Comparative analysis of distinct phenotyping methods for assessing wheat resistance and pathogen virulence among Fusarium species causing head blight disease.

IF 4.4 2区 生物学 Q1 BIOCHEMICAL RESEARCH METHODS
Vahideh Rafiei, Liza DeGenring, Erin M Schwister, James Mitch Elmore, Mukesh Dubey, Magnus Karlsson, Milton T Drott
{"title":"Comparative analysis of distinct phenotyping methods for assessing wheat resistance and pathogen virulence among Fusarium species causing head blight disease.","authors":"Vahideh Rafiei, Liza DeGenring, Erin M Schwister, James Mitch Elmore, Mukesh Dubey, Magnus Karlsson, Milton T Drott","doi":"10.1186/s13007-025-01402-8","DOIUrl":null,"url":null,"abstract":"<p><p>Developing disease-resistant crops is a critical strategy for reducing chemical treatments and mitigating plant disease outbreaks, particularly amid global environmental changes. Fusarium head blight (FHB), caused by a complex of Fusarium species, is one of the most devastating cereal diseases, leading to significant economic losses and contamination of grain with harmful mycotoxins that threaten global cereal production and human health. The high variability in virulence within the complex of Fusarium spp and the lack of efficient high-throughput screening methods have impeded the development of resistant cultivars and made large-scale virulence testing labor-intensive and time-consuming. This study evaluates the efficacy of detached leaf, coleoptile, and seedling assays as high-throughput alternatives to the standard head infection assay for assessing the virulence of Fusarium species and differentiating wheat genotypes by resistance or susceptibility. Two near-isogenic wheat lines, one carrying FHB resistance loci and the other without, were used to assess the virulence of four Fusarium species. The seedling and coleoptile assays showed strong concordance with the traditional head infection assay, accurately reflecting differences in disease severity across Fusarium species and between wheat lines. Conversely, the detached leaf assay provided some differentiation among species but was inconsistent in identifying differences between plant genotypes. Across all assays, F. graminearum consistently exhibited the highest virulence, causing severe disease in leaves, stems, seedlings, and heads, while F. poae was the least virulent. Interestingly, F. culmorum and F. avenaceum displayed tissue-specific variability. These findings establish the coleoptile and seedling assays as rapid, high-throughput alternatives for breeding programs, accelerating the identification of FHB-resistant genotypes and reducing the reliance on the labor-intensive head assay.</p>","PeriodicalId":20100,"journal":{"name":"Plant Methods","volume":"21 1","pages":"85"},"PeriodicalIF":4.4000,"publicationDate":"2025-06-16","publicationTypes":"Journal Article","fieldsOfStudy":null,"isOpenAccess":false,"openAccessPdf":"https://www.ncbi.nlm.nih.gov/pmc/articles/PMC12168331/pdf/","citationCount":"0","resultStr":null,"platform":"Semanticscholar","paperid":null,"PeriodicalName":"Plant Methods","FirstCategoryId":"99","ListUrlMain":"https://doi.org/10.1186/s13007-025-01402-8","RegionNum":2,"RegionCategory":"生物学","ArticlePicture":[],"TitleCN":null,"AbstractTextCN":null,"PMCID":null,"EPubDate":"","PubModel":"","JCR":"Q1","JCRName":"BIOCHEMICAL RESEARCH METHODS","Score":null,"Total":0}
引用次数: 0

Abstract

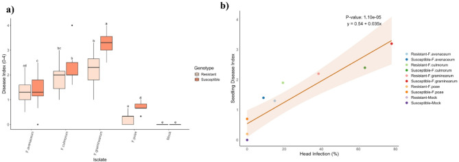
Developing disease-resistant crops is a critical strategy for reducing chemical treatments and mitigating plant disease outbreaks, particularly amid global environmental changes. Fusarium head blight (FHB), caused by a complex of Fusarium species, is one of the most devastating cereal diseases, leading to significant economic losses and contamination of grain with harmful mycotoxins that threaten global cereal production and human health. The high variability in virulence within the complex of Fusarium spp and the lack of efficient high-throughput screening methods have impeded the development of resistant cultivars and made large-scale virulence testing labor-intensive and time-consuming. This study evaluates the efficacy of detached leaf, coleoptile, and seedling assays as high-throughput alternatives to the standard head infection assay for assessing the virulence of Fusarium species and differentiating wheat genotypes by resistance or susceptibility. Two near-isogenic wheat lines, one carrying FHB resistance loci and the other without, were used to assess the virulence of four Fusarium species. The seedling and coleoptile assays showed strong concordance with the traditional head infection assay, accurately reflecting differences in disease severity across Fusarium species and between wheat lines. Conversely, the detached leaf assay provided some differentiation among species but was inconsistent in identifying differences between plant genotypes. Across all assays, F. graminearum consistently exhibited the highest virulence, causing severe disease in leaves, stems, seedlings, and heads, while F. poae was the least virulent. Interestingly, F. culmorum and F. avenaceum displayed tissue-specific variability. These findings establish the coleoptile and seedling assays as rapid, high-throughput alternatives for breeding programs, accelerating the identification of FHB-resistant genotypes and reducing the reliance on the labor-intensive head assay.

