalities and ensure that low-SES older adults are represented in the development and evaluation of interventions targeting improvements in physical activity.</p>","PeriodicalId":50336,"journal":{"name":"International Journal of Behavioral Nutrition and Physical Activity","volume":"22 1","pages":"82"},"PeriodicalIF":5.5000,"publicationDate":"2025-06-23","publicationTypes":"Journal Article","fieldsOfStudy":null,"isOpenAccess":false,"openAccessPdf":"https://www.ncbi.nlm.nih.gov/pmc/articles/PMC12183869/pdf/","citationCount":"0","resultStr":null,"platform":"Semanticscholar","paperid":null,"PeriodicalName":"International Journal of Behavioral Nutrition and Physical Activity","FirstCategoryId":"3","ListUrlMain":"https://doi.org/10.1186/s12966-025-01753-4","RegionNum":1,"RegionCategory":"医学","ArticlePicture":[],"TitleCN":null,"AbstractTextCN":null,"PMCID":null,"EPubDate":"","PubModel":"","JCR":"Q1","JCRName":"NUTRITION & DIETETICS","Score":null,"Total":0}
引用次数: 0

Abstract

Background: Understanding the factors influencing physical activity in older adults, and whether they vary according to socio-economic status (SES), could help to inform interventions that are effective in reducing inequalities and improving the quality of life of an ageing population. This systematic review aimed to synthesise the qualitative evidence on the modifiable enablers of, and barriers to, physical activity based on low-SES older adults' perspectives in the United Kingdom (UK). A secondary aim was to identify and summarise differences in physical activity enablers and barriers between older adults of low and high SES.

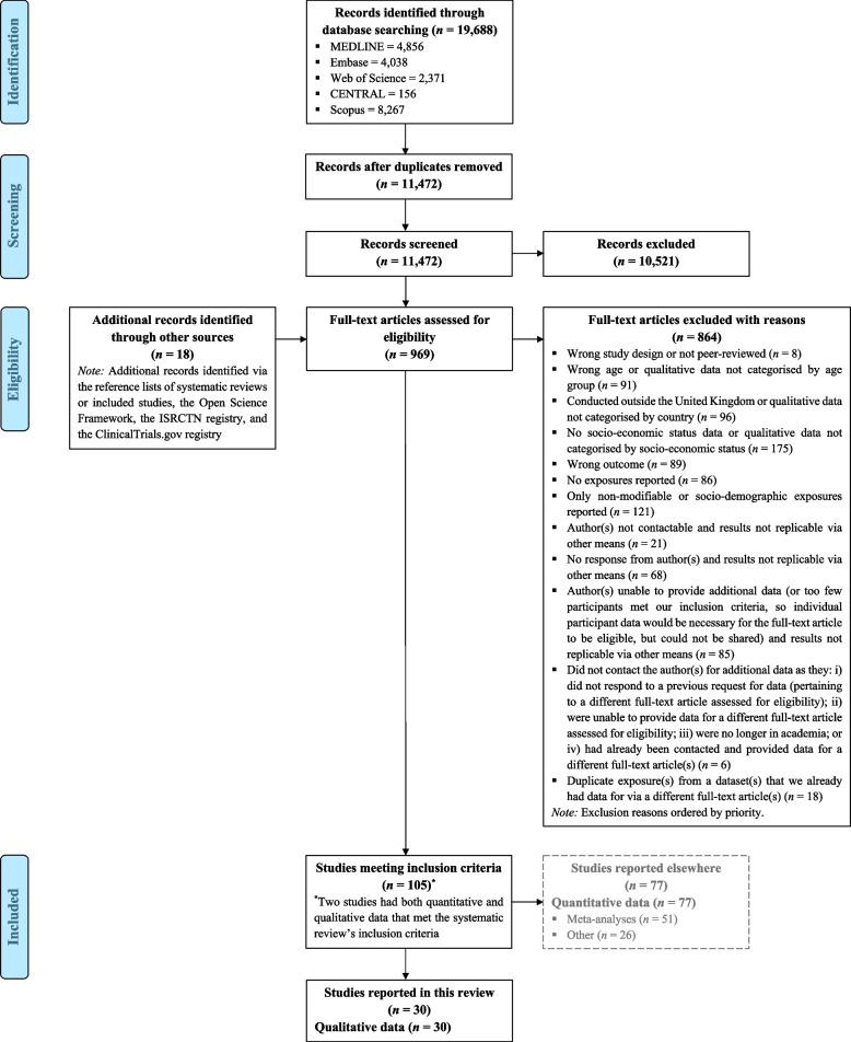
Methods: We searched five electronic databases from inception to December 2023 for studies conducted among UK-based, community-dwelling older adults aged 60+ years including qualitative methods, with results reported by SES. We excluded hospitalised or institutionalised participants. Risk of bias was assessed with the Mixed Methods Appraisal Tool, and framework synthesis was applied using the Capability, Opportunity, Motivation, and Behaviour (COM-B) model.

