Sex-Specific Differences in Management and Outcomes of Cardiogenic Shock Patients With and Without Ischemic Cardiomyopathy.

IF 3.1 3区 医学 Q2 CARDIAC & CARDIOVASCULAR SYSTEMS
Korean Circulation Journal Pub Date : 2025-09-01 Epub Date: 2025-05-28 DOI:10.4070/kcj.2024.0440
Ik Hyun Park, Chang Hoon Kim, Woo Jin Jang, Ju-Hyeon Oh, Wang Soo Lee, Jeong Hoon Yang, Hyeon-Cheol Gwon
{"title":"Sex-Specific Differences in Management and Outcomes of Cardiogenic Shock Patients With and Without Ischemic Cardiomyopathy.","authors":"Ik Hyun Park, Chang Hoon Kim, Woo Jin Jang, Ju-Hyeon Oh, Wang Soo Lee, Jeong Hoon Yang, Hyeon-Cheol Gwon","doi":"10.4070/kcj.2024.0440","DOIUrl":null,"url":null,"abstract":"<p><strong>Background and objectives: </strong>Comprehensive data on sex-based differences in the management and outcomes of patients with and without ischemic cardiomyopathy (ICMP) presenting with cardiogenic shock (CS) remain limited. This study aimed to investigate whether clinical management and outcomes differ by sex among CS patients, stratified by underlying etiology.</p><p><strong>Methods: </strong>We analyzed 1,247 CS patients from the RESCUE registry, a multicenter observational cohort, stratified by sex and CS etiology: ICMP (females: 276, males: 730) and non-ICMP (females: 111, males: 130). Primary outcomes included in-hospital and 12-month mortality. Multivariable Cox proportional hazards models and propensity-score matching were used to adjust for confounding factors.</p><p><strong>Results: </strong>Among ICMP patients, females were less likely to undergo coronary angiography (p=0.001), although rates of successful revascularization were similar between sexes (p=0.982). In-hospital 30-day mortality did not differ significantly between females and males in either the ICMP cohort (37.1% vs. 29.5%; adjusted hazard ratio [HR], 0.93; 95% confidence interval [CI], 0.63-1.39; p=0.737) or the non-ICMP cohort (28.3% vs. 25.6%; adjusted HR, 1.23; 95% CI, 0.68-2.22; p=0.493). At 12 months, mortality risk remained comparable between sexes in both ICMP (46.4% vs. 37.1%; adjusted HR, 0.82; 95% CI, 0.57-1.17; p=0.274) and non-ICMP groups (40.1% vs. 41.3%; adjusted HR, 0.91; 95% CI, 0.56-1.45; p=0.685). These findings were consistent after propensity-score matching.</p><p><strong>Conclusions: </strong>There was no significant difference in management, 12-month or in-hospital mortality between females and males, irrespective of the etiology of CS.</p><p><strong>Trial registration: </strong>ClinicalTrials.gov Identifier: NCT02985008.</p>","PeriodicalId":17850,"journal":{"name":"Korean Circulation Journal","volume":" ","pages":"795-809"},"PeriodicalIF":3.1000,"publicationDate":"2025-09-01","publicationTypes":"Journal Article","fieldsOfStudy":null,"isOpenAccess":false,"openAccessPdf":"https://www.ncbi.nlm.nih.gov/pmc/articles/PMC12505331/pdf/","citationCount":"0","resultStr":null,"platform":"Semanticscholar","paperid":null,"PeriodicalName":"Korean Circulation Journal","FirstCategoryId":"3","ListUrlMain":"https://doi.org/10.4070/kcj.2024.0440","RegionNum":3,"RegionCategory":"医学","ArticlePicture":[],"TitleCN":null,"AbstractTextCN":null,"PMCID":null,"EPubDate":"2025/5/28 0:00:00","PubModel":"Epub","JCR":"Q2","JCRName":"CARDIAC & CARDIOVASCULAR SYSTEMS","Score":null,"Total":0}
引用次数: 0

Abstract

Background and objectives: Comprehensive data on sex-based differences in the management and outcomes of patients with and without ischemic cardiomyopathy (ICMP) presenting with cardiogenic shock (CS) remain limited. This study aimed to investigate whether clinical management and outcomes differ by sex among CS patients, stratified by underlying etiology.

