Temporal evolution of Sow herd age structure and its impact on the performance of Spanish commercial farms.

IF 3.1 2区 农林科学 Q1 VETERINARY SCIENCES
S Sanz-Fernández, C Díaz-Gaona, J Simões, J C Casas-Rosal, N Alòs, L Tusell, R Quintanilla, Vicente Rodríguez-Estévez
{"title":"Temporal evolution of Sow herd age structure and its impact on the performance of Spanish commercial farms.","authors":"S Sanz-Fernández, C Díaz-Gaona, J Simões, J C Casas-Rosal, N Alòs, L Tusell, R Quintanilla, Vicente Rodríguez-Estévez","doi":"10.1186/s40813-025-00451-8","DOIUrl":null,"url":null,"abstract":"<p><strong>Background: </strong>Efficient herd management is crucial for maintaining constant pig production. This study analysed the evolution of census structure over time and how productive performance variables related to farm efficiency are affected and evolved, using data from 427 Spanish commercial pig farms over three years (2020-2022). Farms were classified into three types of herd age structures based on the first coefficient of a quadratic function representing sow parity distribution. A longitudinal analysis was performed to evaluate changes in herd age structure and productivity over time, applying repeated measures ANOVA.</p><p><strong>Results: </strong>The herd age structure types in 2020 were: HS1 (with a downward-concave trend), HS2 (with a trend close to a straight line), and HS3 (with an upward-concave trend). HS1 farms had the highest productivity over time, maintaining superior performance compared to HS2 and HS3 (p < 0.01), with 31.4 piglets weaned per sow per year in 2021 and 30.9 in 2022. However, HS1 farms showed moderate consistency in herd parity structure over time, with 48.6% remaining in the same group in 2021 and 43% in 2022. HS2 farms showed the greatest herd parity structure stability over time, with 60.1% and 54.5% of farms remaining in this group in 2021 and 2022, respectively. HS3 farms were the least stable, with only 29% retaining their classification by 2022, and had the lowest productivity.</p><p><strong>Conclusions: </strong>Classifying farms by herd age structure provides valuable insights into how parity distribution influences farm productivity over time and how herd parity structure evolves. HS1 farms achieved the best productivity over the study but require specific management practices to maintain their stability. HS2 remained with the most stable herd structure over time, with intermediate productivity, while HS3 farms showed the worst stability and performance. Thus, HS1 is recommended as the optimal herd age structure for maximizing productivity in the short and medium term. Further research should focus on identifying specific management factors to optimize productivity and ensure long-term herd structure stability of HS1.</p>","PeriodicalId":20352,"journal":{"name":"Porcine Health Management","volume":"11 1","pages":"35"},"PeriodicalIF":3.1000,"publicationDate":"2025-06-19","publicationTypes":"Journal Article","fieldsOfStudy":null,"isOpenAccess":false,"openAccessPdf":"https://www.ncbi.nlm.nih.gov/pmc/articles/PMC12180210/pdf/","citationCount":"0","resultStr":null,"platform":"Semanticscholar","paperid":null,"PeriodicalName":"Porcine Health Management","FirstCategoryId":"97","ListUrlMain":"https://doi.org/10.1186/s40813-025-00451-8","RegionNum":2,"RegionCategory":"农林科学","ArticlePicture":[],"TitleCN":null,"AbstractTextCN":null,"PMCID":null,"EPubDate":"","PubModel":"","JCR":"Q1","JCRName":"VETERINARY SCIENCES","Score":null,"Total":0}
引用次数: 0

Abstract

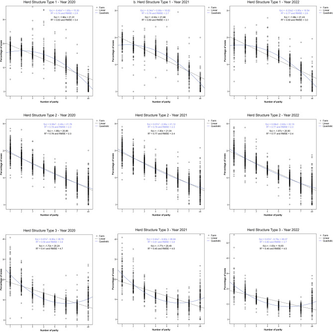
Background: Efficient herd management is crucial for maintaining constant pig production. This study analysed the evolution of census structure over time and how productive performance variables related to farm efficiency are affected and evolved, using data from 427 Spanish commercial pig farms over three years (2020-2022). Farms were classified into three types of herd age structures based on the first coefficient of a quadratic function representing sow parity distribution. A longitudinal analysis was performed to evaluate changes in herd age structure and productivity over time, applying repeated measures ANOVA.

