Correlates and determinants of physical activity among older adults of lower versus higher socio-economic status: a systematic review and meta-analysis.

IF 5.5 1区 医学 Q1 NUTRITION & DIETETICS
Olivia S Malkowski, Jessica Harvey, Nick P Townsend, Mark J Kelson, Charlie E M Foster, Max J Western
{"title":"Correlates and determinants of physical activity among older adults of lower versus higher socio-economic status: a systematic review and meta-analysis.","authors":"Olivia S Malkowski, Jessica Harvey, Nick P Townsend, Mark J Kelson, Charlie E M Foster, Max J Western","doi":"10.1186/s12966-025-01775-y","DOIUrl":null,"url":null,"abstract":"<p><strong>Background: </strong>Understanding socio-economic differences in the factors influencing physical activity among older adults is essential for developing comprehensive interventions. We aimed to quantify the associations of modifiable correlates and determinants on physical activity among older adults of lower versus higher socio-economic status in the United Kingdom.</p><p><strong>Methods: </strong>In this systematic review and meta-analysis, we searched MEDLINE, Embase, Web of Science, Cochrane Central Register of Controlled Trials (CENTRAL), and Scopus from inception to December 2023, for peer-reviewed studies published in English, investigating associations between a modifiable factor as an independent variable and physical activity as a dependent variable, by socio-economic status (defined according to various area- and individual-level indicators, including neighbourhood deprivation, wealth or income, education, and occupational class), in samples of community-dwelling older adults aged 60+ years in the United Kingdom. Hospitalised and institutionalised populations were excluded. Random effects meta-analyses were performed separately for people of lower and higher socio-economic status. Risk of bias was assessed with the Mixed Methods Appraisal Tool. This study was registered with the International prospective register of systematic reviews (PROSPERO; CRD42022351708).</p><p><strong>Results: </strong>Searches identified 11,472 references; seventy-seven studies met the selection criteria, of which fifty-one contributed to meta-analyses (N range = 134-29,280). Of the exposures positively associated with physical activity, physical function, social participation, and perception of general health had the largest effect sizes (standardised mean difference [SMD] range = 0.53-0.81; I<sup>2</sup> range = 54.81-91.00%). Estimates were comparable among older adults of lower and higher socio-economic status, except for the presence of built physical activity facilities, access to walking and cycling infrastructure, and less smoking, which were positively associated with physical activity only among individuals of lower socio-economic status.</p><p><strong>Conclusions: </strong>Our results suggest researchers need to better understand discrepancies in the prevalence of the assessed correlates (e.g., fewer participants of lower socio-economic status reported good physical function) to inform policies that reduce inequalities in older adults' physical activity levels. However, most studies were cross-sectional. Future longitudinal and experimental research should gauge the suitability of these correlates as intervention targets.</p>","PeriodicalId":50336,"journal":{"name":"International Journal of Behavioral Nutrition and Physical Activity","volume":"22 1","pages":"83"},"PeriodicalIF":5.5000,"publicationDate":"2025-06-23","publicationTypes":"Journal Article","fieldsOfStudy":null,"isOpenAccess":false,"openAccessPdf":"https://www.ncbi.nlm.nih.gov/pmc/articles/PMC12183859/pdf/","citationCount":"0","resultStr":null,"platform":"Semanticscholar","paperid":null,"PeriodicalName":"International Journal of Behavioral Nutrition and Physical Activity","FirstCategoryId":"3","ListUrlMain":"https://doi.org/10.1186/s12966-025-01775-y","RegionNum":1,"RegionCategory":"医学","ArticlePicture":[],"TitleCN":null,"AbstractTextCN":null,"PMCID":null,"EPubDate":"","PubModel":"","JCR":"Q1","JCRName":"NUTRITION & DIETETICS","Score":null,"Total":0}
引用次数: 0

Abstract

Background: Understanding socio-economic differences in the factors influencing physical activity among older adults is essential for developing comprehensive interventions. We aimed to quantify the associations of modifiable correlates and determinants on physical activity among older adults of lower versus higher socio-economic status in the United Kingdom.

