Early-Onset Cone Photoreceptor Degeneration Is Associated With High Myopia in RPGR-Related Retinal Dystrophy.

IF 1.9 4区 医学 Q3 OPHTHALMOLOGY
Journal of Ophthalmology Pub Date : 2025-06-11 eCollection Date: 2025-01-01 DOI:10.1155/joph/4244740
Shabnam Raji, Laura J Taylor, Amandeep S Josan, Robert E MacLaren, Jasmina Cehajic-Kapetanovic
{"title":"Early-Onset Cone Photoreceptor Degeneration Is Associated With High Myopia in <i>RPGR</i>-Related Retinal Dystrophy.","authors":"Shabnam Raji, Laura J Taylor, Amandeep S Josan, Robert E MacLaren, Jasmina Cehajic-Kapetanovic","doi":"10.1155/joph/4244740","DOIUrl":null,"url":null,"abstract":"<p><p><b>Purpose:</b> High myopia is a feature of several inherited retinal diseases, including X-linked retinitis pigmentosa (XLRP) which is characterized by childhood onset, centripetal photoreceptor degeneration, and rapid progression to blindness by the fourth decade. Mutations in the retinitis pigmentosa GTPase regulator (RPGR) gene cause over 90% of XLRP cases. It presents with a varied clinical phenotype, categorized into the predominant rod-cone, cone-rod, and cone dystrophy. This case-series study examines the clinical characteristics of patients with <i>RPGR</i>-related retinal dystrophy to identify associations with refractive error. <b>Methods:</b> Data collected between October 2023 and April 2024 from retinal imaging, clinical ophthalmic examination, and genetic analysis were retrospectively analyzed. <b>Results:</b> Twenty-four male patients were identified, with a mean age of 30 years (range 7-57). The median (IQR) best-corrected visual acuity was 60 (55-66) letters in the cone-rod/cone phenotype and 65 (49-73) letters in the rod-cone phenotype. High axial myopia showed preponderance in cone-dominated degenerations. Estimated mean refractive error was -7.92DS (95% CI: [-11.39, -4.44]) in the cone-rod phenotype and -3.52DS (95% CI: [-5.87, -1.17]) in the rod-cone phenotype, adjusting for age and genetic mutation. This difference between phenotype was significant (<i>p</i>=0.041). In a subanalysis, no significant association was found between refractive error and nucleotide position. Evaluation of disease progression found that all patients with a fast-progressing, rod-cone phenotype had high myopia. Conversely, one patient who presented with a slow-progressing, cone-rod phenotype did not have high myopia. <b>Conclusions:</b> Refractive trends in this cohort suggest that cone photoreceptor degeneration occurring during early childhood is associated with high myopia. Image degradation primarily due to cone photoreceptor dysfunction may act as a stimulus to drive myopia development in early childhood. These observations advocate for the earlier treatment of myopia in cone-dominated <i>RPGR</i>-related retinal dystrophy to preserve retinal function and minimize the risks of retinal gene therapy surgery for patients enrolling in clinical trials. <b>Trial Registration:</b> ClinicalTrials.gov identifier: NCT03116113.</p>","PeriodicalId":16674,"journal":{"name":"Journal of Ophthalmology","volume":"2025 ","pages":"4244740"},"PeriodicalIF":1.9000,"publicationDate":"2025-06-11","publicationTypes":"Journal Article","fieldsOfStudy":null,"isOpenAccess":false,"openAccessPdf":"https://www.ncbi.nlm.nih.gov/pmc/articles/PMC12176471/pdf/","citationCount":"0","resultStr":null,"platform":"Semanticscholar","paperid":null,"PeriodicalName":"Journal of Ophthalmology","FirstCategoryId":"3","ListUrlMain":"https://doi.org/10.1155/joph/4244740","RegionNum":4,"RegionCategory":"医学","ArticlePicture":[],"TitleCN":null,"AbstractTextCN":null,"PMCID":null,"EPubDate":"2025/1/1 0:00:00","PubModel":"eCollection","JCR":"Q3","JCRName":"OPHTHALMOLOGY","Score":null,"Total":0}
引用次数: 0

