Metagenomic Insights into Candidatus Scalindua in a Long-term Cultivated Marine Anammox Consortium: The Important Role of Tetrahydrofolate-mediated Carbon Fixation.

IF 2 4区 环境科学与生态学 Q3 BIOTECHNOLOGY & APPLIED MICROBIOLOGY
Thelwadanage Nadisha Tharangani Kumari Nawarathna, Naoki Fujii, Kohei Yamamoto, Kyohei Kuroda, Takashi Narihiro, Noriatsu Ozaki, Akiyoshi Ohashi, Tomonori Kindaichi
{"title":"Metagenomic Insights into Candidatus Scalindua in a Long-term Cultivated Marine Anammox Consortium: The Important Role of Tetrahydrofolate-mediated Carbon Fixation.","authors":"Thelwadanage Nadisha Tharangani Kumari Nawarathna, Naoki Fujii, Kohei Yamamoto, Kyohei Kuroda, Takashi Narihiro, Noriatsu Ozaki, Akiyoshi Ohashi, Tomonori Kindaichi","doi":"10.1264/jsme2.ME25007","DOIUrl":null,"url":null,"abstract":"<p><p>Marine anammox bacteria have been an exciting research area in recent years due to their high effectiveness in treating ammonia-containing saline wastewater. However, their direct implementation in the wastewater industry faces challenges due to slow growth, difficulty obtaining pure cultures, and their tendency to exist as part of an anammox consortium, interacting symbiotically with other bacteria. In the present study, 91 draft genome metagenome-assembled genomes (MAGs) from a long-term-operated reactor were recovered to clarify detailed symbiotic interactions within an anammox consortium. One marine anammox bacterial MAG, identified as Candidatus Scalindua, was successfully recovered and was abundant within the sampled microbial community. A comprehensive metabolic pathway ana-lysis revealed that Ca. Scalindua exhibited the complete anammox pathway and the Wood-Ljungdahl pathway for carbon fixation. The folate biosynthesis pathway in Ca. Scalindua was incomplete, lacking dihydrofolate reductase, a key enzyme for tetrahydrofolate (THF) production. The folate biopterin transporter, essential for transporting folate-related metabolites among coexisting bacteria, was identified exclusively in Ca. Scalindua. In addition, the impact of exogenously supplied THF on microbial activity and carbon uptake rates was investigated in batch experiments using <sup>14</sup>C-labeled bicarbonate. The results obtained revealed that 2‍ ‍mg L<sup>-1</sup> of exogenous THF resulted in a 43% increase in the carbon uptake rate, while anammox activity remained unaffected. The present results suggest that THF is a key intermediate for carbon fixation in Ca. Scalindua and may be essential for their growth.</p>","PeriodicalId":18482,"journal":{"name":"Microbes and Environments","volume":"40 2","pages":""},"PeriodicalIF":2.0000,"publicationDate":"2025-01-01","publicationTypes":"Journal Article","fieldsOfStudy":null,"isOpenAccess":false,"openAccessPdf":"https://www.ncbi.nlm.nih.gov/pmc/articles/PMC12213060/pdf/","citationCount":"0","resultStr":null,"platform":"Semanticscholar","paperid":null,"PeriodicalName":"Microbes and Environments","FirstCategoryId":"93","ListUrlMain":"https://doi.org/10.1264/jsme2.ME25007","RegionNum":4,"RegionCategory":"环境科学与生态学","ArticlePicture":[],"TitleCN":null,"AbstractTextCN":null,"PMCID":null,"EPubDate":"","PubModel":"","JCR":"Q3","JCRName":"BIOTECHNOLOGY & APPLIED MICROBIOLOGY","Score":null,"Total":0}
引用次数: 0

