Effects of Surya Namaskar yoga on perceived stress, anthropometric parameters, and physical fitness in overweight and obese female university students: A randomized controlled trial.

IF 1 Q4 REHABILITATION
Hong Kong Physiotherapy Journal Pub Date : 2025-06-01 Epub Date: 2024-04-27 DOI:10.1142/S1013702525500027
Boonsita Suwannakul, Noppharath Sangkarit, Ajchamon Thammachai, Weerasak Tapanya
{"title":"Effects of Surya Namaskar yoga on perceived stress, anthropometric parameters, and physical fitness in overweight and obese female university students: A randomized controlled trial.","authors":"Boonsita Suwannakul, Noppharath Sangkarit, Ajchamon Thammachai, Weerasak Tapanya","doi":"10.1142/S1013702525500027","DOIUrl":null,"url":null,"abstract":"<p><strong>Background: </strong>Stress and sedentary lifestyles negatively impact the physical fitness of overweight and obese female university students. Physical activity has been shown to promote psychological as well as physical wellness. However, the effects of Surya Namaskar (SN) yoga on stress and physical fitness remain unclear.</p><p><strong>Objective: </strong>This study aimed to compare the physical fitness, anthropometric measures, and perceived stress between the SN yoga training program group and the control group.</p><p><strong>Methods: </strong>In a randomized controlled study, 44 overweight and obese female university students participated. For 8 weeks, the exercise group received training in SN yoga, whereas the control group was not permitted to participate in any form of exercise. At baseline and after 8 weeks of training, all participants completed the Thai Perceived Stress Scale-10 (T-PSS-10), and assessed the body mass index (BMI), waist-hip ratio, body fat percentage, maximum oxygen consumption (VO<sub>2</sub>max), and muscle strength and flexibility. We used the dependent <i>t</i>-test or Wilcoxon sign rank test to examine the differences between the T-PSS-10 and physical fitness within each group. The statistical differences of all parameters between the two groups were compared using an independent <i>t</i>-test or a Mann-Whitney <i>U</i> test. A <i>p</i>- <math><mstyle><mtext>value</mtext></mstyle> <mo><</mo> <mn>0</mn> <mo>.</mo> <mn>05</mn></math> was considered statistically significant.</p><p><strong>Results: </strong>Compared to the baseline, the SN yoga group's post-training period had a significant increase ( <math><mi>p</mi> <mo><</mo> <mn>0</mn> <mo>.</mo> <mn>05</mn></math> ) in forward back flexibility, hand grip strength, leg strength, and VO<sub>2</sub>max, while a significant decrease ( <math><mi>p</mi> <mo><</mo> <mn>0</mn> <mo>.</mo> <mn>05</mn></math> ) in T-PSS-10 scores and BMI. In addition, we found a significant difference between the both groups in forward back flexibility and T-PSS-10 scores in the post-training period ( <math><mi>p</mi> <mo>=</mo> <mn>0</mn> <mo>.</mo> <mn>015</mn></math> and <math><mi>p</mi> <mo>=</mo> <mn>0</mn> <mo>.</mo> <mn>009</mn></math> , respectively).</p><p><strong>Conclusion: </strong>This study's findings demonstrated that SN yoga is a useful exercise for enhancing overweight and obese female university students' perceived stress scales and physical fitness.</p>","PeriodicalId":44774,"journal":{"name":"Hong Kong Physiotherapy Journal","volume":"45 1","pages":"23-33"},"PeriodicalIF":1.0000,"publicationDate":"2025-06-01","publicationTypes":"Journal Article","fieldsOfStudy":null,"isOpenAccess":false,"openAccessPdf":"https://www.ncbi.nlm.nih.gov/pmc/articles/PMC12171770/pdf/","citationCount":"0","resultStr":null,"platform":"Semanticscholar","paperid":null,"PeriodicalName":"Hong Kong Physiotherapy Journal","FirstCategoryId":"1085","ListUrlMain":"https://doi.org/10.1142/S1013702525500027","RegionNum":0,"RegionCategory":null,"ArticlePicture":[],"TitleCN":null,"AbstractTextCN":null,"PMCID":null,"EPubDate":"2024/4/27 0:00:00","PubModel":"Epub","JCR":"Q4","JCRName":"REHABILITATION","Score":null,"Total":0}
引用次数: 0

Abstract

Background: Stress and sedentary lifestyles negatively impact the physical fitness of overweight and obese female university students. Physical activity has been shown to promote psychological as well as physical wellness. However, the effects of Surya Namaskar (SN) yoga on stress and physical fitness remain unclear.

Objective: This study aimed to compare the physical fitness, anthropometric measures, and perceived stress between the SN yoga training program group and the control group.