Abstract

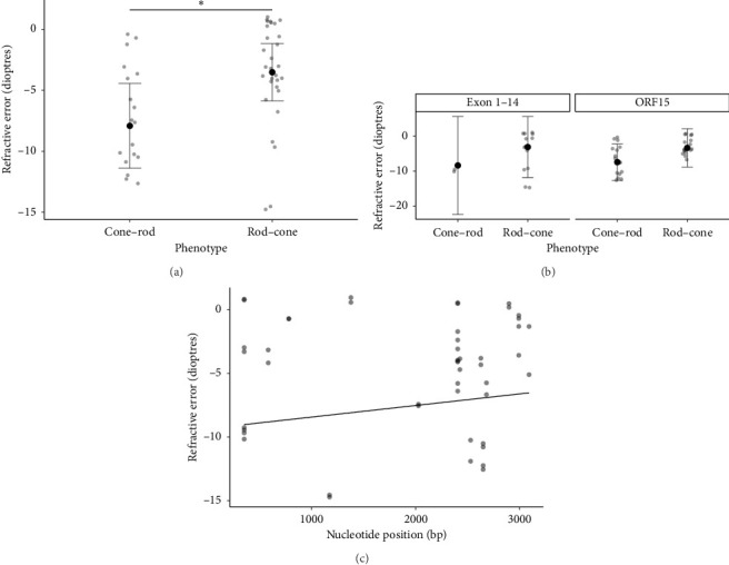
Purpose: High myopia is a feature of several inherited retinal diseases, including X-linked retinitis pigmentosa (XLRP) which is characterized by childhood onset, centripetal photoreceptor degeneration, and rapid progression to blindness by the fourth decade. Mutations in the retinitis pigmentosa GTPase regulator (RPGR) gene cause over 90% of XLRP cases. It presents with a varied clinical phenotype, categorized into the predominant rod-cone, cone-rod, and cone dystrophy. This case-series study examines the clinical characteristics of patients with RPGR-related retinal dystrophy to identify associations with refractive error. Methods: Data collected between October 2023 and April 2024 from retinal imaging, clinical ophthalmic examination, and genetic analysis were retrospectively analyzed. Results: Twenty-four male patients were identified, with a mean age of 30 years (range 7-57). The median (IQR) best-corrected visual acuity was 60 (55-66) letters in the cone-rod/cone phenotype and 65 (49-73) letters in the rod-cone phenotype. High axial myopia showed preponderance in cone-dominated degenerations. Estimated mean refractive error was -7.92DS (95% CI: [-11.39, -4.44]) in the cone-rod phenotype and -3.52DS (95% CI: [-5.87, -1.17]) in the rod-cone phenotype, adjusting for age and genetic mutation. This difference between phenotype was significant (p=0.041). In a subanalysis, no significant association was found between refractive error and nucleotide position. Evaluation of disease progression found that all patients with a fast-progressing, rod-cone phenotype had high myopia. Conversely, one patient who presented with a slow-progressing, cone-rod phenotype did not have high myopia. Conclusions: Refractive trends in this cohort suggest that cone photoreceptor degeneration occurring during early childhood is associated with high myopia. Image degradation primarily due to cone photoreceptor dysfunction may act as a stimulus to drive myopia development in early childhood. These observations advocate for the earlier treatment of myopia in cone-dominated RPGR-related retinal dystrophy to preserve retinal function and minimize the risks of retinal gene therapy surgery for patients enrolling in clinical trials. Trial Registration: ClinicalTrials.gov identifier: NCT03116113.

Abstract Image

Abstract Image

早发性锥体光感受器变性与rpgr相关性视网膜营养不良患者高度近视相关。
目的:高度近视是几种遗传性视网膜疾病的特征,包括x连锁色素性视网膜炎(XLRP),其特征是儿童期发病,向心性光感受器变性,并在第四个十年迅速发展为失明。视网膜色素变性GTPase调节剂(RPGR)基因突变导致90%以上的XLRP病例。它表现为多种临床表型,主要分为杆状-锥体、锥状-杆状和锥体营养不良。本病例系列研究探讨了与rpgr相关的视网膜营养不良患者的临床特征,以确定与屈光不正的关联。方法:回顾性分析2023年10月~ 2024年4月视网膜影像学、临床眼科检查和基因分析资料。结果:24例男性患者,平均年龄30岁(范围7-57岁)。最佳矫正视力中位数(IQR)锥杆/锥型为60(55-66)个字母,杆锥型为65(49-73)个字母。高轴型近视以视锥显性变性为主。经年龄和基因突变调整后,锥杆型的估计平均屈光误差为-7.92DS (95% CI:[-11.39, -4.44]),杆状锥型的估计平均屈光误差为-3.52DS (95% CI:[-5.87, -1.17])。表型间差异显著(p=0.041)。在亚分析中,没有发现屈光不正和核苷酸位置之间的显著关联。对疾病进展的评估发现,所有快速进展的杆状锥体表型患者均为高度近视。相反,一名表现为进展缓慢的锥杆型的患者没有高度近视。结论:该队列的屈光趋势表明,儿童早期发生的视锥光感受器变性与高度近视有关。视锥光感受器功能障碍导致的图像退化可能是儿童早期近视发展的刺激因素。这些观察结果提倡早期治疗锥体主导的rpgr相关视网膜营养不良患者的近视,以保持视网膜功能,并将视网膜基因治疗手术的风险降至最低。试验注册:ClinicalTrials.gov标识符:NCT03116113。
本文章由计算机程序翻译,如有差异,请以英文原文为准。
求助全文
约1分钟内获得全文 求助全文
来源期刊
Journal of Ophthalmology
Journal of Ophthalmology MEDICINE, RESEARCH & EXPERIMENTAL-OPHTHALMOLOGY
CiteScore
4.30
自引率
5.30%
发文量
194
审稿时长
6-12 weeks
期刊介绍: Journal of Ophthalmology is a peer-reviewed, Open Access journal that publishes original research articles, review articles, and clinical studies related to the anatomy, physiology and diseases of the eye. Submissions should focus on new diagnostic and surgical techniques, instrument and therapy updates, as well as clinical trials and research findings.
×
引用
GB/T 7714-2015
复制
MLA
复制
APA
复制
导出至
BibTeX EndNote RefMan NoteFirst NoteExpress
×
提示
您的信息不完整,为了账户安全,请先补充。
现在去补充
×
提示
您因"违规操作"
具体请查看互助需知
我知道了
×
提示
确定
请完成安全验证×
copy
已复制链接
快去分享给好友吧!
我知道了
右上角分享
点击右上角分享
0
联系我们:info@booksci.cn Book学术提供免费学术资源搜索服务,方便国内外学者检索中英文文献。致力于提供最便捷和优质的服务体验。 Copyright © 2023 布克学术 All rights reserved.
京ICP备2023020795号-1
ghs 京公网安备 11010802042870号
Book学术文献互助
Book学术文献互助群
群 号:604180095
Book学术官方微信