C3 glomerulopathy post kidney transplantation: A single center experience.

Jonathan Zuckerman, Phuong-Thu Pham, Meena Parakkal, Alexis F Velazquez, Mrinalini Sarkar, Michael A Pablos, Suphamai Bunnapradist, Erik L Lum
{"title":"C3 glomerulopathy post kidney transplantation: A single center experience.","authors":"Jonathan Zuckerman, Phuong-Thu Pham, Meena Parakkal, Alexis F Velazquez, Mrinalini Sarkar, Michael A Pablos, Suphamai Bunnapradist, Erik L Lum","doi":"10.5500/wjt.v15.i2.101517","DOIUrl":null,"url":null,"abstract":"<p><strong>Background: </strong>C3 glomerulopathies (C3G) are a rare cause of kidney failure resulting from complement dysregulation. Small studies demonstrate a high rate of recurrence and poor outcomes in kidney transplantation. Treatment efficacy in this setting with eculizumab, a terminal complement inhibitor, is largely unknown.</p><p><strong>Aim: </strong>To determine the outcomes of kidney transplantation in patients with C3G and the potential impact of eculizumab.</p><p><strong>Methods: </strong>We retrospectively studied kidney transplant recipients who underwent a post-transplant biopsy confirming C3G between January 1, 1993 and December 31, 2023 at a single center. Only the first episode of kidney transplant was reviewed. The electronic medical records were reviewed for post-transplant allograft function, indication for biopsy, time to biopsy from transplant, time to allograft failure from transplantation, post-C3G treatment, complement laboratory testing, and concurrent malignancy/infection. Reports, and when available slides and immunofluorescence/electron microscopic images, were re-reviewed by a renal pathologist.</p><p><strong>Results: </strong>A total of fifteen patients were included in this study. Fourteen patients had suspected recurrent disease, with a pre-transplant native kidney report of C3G. One patient developed <i>de novo</i> C3G. Median post kidney transplant clinical follow up time was 91 months. Median time to recurrence was 7 months with median graft survival of 48 months post kidney transplantation. The most common index biopsy pattern of injury was endocapillary proliferative glomerulonephritis (often with exudative features) with or without mesangial hypercellularity (56%) followed by membranoproliferative glomerulonephritis (25%). Most patients developed membranoproliferative glomerulonephritis pattern of injury on follow up biopsies (63%). Seven patients with recurrent disease received treatment with eculizumab with a median graft survival of 73 months, with five functioning grafts by the end of the study period. Seven patients with recurrent disease did not receive therapy, and all lost their graft with a median graft survival of 22 months (<i>P</i> = 0.003).</p><p><strong>Conclusion: </strong>C3G following kidney transplantation is mostly a recurrent disorder with a poor prognosis in untreated patients. Untreated recurrence has a poor prognosis with median allograft survival < 2 years. Early treatment with eculizumab may improve transplant outcomes in patients with recurrent C3G.</p>","PeriodicalId":65557,"journal":{"name":"世界移植杂志","volume":"15 2","pages":"101517"},"PeriodicalIF":0.0000,"publicationDate":"2025-06-18","publicationTypes":"Journal Article","fieldsOfStudy":null,"isOpenAccess":false,"openAccessPdf":"https://www.ncbi.nlm.nih.gov/pmc/articles/PMC11886292/pdf/","citationCount":"0","resultStr":null,"platform":"Semanticscholar","paperid":null,"PeriodicalName":"世界移植杂志","FirstCategoryId":"3","ListUrlMain":"https://doi.org/10.5500/wjt.v15.i2.101517","RegionNum":0,"RegionCategory":null,"ArticlePicture":[],"TitleCN":null,"AbstractTextCN":null,"PMCID":null,"EPubDate":"","PubModel":"","JCR":"","JCRName":"","Score":null,"Total":0}
引用次数: 0

Abstract

Background: C3 glomerulopathies (C3G) are a rare cause of kidney failure resulting from complement dysregulation. Small studies demonstrate a high rate of recurrence and poor outcomes in kidney transplantation. Treatment efficacy in this setting with eculizumab, a terminal complement inhibitor, is largely unknown.

Aim: To determine the outcomes of kidney transplantation in patients with C3G and the potential impact of eculizumab.