Results: Thirty studies were included in the review, of which five specifically examined inequalities in physical activity enablers and barriers. Low-SES older adults' physical capability was influenced by fitness, mobility, and general health, while their psychological capability was shaped by knowledge and behavioural regulation. Physical opportunity was characterised by safety, pedestrian infrastructure, access to physical activity opportunities and daily destinations, environmental quality, and aesthetics. Themes under social opportunity encompassed social support, social norms, social engagement, and dog ownership. Physical activity was motivated by reflective processes, such as outcome expectancies, self-efficacy, and attitudes, as well as automatic processes, including habits, lack of time, and enjoyment. Few studies investigated differences between participants of low and high SES, with those that did predominantly pointing to disparities in the physical or built environment.

Conclusions: This meta-synthesis of qualitative literature identified a wide range of interacting factors influencing physical activity across socio-ecological and COM-B domains, underscoring whole-system interventions as a potential approach to stimulate meaningful and sustained change. Future research could report results by SES to enhance our understanding of inequalities and ensure that low-SES older adults are represented in the development and evaluation of interventions targeting improvements in physical activity.

Abstract Image

Abstract Image

Abstract Image

社会经济地位低的老年人身体活动的促进因素和障碍:对定性文献的系统回顾。
背景:了解影响老年人身体活动的因素,以及这些因素是否因社会经济地位(SES)而异,有助于为有效减少不平等现象和改善老龄化人口生活质量的干预措施提供信息。本系统综述旨在根据英国低社会经济地位老年人的观点,综合有关体育活动可改变的促成因素和障碍的定性证据。第二个目的是识别和总结低经济地位和高经济地位老年人在身体活动促进因素和障碍方面的差异。方法:我们检索了从成立到2023年12月在英国社区居住的60岁以上老年人中进行的研究的5个电子数据库,包括定性方法,结果由SES报告。我们排除了住院或收容的参与者。偏倚风险采用混合方法评估工具进行评估,框架综合采用能力、机会、动机和行为(COM-B)模型。结果:30项研究纳入了综述,其中5项专门研究了体育活动促进因素和障碍方面的不平等。低社会经济地位老年人的身体能力受健康、活动能力和总体健康状况的影响,而他们的心理能力受知识和行为调节的影响。物理机会的特点是安全、行人基础设施、获得体育活动机会和日常目的地、环境质量和美学。社会机会的主题包括社会支持、社会规范、社会参与和养狗。体育活动的动机是反思过程,如结果预期、自我效能和态度,以及自动过程,包括习惯、缺乏时间和享受。很少有研究调查了低经济地位和高经济地位的参与者之间的差异,那些研究主要指向物理或建筑环境的差异。结论:这一定性文献的综合研究确定了影响社会生态和COM-B领域身体活动的广泛相互作用因素,强调了全系统干预是刺激有意义和持续变化的潜在方法。未来的研究可以报告社会经济地位的结果,以增强我们对不平等的理解,并确保低社会经济地位的老年人在以改善身体活动为目标的干预措施的发展和评估中有代表性。
本文章由计算机程序翻译,如有差异,请以英文原文为准。
求助全文
约1分钟内获得全文 求助全文
来源期刊
CiteScore
13.80
自引率
3.40%
发文量
138
审稿时长
4-8 weeks
期刊介绍: International Journal of Behavioral Nutrition and Physical Activity (IJBNPA) is an open access, peer-reviewed journal offering high quality articles, rapid publication and wide diffusion in the public domain. IJBNPA is devoted to furthering the understanding of the behavioral aspects of diet and physical activity and is unique in its inclusion of multiple levels of analysis, including populations, groups and individuals and its inclusion of epidemiology, and behavioral, theoretical and measurement research areas.
×
引用
GB/T 7714-2015
复制
MLA
复制
APA
复制
导出至
BibTeX EndNote RefMan NoteFirst NoteExpress
×
提示
您的信息不完整,为了账户安全,请先补充。
现在去补充
×
提示
您因"违规操作"
具体请查看互助需知
我知道了
×
提示
确定
请完成安全验证×
copy
已复制链接
快去分享给好友吧!
我知道了
右上角分享
点击右上角分享
0
联系我们:info@booksci.cn Book学术提供免费学术资源搜索服务,方便国内外学者检索中英文文献。致力于提供最便捷和优质的服务体验。 Copyright © 2023 布克学术 All rights reserved.
京ICP备2023020795号-1
ghs 京公网安备 11010802042870号
Book学术文献互助
Book学术文献互助群
群 号:604180095
Book学术官方微信