Methods: We analyzed 1,247 CS patients from the RESCUE registry, a multicenter observational cohort, stratified by sex and CS etiology: ICMP (females: 276, males: 730) and non-ICMP (females: 111, males: 130). Primary outcomes included in-hospital and 12-month mortality. Multivariable Cox proportional hazards models and propensity-score matching were used to adjust for confounding factors.

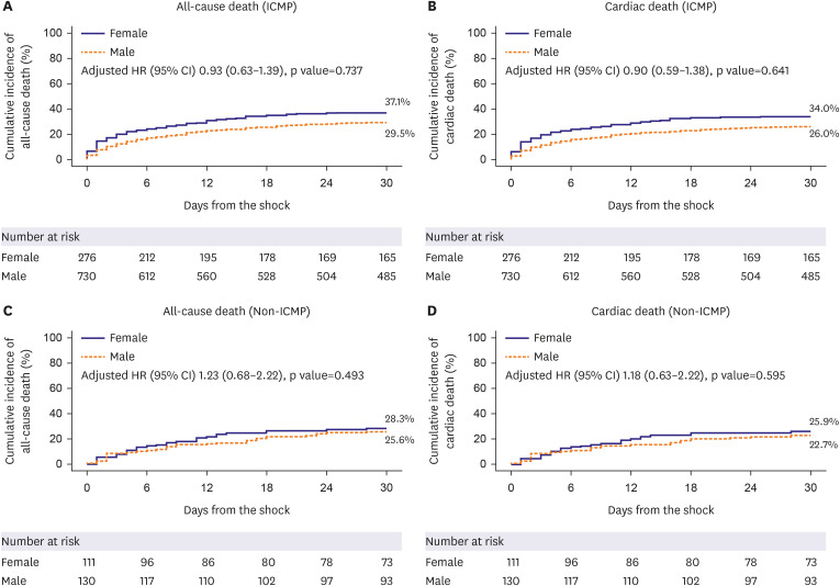
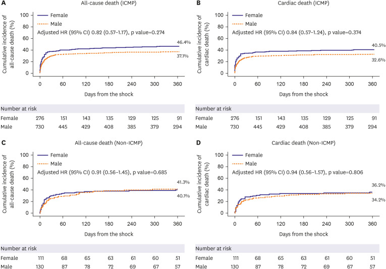
Results: Among ICMP patients, females were less likely to undergo coronary angiography (p=0.001), although rates of successful revascularization were similar between sexes (p=0.982). In-hospital 30-day mortality did not differ significantly between females and males in either the ICMP cohort (37.1% vs. 29.5%; adjusted hazard ratio [HR], 0.93; 95% confidence interval [CI], 0.63-1.39; p=0.737) or the non-ICMP cohort (28.3% vs. 25.6%; adjusted HR, 1.23; 95% CI, 0.68-2.22; p=0.493). At 12 months, mortality risk remained comparable between sexes in both ICMP (46.4% vs. 37.1%; adjusted HR, 0.82; 95% CI, 0.57-1.17; p=0.274) and non-ICMP groups (40.1% vs. 41.3%; adjusted HR, 0.91; 95% CI, 0.56-1.45; p=0.685). These findings were consistent after propensity-score matching.

Conclusions: There was no significant difference in management, 12-month or in-hospital mortality between females and males, irrespective of the etiology of CS.

Trial registration: ClinicalTrials.gov Identifier: NCT02985008.