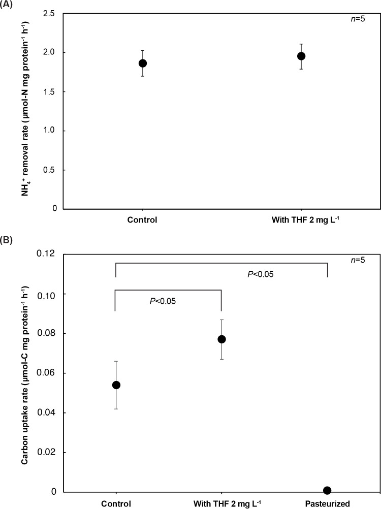
Abstract

Marine anammox bacteria have been an exciting research area in recent years due to their high effectiveness in treating ammonia-containing saline wastewater. However, their direct implementation in the wastewater industry faces challenges due to slow growth, difficulty obtaining pure cultures, and their tendency to exist as part of an anammox consortium, interacting symbiotically with other bacteria. In the present study, 91 draft genome metagenome-assembled genomes (MAGs) from a long-term-operated reactor were recovered to clarify detailed symbiotic interactions within an anammox consortium. One marine anammox bacterial MAG, identified as Candidatus Scalindua, was successfully recovered and was abundant within the sampled microbial community. A comprehensive metabolic pathway ana-lysis revealed that Ca. Scalindua exhibited the complete anammox pathway and the Wood-Ljungdahl pathway for carbon fixation. The folate biosynthesis pathway in Ca. Scalindua was incomplete, lacking dihydrofolate reductase, a key enzyme for tetrahydrofolate (THF) production. The folate biopterin transporter, essential for transporting folate-related metabolites among coexisting bacteria, was identified exclusively in Ca. Scalindua. In addition, the impact of exogenously supplied THF on microbial activity and carbon uptake rates was investigated in batch experiments using 14C-labeled bicarbonate. The results obtained revealed that 2‍ ‍mg L-1 of exogenous THF resulted in a 43% increase in the carbon uptake rate, while anammox activity remained unaffected. The present results suggest that THF is a key intermediate for carbon fixation in Ca. Scalindua and may be essential for their growth.

Abstract Image

Abstract Image

Abstract Image

长期培养的海洋厌氧氨氧化菌群中褐藻的宏基因组研究:四氢叶酸介导的碳固定的重要作用。
近年来,海洋厌氧氨氧化菌因其对含氨盐废水的高效处理而成为一个令人兴奋的研究领域。然而,它们在废水工业中的直接应用面临着挑战,因为它们生长缓慢,难以获得纯培养物,并且它们倾向于作为厌氧氨氧化菌联合体的一部分存在,与其他细菌共生。在本研究中,从一个长期运行的反应器中回收了91个基因组宏基因组组装基因组(MAGs)草案,以阐明厌氧氨氧化联合体中详细的共生相互作用。成功地回收了一种海洋厌氧氨氧化细菌MAG,鉴定为Candidatus Scalindua,并在样品微生物群落中大量存在。综合代谢途径分析表明,Scalindua具有完整的厌氧氨氧化途径和Wood-Ljungdahl碳固定途径。黄花楸的叶酸生物合成途径不完整,缺乏生产四氢叶酸(THF)的关键酶二氢叶酸还原酶。叶酸生物蝶呤转运体是在共生细菌中运输叶酸相关代谢物所必需的,仅在Ca. Scalindua中被发现。此外,采用14c标记的碳酸氢盐进行了批量实验,研究了外源四氢呋化物对微生物活性和碳吸收率的影响。结果表明,2‍‍mg L-1外源THF使碳吸收率增加43%,而厌氧氨氧化活性未受影响。本研究结果表明,四氢呋喃是金盏花固定碳的关键中间体,可能对其生长至关重要。
本文章由计算机程序翻译,如有差异,请以英文原文为准。
求助全文
约1分钟内获得全文 求助全文
来源期刊
Microbes and Environments
Microbes and Environments 生物-生物工程与应用微生物
CiteScore
4.10
自引率
13.60%
发文量
66
审稿时长
3 months
期刊介绍: Microbial ecology in natural and engineered environments; Microbial degradation of xenobiotic compounds; Microbial processes in biogeochemical cycles; Microbial interactions and signaling with animals and plants; Interactions among microorganisms; Microorganisms related to public health; Phylogenetic and functional diversity of microbial communities; Genomics, metagenomics, and bioinformatics for microbiology; Application of microorganisms to agriculture, fishery, and industry; Molecular biology and biochemistry related to environmental microbiology; Methodology in general and environmental microbiology; Interdisciplinary research areas for microbial ecology (e.g., Astrobiology, and Origins of Life); Taxonomic description of novel microorganisms with ecological perspective; Physiology and metabolisms of microorganisms; Evolution of genes and microorganisms; Genome report of microorganisms with ecological perspective.
×
引用
GB/T 7714-2015
复制
MLA
复制
APA
复制
导出至
BibTeX EndNote RefMan NoteFirst NoteExpress
×
提示
您的信息不完整,为了账户安全,请先补充。
现在去补充
×
提示
您因"违规操作"
具体请查看互助需知
我知道了
×
提示
确定
请完成安全验证×
copy
已复制链接
快去分享给好友吧!
我知道了
右上角分享
点击右上角分享
0
联系我们:info@booksci.cn Book学术提供免费学术资源搜索服务,方便国内外学者检索中英文文献。致力于提供最便捷和优质的服务体验。 Copyright © 2023 布克学术 All rights reserved.
京ICP备2023020795号-1
ghs 京公网安备 11010802042870号
Book学术文献互助
Book学术文献互助群
群 号:604180095
Book学术官方微信