Enhancing Polyphenol Delivery and Efficacy Using Functionalized Gold Nanoparticles: Antioxidant and Antibacterial Properties.

IF 4.1 3区 化学 Q1 BIOCHEMISTRY & MOLECULAR BIOLOGY
Bioinorganic Chemistry and Applications Pub Date : 2025-06-09 eCollection Date: 2025-01-01 DOI:10.1155/bca/3836765
Siham Bouaouz, Miriam Chavez, Cornelia E Peña González, Daniel Rojas, Alberto Escarpa, Paula Ortega, F Javier de la Mata
{"title":"Enhancing Polyphenol Delivery and Efficacy Using Functionalized Gold Nanoparticles: Antioxidant and Antibacterial Properties.","authors":"Siham Bouaouz, Miriam Chavez, Cornelia E Peña González, Daniel Rojas, Alberto Escarpa, Paula Ortega, F Javier de la Mata","doi":"10.1155/bca/3836765","DOIUrl":null,"url":null,"abstract":"<p><p>Research into the use of nanoparticles to enhance the delivery and efficacy of polyphenols is a topic of growing interest in the fields of nanotechnology, pharmacology and food science. Nanoparticles, due to their small size and high surface area, can improve the stability, solubility and bioavailability of polyphenols. Combining polyphenols with other bioactive compounds within nanoparticles can create synergistic effects, enhancing their overall therapeutic potential. In this work, we present a new polyethylene glycol (PEG) capping ligand modified with caffeic acid (CA), HS-PEG-CA and two types of gold nanoparticles: (i) coated with a PEG-thiol derivative functionalized with CA (HS-PEG-CA) (homofuncionalized NP) and (ii) HS-PEG-CA cationic carbosilane dendrons with antibacterial properties (heterofuncionalized NP). The antioxidant capacity of the CA, in three systems, has been studied by different techniques such as FRAP, DDPH and cyclic voltammetry, demonstrating that it is preserved when it is supported on the NP and increases when it is part of the PEG ligand. In addition, heterofuntionalized NP showed activity against <i>S. aureus</i> and HS-PEG2K-CA ligand can effectively anchor to gold substrates.</p>","PeriodicalId":8914,"journal":{"name":"Bioinorganic Chemistry and Applications","volume":"2025 ","pages":"3836765"},"PeriodicalIF":4.1000,"publicationDate":"2025-06-09","publicationTypes":"Journal Article","fieldsOfStudy":null,"isOpenAccess":false,"openAccessPdf":"https://www.ncbi.nlm.nih.gov/pmc/articles/PMC12170072/pdf/","citationCount":"0","resultStr":null,"platform":"Semanticscholar","paperid":null,"PeriodicalName":"Bioinorganic Chemistry and Applications","FirstCategoryId":"92","ListUrlMain":"https://doi.org/10.1155/bca/3836765","RegionNum":3,"RegionCategory":"化学","ArticlePicture":[],"TitleCN":null,"AbstractTextCN":null,"PMCID":null,"EPubDate":"2025/1/1 0:00:00","PubModel":"eCollection","JCR":"Q1","JCRName":"BIOCHEMISTRY & MOLECULAR BIOLOGY","Score":null,"Total":0}
引用次数: 0

Abstract

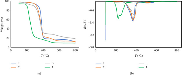
Research into the use of nanoparticles to enhance the delivery and efficacy of polyphenols is a topic of growing interest in the fields of nanotechnology, pharmacology and food science. Nanoparticles, due to their small size and high surface area, can improve the stability, solubility and bioavailability of polyphenols. Combining polyphenols with other bioactive compounds within nanoparticles can create synergistic effects, enhancing their overall therapeutic potential. In this work, we present a new polyethylene glycol (PEG) capping ligand modified with caffeic acid (CA), HS-PEG-CA and two types of gold nanoparticles: (i) coated with a PEG-thiol derivative functionalized with CA (HS-PEG-CA) (homofuncionalized NP) and (ii) HS-PEG-CA cationic carbosilane dendrons with antibacterial properties (heterofuncionalized NP). The antioxidant capacity of the CA, in three systems, has been studied by different techniques such as FRAP, DDPH and cyclic voltammetry, demonstrating that it is preserved when it is supported on the NP and increases when it is part of the PEG ligand. In addition, heterofuntionalized NP showed activity against S. aureus and HS-PEG2K-CA ligand can effectively anchor to gold substrates.

Abstract Image

Abstract Image

Abstract Image

功能化金纳米颗粒增强多酚传递和功效:抗氧化和抗菌性能。
在纳米技术、药理学和食品科学领域,研究使用纳米颗粒来增强多酚的传递和功效是一个越来越受关注的话题。纳米颗粒由于其小尺寸和高表面积,可以提高多酚的稳定性、溶解度和生物利用度。将多酚与纳米颗粒内的其他生物活性化合物结合可以产生协同效应,增强其整体治疗潜力。在这项工作中,我们提出了一种新的聚乙二醇(PEG)盖层配体,由咖啡酸(CA), HS-PEG-CA和两种类型的金纳米粒子修饰:(i)包覆以CA官能化的PEG-硫醇衍生物(HS-PEG-CA)(均非官能化NP)和(ii)具有抗菌性能的HS-PEG-CA阳离子碳硅烷树桩(异非官能化NP)。通过FRAP、DDPH和循环伏安法等不同的技术研究了CA在三种体系中的抗氧化能力,结果表明,当它被支撑在NP上时,它的抗氧化能力得到了保存,当它是PEG配体的一部分时,它的抗氧化能力得到了增强。此外,异官能化的NP显示出对金黄色葡萄球菌的活性,HS-PEG2K-CA配体可以有效地锚定在金底物上。
本文章由计算机程序翻译,如有差异,请以英文原文为准。
求助全文
约1分钟内获得全文 求助全文
来源期刊
Bioinorganic Chemistry and Applications
Bioinorganic Chemistry and Applications 化学-生化与分子生物学
CiteScore
7.00
自引率
5.30%
发文量
105
审稿时长
>12 weeks
期刊介绍: Bioinorganic Chemistry and Applications is primarily devoted to original research papers, but also publishes review articles, editorials, and letter to the editor in the general field of bioinorganic chemistry and its applications. Its scope includes all aspects of bioinorganic chemistry, including bioorganometallic chemistry and applied bioinorganic chemistry. The journal welcomes papers relating to metalloenzymes and model compounds, metal-based drugs, biomaterials, biocatalysis and bioelectronics, metals in biology and medicine, metals toxicology and metals in the environment, metal interactions with biomolecules and spectroscopic applications.
×
引用
GB/T 7714-2015
复制
MLA
复制
APA
复制
导出至
BibTeX EndNote RefMan NoteFirst NoteExpress
×
提示
您的信息不完整,为了账户安全,请先补充。
现在去补充
×
提示
您因"违规操作"
具体请查看互助需知
我知道了
×
提示
确定
请完成安全验证×
copy
已复制链接
快去分享给好友吧!
我知道了
右上角分享
点击右上角分享
0
联系我们:info@booksci.cn Book学术提供免费学术资源搜索服务,方便国内外学者检索中英文文献。致力于提供最便捷和优质的服务体验。 Copyright © 2023 布克学术 All rights reserved.
京ICP备2023020795号-1
ghs 京公网安备 11010802042870号
Book学术文献互助
Book学术文献互助群
群 号:604180095
Book学术官方微信