Prospective prediction of first onset of major depressive disorder in midlife using machine learning.

IF 3.5 2区 医学 Q1 PSYCHIATRY
Johannes Massell, Martin Preisig, Marcel Miché, Marie-Pierre F Strippoli, Giorgio Pistis, Roselind Lieb
{"title":"Prospective prediction of first onset of major depressive disorder in midlife using machine learning.","authors":"Johannes Massell, Martin Preisig, Marcel Miché, Marie-Pierre F Strippoli, Giorgio Pistis, Roselind Lieb","doi":"10.1007/s00127-025-02942-z","DOIUrl":null,"url":null,"abstract":"<p><strong>Purpose: </strong>In this paper we leverage machine learning (ML) models to prospectively predict the first onset of Major Depressive Disorder (MDD), one of the most common and disabling mental health conditions. While such prediction models hold potential for enabling early interventions, few studies have applied ML approaches to this task, and those that have are heterogeneous in nature. Moreover, the clinical utility of these predictive models remains largely unexamined.</p><p><strong>Methods: </strong>Data stemmed from CoLaus|PsyCoLaus, a population-based cohort study. In total, 1350 participants, age 35-66 years without lifetime MDD at baseline participated in the physical and psychiatric baseline and at least one psychiatric follow-up evaluation. Models based on logistic regression, elastic net, random forests, and XGBoost were trained using an extensive array of psychosocial, environmental, biological, and genetic predictors. Discriminative performance, calibration, clinical utility, and individual predictor contributions were assessed using nested cross-validation.</p><p><strong>Results: </strong>Discriminative performance was comparable between models (areas under the precision-recall curve between 0.36 and 0.38; areas under the receiver operating characteristic curve between 0.65 and 0.68). Decision curve analysis suggested clinical utility of logistic regression, elastic net, and random forests for threshold probabilities between 10% and 40%. Across all models, neuroticism, sex, and age were the most important predictors.</p><p><strong>Conclusions: </strong>Although the prediction models achieved discriminative performance levels above chance, further refinement is necessary. The addition of biological and genetic predictors did not elevate performance markedly. Additional research seems warranted given the limited number and heterogeneous nature of existing studies, the burden associated with MDD, and the potential to improve overall outcomes for people at risk for MDD.</p>","PeriodicalId":49510,"journal":{"name":"Social Psychiatry and Psychiatric Epidemiology","volume":" ","pages":"2387-2400"},"PeriodicalIF":3.5000,"publicationDate":"2025-10-01","publicationTypes":"Journal Article","fieldsOfStudy":null,"isOpenAccess":false,"openAccessPdf":"https://www.ncbi.nlm.nih.gov/pmc/articles/PMC12449384/pdf/","citationCount":"0","resultStr":null,"platform":"Semanticscholar","paperid":null,"PeriodicalName":"Social Psychiatry and Psychiatric Epidemiology","FirstCategoryId":"3","ListUrlMain":"https://doi.org/10.1007/s00127-025-02942-z","RegionNum":2,"RegionCategory":"医学","ArticlePicture":[],"TitleCN":null,"AbstractTextCN":null,"PMCID":null,"EPubDate":"2025/6/18 0:00:00","PubModel":"Epub","JCR":"Q1","JCRName":"PSYCHIATRY","Score":null,"Total":0}
引用次数: 0

Abstract

Purpose: In this paper we leverage machine learning (ML) models to prospectively predict the first onset of Major Depressive Disorder (MDD), one of the most common and disabling mental health conditions. While such prediction models hold potential for enabling early interventions, few studies have applied ML approaches to this task, and those that have are heterogeneous in nature. Moreover, the clinical utility of these predictive models remains largely unexamined.

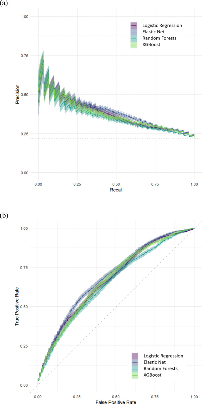
Methods: Data stemmed from CoLaus|PsyCoLaus, a population-based cohort study. In total, 1350 participants, age 35-66 years without lifetime MDD at baseline participated in the physical and psychiatric baseline and at least one psychiatric follow-up evaluation. Models based on logistic regression, elastic net, random forests, and XGBoost were trained using an extensive array of psychosocial, environmental, biological, and genetic predictors. Discriminative performance, calibration, clinical utility, and individual predictor contributions were assessed using nested cross-validation.