Abstract Image

Abstract Image

Abstract Image

伴有和不伴有缺血性心肌病的心源性休克患者的治疗和结局的性别差异。
背景和目的:关于伴有心源性休克(CS)的缺血性心肌病(ICMP)和非缺血性心肌病(ICMP)患者在治疗和结局方面的性别差异的综合数据仍然有限。本研究旨在探讨CS患者的临床管理和结局是否因性别而异,并按潜在病因分层。方法:我们分析了来自RESCUE登记处的1247例CS患者,这是一个多中心观察队列,按性别和CS病因分层:ICMP(女性:276,男性:730)和非ICMP(女性:111,男性:130)。主要结局包括住院和12个月死亡率。采用多变量Cox比例风险模型和倾向评分匹配来调整混杂因素。结果:在ICMP患者中,女性较少接受冠状动脉造影(p=0.001),尽管成功的血运重建率在两性之间相似(p=0.982)。在ICMP队列中,住院30天死亡率在女性和男性之间没有显著差异(37.1% vs 29.5%;校正风险比[HR], 0.93;95%置信区间[CI], 0.63-1.39;p=0.737)或非icmp组(28.3% vs. 25.6%;调整后的HR为1.23;95% ci, 0.68-2.22;p = 0.493)。在12个月时,两种ICMP的死亡率风险在两性之间保持可比性(46.4% vs. 37.1%;调整后的HR为0.82;95% ci, 0.57-1.17;p=0.274)和非icmp组(40.1% vs. 41.3%;调整后的HR为0.91;95% ci, 0.56-1.45;p = 0.685)。这些发现在倾向得分匹配后是一致的。结论:无论CS的病因如何,女性和男性在治疗、12个月或住院死亡率方面均无显著差异。试验注册:ClinicalTrials.gov标识符:NCT02985008。
本文章由计算机程序翻译,如有差异,请以英文原文为准。
求助全文
约1分钟内获得全文 求助全文
来源期刊
Korean Circulation Journal
Korean Circulation Journal CARDIAC & CARDIOVASCULAR SYSTEMS-
CiteScore
4.90
自引率
17.20%
发文量
103
期刊介绍: Korean Circulation Journal is the official journal of the Korean Society of Cardiology, the Korean Pediatric Heart Society, the Korean Society of Interventional Cardiology, and the Korean Society of Heart Failure. Abbreviated title is ''Korean Circ J''. Korean Circulation Journal, established in 1971, is a professional, peer-reviewed journal covering all aspects of cardiovascular medicine, including original articles of basic research and clinical findings, review articles, editorials, images in cardiovascular medicine, and letters to the editor. Korean Circulation Journal is published monthly in English and publishes scientific and state-of-the-art clinical articles aimed at improving human health in general and contributing to the treatment and prevention of cardiovascular diseases in particular. The journal is published on the official website (https://e-kcj.org). It is indexed in PubMed, PubMed Central, Science Citation Index Expanded (SCIE, Web of Science), Scopus, EMBASE, Chemical Abstracts Service (CAS), Google Scholar, KoreaMed, KoreaMed Synapse and KoMCI, and easily available to wide international researchers
×
引用
GB/T 7714-2015
复制
MLA
复制
APA
复制
导出至
BibTeX EndNote RefMan NoteFirst NoteExpress
×
提示
您的信息不完整,为了账户安全,请先补充。
现在去补充
×
提示
您因"违规操作"
具体请查看互助需知
我知道了
×
提示
确定
请完成安全验证×
copy
已复制链接
快去分享给好友吧!
我知道了
右上角分享
点击右上角分享
0
联系我们:info@booksci.cn Book学术提供免费学术资源搜索服务,方便国内外学者检索中英文文献。致力于提供最便捷和优质的服务体验。 Copyright © 2023 布克学术 All rights reserved.
京ICP备2023020795号-1
ghs 京公网安备 11010802042870号
Book学术文献互助
Book学术文献互助群
群 号:604180095
Book学术官方微信