Density of ectopic fat depots predict distinct biomarkers of glycemic and insulinemic status in persons with HIV.

IF 5.2 2区 医学 Q1 ENDOCRINOLOGY & METABOLISM
Seungweon Park, Annaliese Widmer, Alison Z Swartz, John R Koethe, Heidi J Silver
{"title":"Density of ectopic fat depots predict distinct biomarkers of glycemic and insulinemic status in persons with HIV.","authors":"Seungweon Park, Annaliese Widmer, Alison Z Swartz, John R Koethe, Heidi J Silver","doi":"10.1038/s41387-025-00381-y","DOIUrl":null,"url":null,"abstract":"<p><strong>Background: </strong>HIV and obesity are conditions of impaired lipid storage where ectopic lipid accumulates in organs and tissues, promoting glucose intolerance and insulin resistance. Persons with HIV (PWH) are at high risk for diabetes, and one indicator of risk is the density of organs and tissues involved in glucose metabolism, which reflects ectopic lipid content and can be quantified using CT-tissue attenuation. We investigated relationships between subcutaneous adipose (SAT), visceral adipose (VAT), liver, pancreas, and skeletal muscle densities with biomarkers of glycemic/insulinemic status.</p><p><strong>Methods: </strong>Demographic, anthropometric, and clinical data were utilized with automated segmentation of CT morphometric data from images acquired at the 3rd lumbar vertebra level in PWH who had normoglycemia, prediabetes, and T2DM.</p><p><strong>Results: </strong>Of 217 PWH, 29.0% had prediabetes and 30.4% had T2DM. Liver, pancreas, and skeletal muscle densities were lower, and SAT density was higher, in PWH with T2DM. No differences were observed for VAT density. Receiver operating curves adjusted for age, sex and BMI showed tissue densities had similar ability to discriminate glycemic/insulinemic status. Adjusted multivariable logistic regression showed higher SAT density associated with higher glucose (p = 0.002), HbA1c (p < 0.001), and diabetes status (p < 0.001). Lower liver density is associated with diabetes status (p = 0.007) and higher HbA1c (p = 0.03), whereas lower skeletal muscle density is associated with higher glucose (p = 0.03) and insulin (p = 0.04).</p><p><strong>Conclusions: </strong>Tissue densities, which differed significantly among the three groups, were robustly associated with various biomarkers of glycemic/insulinemic status. CT-morphometrics may enhance the detection of metabolic perturbations and diabetes risk, possibly earlier than some clinical biomarkers.</p>","PeriodicalId":19339,"journal":{"name":"Nutrition & Diabetes","volume":"15 1","pages":"28"},"PeriodicalIF":5.2000,"publicationDate":"2025-06-18","publicationTypes":"Journal Article","fieldsOfStudy":null,"isOpenAccess":false,"openAccessPdf":"https://www.ncbi.nlm.nih.gov/pmc/articles/PMC12177074/pdf/","citationCount":"0","resultStr":null,"platform":"Semanticscholar","paperid":null,"PeriodicalName":"Nutrition & Diabetes","FirstCategoryId":"3","ListUrlMain":"https://doi.org/10.1038/s41387-025-00381-y","RegionNum":2,"RegionCategory":"医学","ArticlePicture":[],"TitleCN":null,"AbstractTextCN":null,"PMCID":null,"EPubDate":"","PubModel":"","JCR":"Q1","JCRName":"ENDOCRINOLOGY & METABOLISM","Score":null,"Total":0}
引用次数: 0

Abstract

Background: HIV and obesity are conditions of impaired lipid storage where ectopic lipid accumulates in organs and tissues, promoting glucose intolerance and insulin resistance. Persons with HIV (PWH) are at high risk for diabetes, and one indicator of risk is the density of organs and tissues involved in glucose metabolism, which reflects ectopic lipid content and can be quantified using CT-tissue attenuation. We investigated relationships between subcutaneous adipose (SAT), visceral adipose (VAT), liver, pancreas, and skeletal muscle densities with biomarkers of glycemic/insulinemic status.

Methods: Demographic, anthropometric, and clinical data were utilized with automated segmentation of CT morphometric data from images acquired at the 3rd lumbar vertebra level in PWH who had normoglycemia, prediabetes, and T2DM.

