How a Microfinance-Based Livelihood Program Can Combat Food Insecurity Among Families of Children With Cerebral Palsy in Bangladesh-Evidence From a Randomized Control Trial.

IF 1.6 4区 医学 Q3 FOOD SCIENCE & TECHNOLOGY
Food and Nutrition Bulletin Pub Date : 2025-06-01 Epub Date: 2025-06-19 DOI:10.1177/03795721251348338
Nuruzzaman Khan, Mahmudul Hassan Al Imam, Israt Jahan, Mohammad Muhit, Nadia Badawi, Gulam Khandaker
{"title":"How a Microfinance-Based Livelihood Program Can Combat Food Insecurity Among Families of Children With Cerebral Palsy in Bangladesh-Evidence From a Randomized Control Trial.","authors":"Nuruzzaman Khan, Mahmudul Hassan Al Imam, Israt Jahan, Mohammad Muhit, Nadia Badawi, Gulam Khandaker","doi":"10.1177/03795721251348338","DOIUrl":null,"url":null,"abstract":"<p><p>BackgroundHousehold food insecurity is a critical concern for ultra-poor families in low- and middle-income countries like Bangladesh, particularly those with members who have disabilities. The COVID-19 pandemic has worsened this situation.ObjectiveThis study aimed to assess the impact of microfinance-based livelihood programs on food insecurity in ultra-poor families with members affected by cerebral palsy in Bangladesh.MethodsData were extracted from the SUPPORT CP trial for 251 children with cerebral palsy. The Household Food Insecurity Access Scale score was the outcome variable. The explanatory variable was the intervention type, dividing the sample into 3 arms: Arm C (care as usual), Arm B (Community-Based Rehabilitation [CBR]), and Arm A (CBR with the integrated microfinance-based livelihood program [IMCBR]). Both linear regression and the Generalized Estimating Equations model were used to determine the association of outcome variable with explanatory variables adjusting for covariates.ResultsWe found a consistent level of household food insecurity across each time point, with a significant increase in the midline during the peak of COVID-19 pandemic in 2020. However, following the end of the COVID-19 pandemic, both Arms A and B, where interventions were provided, reported a significant decline in food insecurity. Notably, Arm A, where IMCBR was provided, exhibited the fastest decrease in food insecurity followed by Arm B, where only CBR was provided, compared to Arm C.ConclusionMicrofinance programs can reduce food insecurity among families of children with cerebral palsy in Bangladesh, especially during crises like COVID-19, underscoring the need to integrate them with tailored disability rehabilitation services.</p>","PeriodicalId":12394,"journal":{"name":"Food and Nutrition Bulletin","volume":" ","pages":"70-77"},"PeriodicalIF":1.6000,"publicationDate":"2025-06-01","publicationTypes":"Journal Article","fieldsOfStudy":null,"isOpenAccess":false,"openAccessPdf":"https://www.ncbi.nlm.nih.gov/pmc/articles/PMC12397548/pdf/","citationCount":"0","resultStr":null,"platform":"Semanticscholar","paperid":null,"PeriodicalName":"Food and Nutrition Bulletin","FirstCategoryId":"97","ListUrlMain":"https://doi.org/10.1177/03795721251348338","RegionNum":4,"RegionCategory":"医学","ArticlePicture":[],"TitleCN":null,"AbstractTextCN":null,"PMCID":null,"EPubDate":"2025/6/19 0:00:00","PubModel":"Epub","JCR":"Q3","JCRName":"FOOD SCIENCE & TECHNOLOGY","Score":null,"Total":0}
引用次数: 0