Abstract Image

Abstract Image

Abstract Image

不同表型分析方法对小麦白叶枯病病原菌抗性和毒力的比较分析。
发展抗病作物是减少化学处理和减轻植物病害爆发的关键战略,特别是在全球环境变化的情况下。赤霉病(Fusarium head blight, FHB)是一种由镰刀菌菌种复合引起的最具破坏性的谷物病害之一,它会导致重大经济损失和有害真菌毒素污染谷物,威胁全球谷物生产和人类健康。镰刀菌复合体内毒力的高变异性和缺乏高效的高通量筛选方法阻碍了抗性品种的开发,使大规模的毒力检测成为劳动密集型和耗时的。本研究评估了离体叶片、胚芽和幼苗试验作为标准头部感染试验的高通量替代方法的有效性,以评估镰刀菌的毒力,并通过抗性或易感性区分小麦基因型。两个近等基因小麦品系,一个携带FHB抗性位点,另一个没有,被用来评估四种镰刀菌的毒力。幼苗和胚芽包皮的测定结果与传统的头部感染测定结果高度一致,准确地反映了镰刀菌不同种间和小麦品系间疾病严重程度的差异。相反,离体叶片试验在物种之间提供了一些分化,但在识别植物基因型之间的差异方面不一致。在所有的试验中,F. graminearum始终表现出最高的毒力,在叶子、茎、幼苗和头部引起严重的疾病,而F. poae的毒力最小。有趣的是,F. culmorum和F. avenaceum表现出组织特异性变异性。这些发现确立了胚芽和幼苗试验作为育种计划的快速、高通量替代方案,加速了fhb抗性基因型的鉴定,减少了对劳动密集型头部试验的依赖。
本文章由计算机程序翻译,如有差异,请以英文原文为准。
求助全文
约1分钟内获得全文 求助全文
来源期刊
Plant Methods
Plant Methods 生物-植物科学
CiteScore
9.20
自引率
3.90%
发文量
121
审稿时长
2 months
期刊介绍: Plant Methods is an open access, peer-reviewed, online journal for the plant research community that encompasses all aspects of technological innovation in the plant sciences. There is no doubt that we have entered an exciting new era in plant biology. The completion of the Arabidopsis genome sequence, and the rapid progress being made in other plant genomics projects are providing unparalleled opportunities for progress in all areas of plant science. Nevertheless, enormous challenges lie ahead if we are to understand the function of every gene in the genome, and how the individual parts work together to make the whole organism. Achieving these goals will require an unprecedented collaborative effort, combining high-throughput, system-wide technologies with more focused approaches that integrate traditional disciplines such as cell biology, biochemistry and molecular genetics. Technological innovation is probably the most important catalyst for progress in any scientific discipline. Plant Methods’ goal is to stimulate the development and adoption of new and improved techniques and research tools and, where appropriate, to promote consistency of methodologies for better integration of data from different laboratories.
×
引用
GB/T 7714-2015
复制
MLA
复制
APA
复制
导出至
BibTeX EndNote RefMan NoteFirst NoteExpress
×
提示
您的信息不完整,为了账户安全,请先补充。
现在去补充
×
提示
您因"违规操作"
具体请查看互助需知
我知道了
×
提示
确定
请完成安全验证×
copy
已复制链接
快去分享给好友吧!
我知道了
右上角分享
点击右上角分享
0
联系我们:info@booksci.cn Book学术提供免费学术资源搜索服务,方便国内外学者检索中英文文献。致力于提供最便捷和优质的服务体验。 Copyright © 2023 布克学术 All rights reserved.
京ICP备2023020795号-1
ghs 京公网安备 11010802042870号
Book学术文献互助
Book学术文献互助群
群 号:604180095
Book学术官方微信