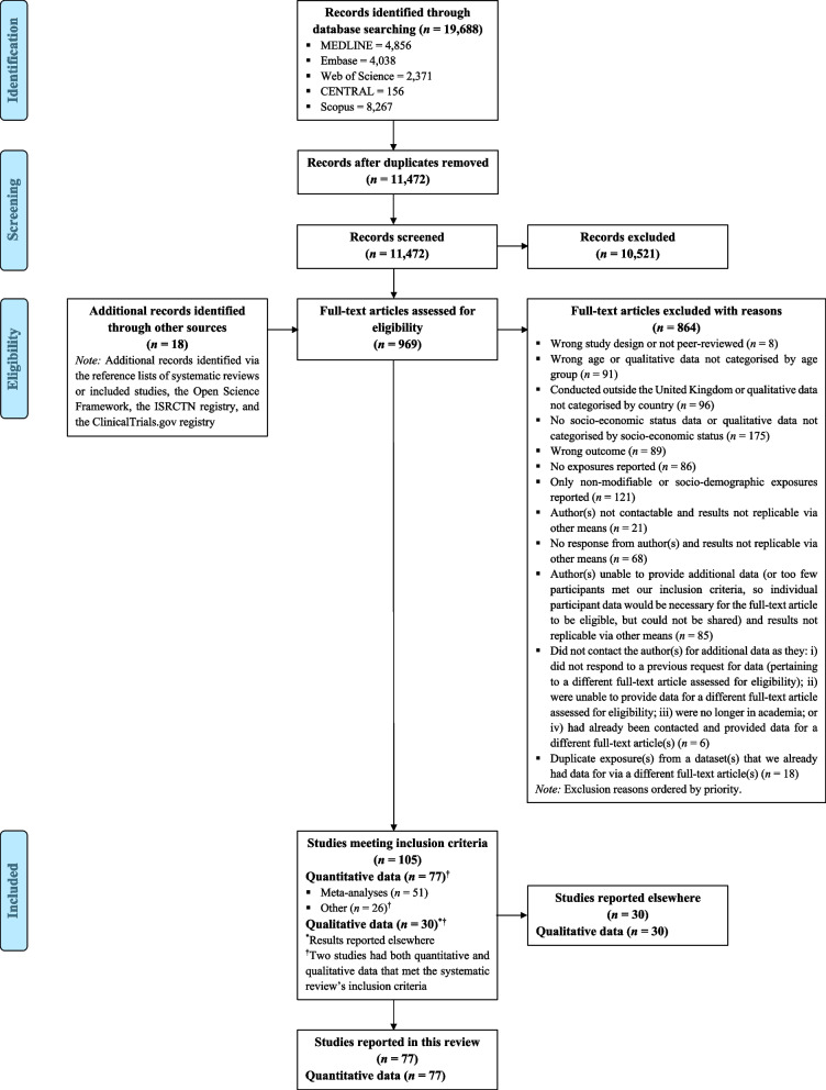
Methods: In this systematic review and meta-analysis, we searched MEDLINE, Embase, Web of Science, Cochrane Central Register of Controlled Trials (CENTRAL), and Scopus from inception to December 2023, for peer-reviewed studies published in English, investigating associations between a modifiable factor as an independent variable and physical activity as a dependent variable, by socio-economic status (defined according to various area- and individual-level indicators, including neighbourhood deprivation, wealth or income, education, and occupational class), in samples of community-dwelling older adults aged 60+ years in the United Kingdom. Hospitalised and institutionalised populations were excluded. Random effects meta-analyses were performed separately for people of lower and higher socio-economic status. Risk of bias was assessed with the Mixed Methods Appraisal Tool. This study was registered with the International prospective register of systematic reviews (PROSPERO; CRD42022351708).

Results: Searches identified 11,472 references; seventy-seven studies met the selection criteria, of which fifty-one contributed to meta-analyses (N range = 134-29,280). Of the exposures positively associated with physical activity, physical function, social participation, and perception of general health had the largest effect sizes (standardised mean difference [SMD] range = 0.53-0.81; I2 range = 54.81-91.00%). Estimates were comparable among older adults of lower and higher socio-economic status, except for the presence of built physical activity facilities, access to walking and cycling infrastructure, and less smoking, which were positively associated with physical activity only among individuals of lower socio-economic status.