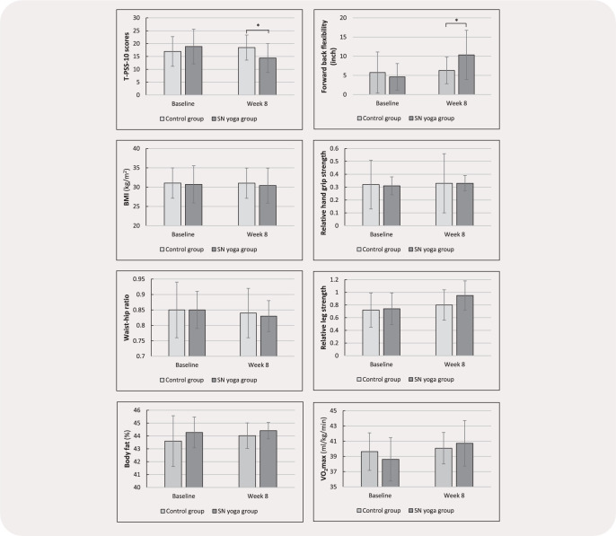
Methods: In a randomized controlled study, 44 overweight and obese female university students participated. For 8 weeks, the exercise group received training in SN yoga, whereas the control group was not permitted to participate in any form of exercise. At baseline and after 8 weeks of training, all participants completed the Thai Perceived Stress Scale-10 (T-PSS-10), and assessed the body mass index (BMI), waist-hip ratio, body fat percentage, maximum oxygen consumption (VO2max), and muscle strength and flexibility. We used the dependent t-test or Wilcoxon sign rank test to examine the differences between the T-PSS-10 and physical fitness within each group. The statistical differences of all parameters between the two groups were compared using an independent t-test or a Mann-Whitney U test. A p- value < 0 . 05 was considered statistically significant.

Results: Compared to the baseline, the SN yoga group's post-training period had a significant increase ( p < 0 . 05 ) in forward back flexibility, hand grip strength, leg strength, and VO2max, while a significant decrease ( p < 0 . 05 ) in T-PSS-10 scores and BMI. In addition, we found a significant difference between the both groups in forward back flexibility and T-PSS-10 scores in the post-training period ( p = 0 . 015 and p = 0 . 009 , respectively).

Conclusion: This study's findings demonstrated that SN yoga is a useful exercise for enhancing overweight and obese female university students' perceived stress scales and physical fitness.

Abstract Image

Abstract Image

Abstract Image

Surya Namaskar瑜伽对超重和肥胖女大学生感知压力、人体测量参数和体质的影响:一项随机对照试验。
背景:压力和久坐不动的生活方式对超重和肥胖女大学生的身体健康产生负面影响。体育活动已被证明既能促进心理健康,也能促进身体健康。然而,瑜伽对压力和身体健康的影响尚不清楚。目的:本研究旨在比较SN瑜伽训练组和对照组的体质、人体测量和感知压力。方法:采用随机对照法对44名超重、肥胖女大学生进行研究。在8周的时间里,运动组接受SN瑜伽的训练,而对照组不允许参加任何形式的运动。在基线和训练8周后,所有参与者完成了泰国感知压力量表-10 (T-PSS-10),并评估了体重指数(BMI)、腰臀比、体脂率、最大耗氧量(VO2max)、肌肉力量和柔韧性。我们使用依存t检验或Wilcoxon符号秩检验来检验各组T-PSS-10与身体素质之间的差异。采用独立t检验或Mann-Whitney U检验比较两组间各参数的统计学差异。p值为0。0.05认为有统计学意义。结果:与基线相比,SN瑜伽组训练后的时间显著增加(p < 0.05)。在前后柔韧性、手部握力、腿部力量、VO2max等方面均显著降低(p < 0.05)。T-PSS-10评分和BMI差异0.05)。此外,我们发现两组在训练后的前后柔韧性和T-PSS-10得分上存在显著差异(p = 0。p = 0。009)。结论:本研究结果表明,SN瑜伽对提高超重和肥胖女大学生的感知压力量表和体质素质是有益的。
本文章由计算机程序翻译,如有差异,请以英文原文为准。
求助全文
约1分钟内获得全文 求助全文
来源期刊
CiteScore
2.30
自引率
6.70%
发文量
13
审稿时长
24 weeks
期刊介绍: The Hong Kong Physiotherapy Journal is the official journal of the Hong Kong Physiotherapy Association Limited (HKPA Ltd). This peer-reviewed journal aims to contribute to and document the advancements in the principles and practice of physiotherapy in Hong Kong.The Hong Kong Physiotherapy Journal is published annually and papers are categorized into research reports, treatment reports, technical reports, literature reviews, and letters to the editor.
×
引用
GB/T 7714-2015
复制
MLA
复制
APA
复制
导出至
BibTeX EndNote RefMan NoteFirst NoteExpress
×
提示
您的信息不完整,为了账户安全,请先补充。
现在去补充
×
提示
您因"违规操作"
具体请查看互助需知
我知道了
×
提示
确定
请完成安全验证×
copy
已复制链接
快去分享给好友吧!
我知道了
右上角分享
点击右上角分享
0
联系我们:info@booksci.cn Book学术提供免费学术资源搜索服务,方便国内外学者检索中英文文献。致力于提供最便捷和优质的服务体验。 Copyright © 2023 布克学术 All rights reserved.
京ICP备2023020795号-1
ghs 京公网安备 11010802042870号
Book学术文献互助
Book学术文献互助群
群 号:604180095
Book学术官方微信