Methods: We retrospectively studied kidney transplant recipients who underwent a post-transplant biopsy confirming C3G between January 1, 1993 and December 31, 2023 at a single center. Only the first episode of kidney transplant was reviewed. The electronic medical records were reviewed for post-transplant allograft function, indication for biopsy, time to biopsy from transplant, time to allograft failure from transplantation, post-C3G treatment, complement laboratory testing, and concurrent malignancy/infection. Reports, and when available slides and immunofluorescence/electron microscopic images, were re-reviewed by a renal pathologist.

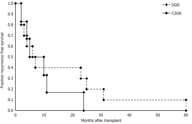
Results: A total of fifteen patients were included in this study. Fourteen patients had suspected recurrent disease, with a pre-transplant native kidney report of C3G. One patient developed de novo C3G. Median post kidney transplant clinical follow up time was 91 months. Median time to recurrence was 7 months with median graft survival of 48 months post kidney transplantation. The most common index biopsy pattern of injury was endocapillary proliferative glomerulonephritis (often with exudative features) with or without mesangial hypercellularity (56%) followed by membranoproliferative glomerulonephritis (25%). Most patients developed membranoproliferative glomerulonephritis pattern of injury on follow up biopsies (63%). Seven patients with recurrent disease received treatment with eculizumab with a median graft survival of 73 months, with five functioning grafts by the end of the study period. Seven patients with recurrent disease did not receive therapy, and all lost their graft with a median graft survival of 22 months (P = 0.003).

Conclusion: C3G following kidney transplantation is mostly a recurrent disorder with a poor prognosis in untreated patients. Untreated recurrence has a poor prognosis with median allograft survival < 2 years. Early treatment with eculizumab may improve transplant outcomes in patients with recurrent C3G.

Abstract Image

Abstract Image

Abstract Image

肾移植后的C3肾小球病变:单中心经验。
背景:C3肾小球病变(C3G)是一种罕见的由补体失调引起的肾衰竭。小型研究表明,肾移植的复发率高,预后差。在这种情况下,eculizumab(一种终末补体抑制剂)的治疗效果在很大程度上是未知的。目的:确定C3G患者肾移植的预后及eculizumab的潜在影响。方法:我们回顾性研究了1993年1月1日至2023年12月31日在单个中心接受移植后活检证实C3G的肾移植受者。仅回顾了肾移植的第一阶段。电子病历回顾了移植后同种异体移植物功能、活检指征、移植后活检时间、移植后同种异体移植物失败时间、c3g后治疗、补体实验室检测和并发恶性/感染。报告,当有玻片和免疫荧光/电镜图像时,由肾脏病理学家重新审查。结果:本研究共纳入15例患者。14例患者怀疑疾病复发,移植前原生肾C3G报告。一名患者出现了新的C3G。肾移植后临床随访时间中位数为91个月。中位复发时间为7个月,肾移植后中位移植存活期为48个月。最常见的损伤指数活检类型是毛细血管内增生性肾小球肾炎(常伴有渗出特征),伴或不伴系膜细胞增多(56%),其次是膜性增生性肾小球肾炎(25%)。大多数患者在随访活检中表现为膜增生性肾小球肾炎(63%)。7例复发性疾病患者接受了eculizumab治疗,移植物的中位生存期为73个月,研究结束时有5例移植物功能正常。7例复发患者没有接受治疗,所有患者都失去了移植物,中位生存期为22个月(P = 0.003)。结论:肾移植后C3G多为复发性疾病,未经治疗的患者预后较差。未经治疗的复发预后差,中位生存期< 2年。早期应用eculizumab治疗可改善复发性C3G患者的移植预后。
本文章由计算机程序翻译,如有差异,请以英文原文为准。
求助全文
约1分钟内获得全文 求助全文
来源期刊
CiteScore
3.50
自引率
0.00%
发文量
293
×
引用
GB/T 7714-2015
复制
MLA
复制
APA
复制
导出至
BibTeX EndNote RefMan NoteFirst NoteExpress
×
提示
您的信息不完整,为了账户安全,请先补充。
现在去补充
×
提示
您因"违规操作"
具体请查看互助需知
我知道了
×
提示
确定
请完成安全验证×
copy
已复制链接
快去分享给好友吧!
我知道了
右上角分享
点击右上角分享
0
联系我们:info@booksci.cn Book学术提供免费学术资源搜索服务,方便国内外学者检索中英文文献。致力于提供最便捷和优质的服务体验。 Copyright © 2023 布克学术 All rights reserved.
京ICP备2023020795号-1
ghs 京公网安备 11010802042870号
Book学术文献互助
Book学术文献互助群
群 号:604180095
Book学术官方微信