Abstract

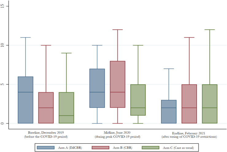
BackgroundHousehold food insecurity is a critical concern for ultra-poor families in low- and middle-income countries like Bangladesh, particularly those with members who have disabilities. The COVID-19 pandemic has worsened this situation.ObjectiveThis study aimed to assess the impact of microfinance-based livelihood programs on food insecurity in ultra-poor families with members affected by cerebral palsy in Bangladesh.MethodsData were extracted from the SUPPORT CP trial for 251 children with cerebral palsy. The Household Food Insecurity Access Scale score was the outcome variable. The explanatory variable was the intervention type, dividing the sample into 3 arms: Arm C (care as usual), Arm B (Community-Based Rehabilitation [CBR]), and Arm A (CBR with the integrated microfinance-based livelihood program [IMCBR]). Both linear regression and the Generalized Estimating Equations model were used to determine the association of outcome variable with explanatory variables adjusting for covariates.ResultsWe found a consistent level of household food insecurity across each time point, with a significant increase in the midline during the peak of COVID-19 pandemic in 2020. However, following the end of the COVID-19 pandemic, both Arms A and B, where interventions were provided, reported a significant decline in food insecurity. Notably, Arm A, where IMCBR was provided, exhibited the fastest decrease in food insecurity followed by Arm B, where only CBR was provided, compared to Arm C.ConclusionMicrofinance programs can reduce food insecurity among families of children with cerebral palsy in Bangladesh, especially during crises like COVID-19, underscoring the need to integrate them with tailored disability rehabilitation services.

Abstract Image

Abstract Image

Abstract Image

基于小额信贷的生计计划如何解决孟加拉国脑瘫儿童家庭的粮食不安全问题——来自随机对照试验的证据。
家庭粮食不安全是孟加拉国等低收入和中等收入国家的超级贫困家庭,特别是那些有残疾成员的家庭的一个严重问题。2019冠状病毒病大流行使这种情况进一步恶化。本研究旨在评估基于小额信贷的生计计划对孟加拉国有脑瘫患者的超贫困家庭粮食不安全状况的影响。方法从251例脑瘫儿童的SUPPORT CP试验中提取数据。家庭粮食不安全获取量表得分是结果变量。解释变量为干预类型,将样本分为3组:C组(照旧护理)、B组(社区康复[CBR])和A组(社区康复与基于小额信贷的综合生计计划[IMCBR])。采用线性回归和广义估计方程模型来确定结果变量与经协变量调整后的解释变量之间的关系。结果我们发现,每个时间点的家庭粮食不安全水平都是一致的,在2020年COVID-19大流行高峰期间,中线显著增加。然而,在2019冠状病毒病大流行结束后,提供干预措施的A区和B区均报告粮食不安全状况显著下降。值得注意的是,与c区相比,提供儿童综合护理的A区粮食不安全状况下降最快,其次是只提供儿童综合护理的B区,结论小额信贷项目可以减少孟加拉国脑瘫儿童家庭的粮食不安全状况,特别是在2019冠状病毒病等危机期间,这凸显了将其与量身定制的残疾康复服务相结合的必要性。
本文章由计算机程序翻译,如有差异,请以英文原文为准。
求助全文
约1分钟内获得全文 求助全文
来源期刊
Food and Nutrition Bulletin
Food and Nutrition Bulletin 工程技术-食品科技
CiteScore
4.10
自引率
0.00%
发文量
31
审稿时长
18-36 weeks
期刊介绍: The Food and Nutrition Bulletin (FNB,) is a peer-reviewed, academic journal published quarterly by the Nevin Scrimshaw International Nutrition Foundation. The Journal is one of the leading resources used by researchers, academics, nutrition policy makers and planners in over 125 countries to obtain the most current research and policy information related to nutrition in developing countries.
×
引用
GB/T 7714-2015
复制
MLA
复制
APA
复制
导出至
BibTeX EndNote RefMan NoteFirst NoteExpress
×
提示
您的信息不完整,为了账户安全,请先补充。
现在去补充
×
提示
您因"违规操作"
具体请查看互助需知
我知道了
×
提示
确定
请完成安全验证×
copy
已复制链接
快去分享给好友吧!
我知道了
右上角分享
点击右上角分享
0
联系我们:info@booksci.cn Book学术提供免费学术资源搜索服务,方便国内外学者检索中英文文献。致力于提供最便捷和优质的服务体验。 Copyright © 2023 布克学术 All rights reserved.
京ICP备2023020795号-1
ghs 京公网安备 11010802042870号
Book学术文献互助
Book学术文献互助群
群 号:604180095
Book学术官方微信