Results: The herd age structure types in 2020 were: HS1 (with a downward-concave trend), HS2 (with a trend close to a straight line), and HS3 (with an upward-concave trend). HS1 farms had the highest productivity over time, maintaining superior performance compared to HS2 and HS3 (p < 0.01), with 31.4 piglets weaned per sow per year in 2021 and 30.9 in 2022. However, HS1 farms showed moderate consistency in herd parity structure over time, with 48.6% remaining in the same group in 2021 and 43% in 2022. HS2 farms showed the greatest herd parity structure stability over time, with 60.1% and 54.5% of farms remaining in this group in 2021 and 2022, respectively. HS3 farms were the least stable, with only 29% retaining their classification by 2022, and had the lowest productivity.

Conclusions: Classifying farms by herd age structure provides valuable insights into how parity distribution influences farm productivity over time and how herd parity structure evolves. HS1 farms achieved the best productivity over the study but require specific management practices to maintain their stability. HS2 remained with the most stable herd structure over time, with intermediate productivity, while HS3 farms showed the worst stability and performance. Thus, HS1 is recommended as the optimal herd age structure for maximizing productivity in the short and medium term. Further research should focus on identifying specific management factors to optimize productivity and ensure long-term herd structure stability of HS1.

Abstract Image

Abstract Image

Abstract Image

西班牙商品农场母猪群年龄结构的时间演变及其对生产性能的影响。
背景:高效的猪群管理对于维持稳定的生猪产量至关重要。本研究分析了人口普查结构随时间的演变,以及与农场效率相关的生产绩效变量是如何受到影响和演变的,使用了三年(2020-2022年)期间427个西班牙商业养猪场的数据。根据代表母猪胎次分布的二次函数的第一系数,将猪场划分为三种猪群年龄结构。采用重复测量方差分析进行了纵向分析,以评估畜群年龄结构和生产力随时间的变化。结果:2020年牧群年龄结构类型为:HS1(呈下凹趋势)、HS2(呈接近直线趋势)、HS3(呈上凹趋势)。随着时间的推移,HS1农场的生产力最高,与HS2和HS3相比,保持了优越的表现(p)结论:按畜群年龄结构对农场进行分类,为了解胎次分布如何随时间影响农场生产力以及畜群胎次结构如何演变提供了有价值的见解。HS1农场在研究中取得了最好的生产力,但需要特定的管理实践来保持其稳定性。随着时间的推移,HS2保持最稳定的畜群结构,具有中等的生产力,而HS3的稳定性和性能最差。因此,推荐HS1为中短期生产效率最大化的最优猪龄结构。进一步的研究应侧重于确定具体的管理因素,以优化HS1的生产力,并确保其长期稳定的畜群结构。
本文章由计算机程序翻译,如有差异,请以英文原文为准。
求助全文
约1分钟内获得全文 求助全文
来源期刊
Porcine Health Management
Porcine Health Management Veterinary-Food Animals
CiteScore
5.40
自引率
5.90%
发文量
49
审稿时长
14 weeks
期刊介绍: Porcine Health Management (PHM) is an open access peer-reviewed journal that aims to publish relevant, novel and revised information regarding all aspects of swine health medicine and production.
×
引用
GB/T 7714-2015
复制
MLA
复制
APA
复制
导出至
BibTeX EndNote RefMan NoteFirst NoteExpress
×
提示
您的信息不完整,为了账户安全,请先补充。
现在去补充
×
提示
您因"违规操作"
具体请查看互助需知
我知道了
×
提示
确定
请完成安全验证×
copy
已复制链接
快去分享给好友吧!
我知道了
右上角分享
点击右上角分享
0
联系我们:info@booksci.cn Book学术提供免费学术资源搜索服务,方便国内外学者检索中英文文献。致力于提供最便捷和优质的服务体验。 Copyright © 2023 布克学术 All rights reserved.
京ICP备2023020795号-1
ghs 京公网安备 11010802042870号
Book学术文献互助
Book学术文献互助群
群 号:604180095
Book学术官方微信