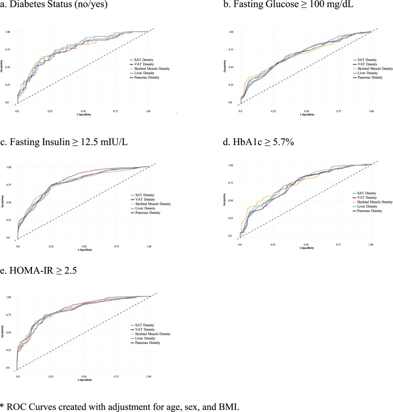
Results: Of 217 PWH, 29.0% had prediabetes and 30.4% had T2DM. Liver, pancreas, and skeletal muscle densities were lower, and SAT density was higher, in PWH with T2DM. No differences were observed for VAT density. Receiver operating curves adjusted for age, sex and BMI showed tissue densities had similar ability to discriminate glycemic/insulinemic status. Adjusted multivariable logistic regression showed higher SAT density associated with higher glucose (p = 0.002), HbA1c (p < 0.001), and diabetes status (p < 0.001). Lower liver density is associated with diabetes status (p = 0.007) and higher HbA1c (p = 0.03), whereas lower skeletal muscle density is associated with higher glucose (p = 0.03) and insulin (p = 0.04).

Conclusions: Tissue densities, which differed significantly among the three groups, were robustly associated with various biomarkers of glycemic/insulinemic status. CT-morphometrics may enhance the detection of metabolic perturbations and diabetes risk, possibly earlier than some clinical biomarkers.

Abstract Image

Abstract Image

异位脂肪库的密度预测HIV感染者血糖和胰岛素状态的不同生物标志物。
背景:HIV和肥胖是脂质储存受损的情况,其中异位脂质在器官和组织中积累,促进葡萄糖耐受不良和胰岛素抵抗。HIV感染者(PWH)是糖尿病的高危人群,其风险指标之一是参与糖代谢的器官和组织的密度,这反映了异位脂质含量,可以通过ct组织衰减来量化。我们研究了皮下脂肪(SAT)、内脏脂肪(VAT)、肝脏、胰腺和骨骼肌密度与血糖/胰岛素状态生物标志物之间的关系。方法:利用人口统计学、人体测量学和临床数据,对血糖正常、糖尿病前期和T2DM的PWH患者在第3腰椎节段获得的图像进行CT形态测量数据的自动分割。结果:217名PWH患者中,29.0%患有糖尿病前期,30.4%患有2型糖尿病。PWH合并T2DM患者的肝脏、胰腺和骨骼肌密度较低,SAT密度较高。在VAT密度上没有观察到差异。根据年龄、性别和BMI调整的受试者操作曲线显示,组织密度对区分血糖/胰岛素状态具有相似的能力。调整后的多变量logistic回归显示,较高的SAT密度与较高的血糖(p = 0.002)、HbA1c (p)相关。结论:三组患者的组织密度与血糖/胰岛素状态的各种生物标志物显著相关。ct形态计量学可以提高代谢紊乱和糖尿病风险的检测,可能比一些临床生物标志物更早。
本文章由计算机程序翻译,如有差异,请以英文原文为准。
求助全文
约1分钟内获得全文 求助全文
来源期刊
Nutrition & Diabetes
Nutrition & Diabetes ENDOCRINOLOGY & METABOLISM-NUTRITION & DIETETICS
CiteScore
9.20
自引率
0.00%
发文量
50
审稿时长
>12 weeks
期刊介绍: Nutrition & Diabetes is a peer-reviewed, online, open access journal bringing to the fore outstanding research in the areas of nutrition and chronic disease, including diabetes, from the molecular to the population level.
×
引用
GB/T 7714-2015
复制
MLA
复制
APA
复制
导出至
BibTeX EndNote RefMan NoteFirst NoteExpress
×
提示
您的信息不完整,为了账户安全,请先补充。
现在去补充
×
提示
您因"违规操作"
具体请查看互助需知
我知道了
×
提示
确定
请完成安全验证×
copy
已复制链接
快去分享给好友吧!
我知道了
右上角分享
点击右上角分享
0
联系我们:info@booksci.cn Book学术提供免费学术资源搜索服务,方便国内外学者检索中英文文献。致力于提供最便捷和优质的服务体验。 Copyright © 2023 布克学术 All rights reserved.
京ICP备2023020795号-1
ghs 京公网安备 11010802042870号
Book学术文献互助
Book学术文献互助群
群 号:604180095
Book学术官方微信