Conclusions: Our results suggest researchers need to better understand discrepancies in the prevalence of the assessed correlates (e.g., fewer participants of lower socio-economic status reported good physical function) to inform policies that reduce inequalities in older adults' physical activity levels. However, most studies were cross-sectional. Future longitudinal and experimental research should gauge the suitability of these correlates as intervention targets.

Abstract Image

Abstract Image

Abstract Image

社会经济地位较低与较高的老年人身体活动的相关因素和决定因素:一项系统回顾和荟萃分析。
背景:了解影响老年人身体活动因素的社会经济差异对于制定综合干预措施至关重要。我们的目的是量化英国社会经济地位较低和较高的老年人身体活动的可改变相关因素和决定因素的关联。方法:在这一系统评价和荟萃分析中,我们检索了MEDLINE、Embase、Web of Science、Cochrane Central Register of Controlled Trials (Central)和Scopus,检索了从成立到2023年12月发表的同行评审的英文研究,调查了作为自变量的可修改因素和作为因变量的身体活动之间的关系,通过社会经济地位(根据各种区域和个人水平指标定义,包括邻里剥夺),财富或收入,教育程度和职业等级),在英国社区居住的60岁以上老年人样本中。住院和机构人口被排除在外。随机效应荟萃分析分别对社会经济地位较低和较高的人进行。使用混合方法评估工具评估偏倚风险。该研究已在国际前瞻性系统评价登记册(PROSPERO;CRD42022351708)。结果:检索确定了11,472个参考文献;77项研究符合选择标准,其中51项用于荟萃分析(N范围= 134-29,280)。在与身体活动、身体功能、社会参与和总体健康感知呈正相关的暴露中,效应量最大(标准化平均差[SMD]范围= 0.53-0.81;I2范围= 54.81-91.00%)。社会经济地位较低和较高的老年人之间的估计值具有可比性,除了存在已建成的体育活动设施、有步行和骑自行车的基础设施以及吸烟较少之外,这些估计值仅在社会经济地位较低的个体中与体育活动呈正相关。结论:我们的研究结果表明,研究人员需要更好地了解评估相关因素的患病率差异(例如,社会经济地位较低的参与者报告身体功能良好的人数较少),以便为减少老年人身体活动水平不平等的政策提供信息。然而,大多数研究都是横断面的。未来的纵向和实验研究应该衡量这些相关因素作为干预目标的适用性。
本文章由计算机程序翻译,如有差异,请以英文原文为准。
求助全文
约1分钟内获得全文 求助全文
来源期刊
CiteScore
13.80
自引率
3.40%
发文量
138
审稿时长
4-8 weeks
期刊介绍: International Journal of Behavioral Nutrition and Physical Activity (IJBNPA) is an open access, peer-reviewed journal offering high quality articles, rapid publication and wide diffusion in the public domain. IJBNPA is devoted to furthering the understanding of the behavioral aspects of diet and physical activity and is unique in its inclusion of multiple levels of analysis, including populations, groups and individuals and its inclusion of epidemiology, and behavioral, theoretical and measurement research areas.
×
引用
GB/T 7714-2015
复制
MLA
复制
APA
复制
导出至
BibTeX EndNote RefMan NoteFirst NoteExpress
×
提示
您的信息不完整,为了账户安全,请先补充。
现在去补充
×
提示
您因"违规操作"
具体请查看互助需知
我知道了
×
提示
确定
请完成安全验证×
copy
已复制链接
快去分享给好友吧!
我知道了
右上角分享
点击右上角分享
0
联系我们:info@booksci.cn Book学术提供免费学术资源搜索服务,方便国内外学者检索中英文文献。致力于提供最便捷和优质的服务体验。 Copyright © 2023 布克学术 All rights reserved.
京ICP备2023020795号-1
ghs 京公网安备 11010802042870号
Book学术文献互助
Book学术文献互助群
群 号:604180095
Book学术官方微信