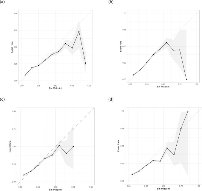
Results: Discriminative performance was comparable between models (areas under the precision-recall curve between 0.36 and 0.38; areas under the receiver operating characteristic curve between 0.65 and 0.68). Decision curve analysis suggested clinical utility of logistic regression, elastic net, and random forests for threshold probabilities between 10% and 40%. Across all models, neuroticism, sex, and age were the most important predictors.

Conclusions: Although the prediction models achieved discriminative performance levels above chance, further refinement is necessary. The addition of biological and genetic predictors did not elevate performance markedly. Additional research seems warranted given the limited number and heterogeneous nature of existing studies, the burden associated with MDD, and the potential to improve overall outcomes for people at risk for MDD.

Abstract Image

Abstract Image

Abstract Image

使用机器学习对中年首次发病的重度抑郁症进行前瞻性预测。
目的:在本文中,我们利用机器学习(ML)模型来前瞻性地预测重度抑郁症(MDD)的首次发作,这是最常见和致残的精神健康状况之一。虽然这样的预测模型具有实现早期干预的潜力,但很少有研究将机器学习方法应用于这项任务,而且那些研究本质上是异构的。此外,这些预测模型的临床应用在很大程度上仍未得到检验。方法:数据来源于CoLaus|PsyCoLaus,一项基于人群的队列研究。共有1350名参与者,年龄35-66岁,基线时无终生重度抑郁症,参加了生理和精神基线以及至少一次精神病学随访评估。基于逻辑回归、弹性网络、随机森林和XGBoost的模型使用广泛的社会心理、环境、生物和遗传预测因子进行训练。判别性能、校准、临床效用和个体预测因子的贡献采用嵌套交叉验证进行评估。结果:各模型的判别性能具有可比性(准确率-召回率曲线下面积在0.36 ~ 0.38之间;接收机工作特性曲线下面积在0.65 ~ 0.68之间)。决策曲线分析建议临床应用逻辑回归、弹性网和随机森林,阈值概率在10%到40%之间。在所有模型中,神经质、性别和年龄是最重要的预测因素。结论:虽然预测模型达到了高于概率的判别性能水平,但仍需进一步改进。添加生物学和遗传预测因子并没有显著提高生产性能。鉴于现有研究的数量有限和异质性,与重度抑郁症相关的负担,以及改善重度抑郁症风险人群总体预后的潜力,进一步的研究似乎是有必要的。
本文章由计算机程序翻译,如有差异,请以英文原文为准。
求助全文
约1分钟内获得全文 求助全文
来源期刊
CiteScore
8.50
自引率
2.30%
发文量
184
审稿时长
3-6 weeks
期刊介绍: Social Psychiatry and Psychiatric Epidemiology is intended to provide a medium for the prompt publication of scientific contributions concerned with all aspects of the epidemiology of psychiatric disorders - social, biological and genetic. In addition, the journal has a particular focus on the effects of social conditions upon behaviour and the relationship between psychiatric disorders and the social environment. Contributions may be of a clinical nature provided they relate to social issues, or they may deal with specialised investigations in the fields of social psychology, sociology, anthropology, epidemiology, health service research, health economies or public mental health. We will publish papers on cross-cultural and trans-cultural themes. We do not publish case studies or small case series. While we will publish studies of reliability and validity of new instruments of interest to our readership, we will not publish articles reporting on the performance of established instruments in translation. Both original work and review articles may be submitted.
×
引用
GB/T 7714-2015
复制
MLA
复制
APA
复制
导出至
BibTeX EndNote RefMan NoteFirst NoteExpress
×
提示
您的信息不完整,为了账户安全,请先补充。
现在去补充
×
提示
您因"违规操作"
具体请查看互助需知
我知道了
×
提示
确定
请完成安全验证×
copy
已复制链接
快去分享给好友吧!
我知道了
右上角分享
点击右上角分享
0
联系我们:info@booksci.cn Book学术提供免费学术资源搜索服务,方便国内外学者检索中英文文献。致力于提供最便捷和优质的服务体验。 Copyright © 2023 布克学术 All rights reserved.
京ICP备2023020795号-1
ghs 京公网安备 11010802042870号
Book学术文献互助
Book学术文献互助群
群 号:604180095
Book学术官方微信