Morphological Markers of Chromosomal Instability: A Useful Aid in Effusion Cytology.

IF 1 4区 医学 Q4 MEDICAL LABORATORY TECHNOLOGY
Journal of Cytology Pub Date : 2025-04-01 Epub Date: 2025-03-28 DOI:10.4103/joc.joc_15_24
Archana Buch, Mallika Agarwal, Mangesh Londhe, Madhuri Singh, Akshi Raj, Charusheela Gore
{"title":"Morphological Markers of Chromosomal Instability: A Useful Aid in Effusion Cytology.","authors":"Archana Buch, Mallika Agarwal, Mangesh Londhe, Madhuri Singh, Akshi Raj, Charusheela Gore","doi":"10.4103/joc.joc_15_24","DOIUrl":null,"url":null,"abstract":"<p><strong>Background: </strong>Chromosomal instability (CI) is essential for carcinogenesis. Micronuclei (MN), nuclear budding (NB), chromatin bridge (CB), and multipolar mitosis (MPM) are the morphological markers of CI. These markers can be studied in the effusion fluids like pleural and ascitic fluid. This study aimed to analyze their significance in differentiating between benign and malignant pleural and ascitic effusion fluids.</p><p><strong>Materials and methods: </strong>A prospective observational study was conducted on 100 pleural and ascitic effusion fluids, out of which 71 were benign and 29 were malignant. A total of 20 malignant cases were confirmed by cell block preparation and immunohistochemistry. Leishman-stained slides were screened under oil immersion (1000×) for MN, CB, NB, and MPM. The number of cells with each of these markers were counted per 1000 cells. The data were analyzed by calculating the mean, standard deviation (SD), and Student's <i>t</i> test. A <i>P</i> value was also computed.</p><p><strong>Results: </strong>Mean (SD) of MN, CB, NB, and MPM in malignant effusion cytology were 9.01 (4.65), 0.8846 (1.07), 0.96 (1.24), and 0.92 (0097) per 1000 cells counted, whereas, the mean for benign were1.0 (0.90), 0.39 (0.54), 0.51 (0.65), and 0.50(0.73) per 1000 cells, respectively. The difference between benign and malignant effusion cytology and MN score came out to be statistically significant with a <i>P</i> value of <0.0001.</p><p><strong>Conclusion: </strong>The markers of CI help to differentiate between malignant and benign effusion cytology in low-resource settings.</p>","PeriodicalId":50217,"journal":{"name":"Journal of Cytology","volume":"42 2","pages":"95-100"},"PeriodicalIF":1.0000,"publicationDate":"2025-04-01","publicationTypes":"Journal Article","fieldsOfStudy":null,"isOpenAccess":false,"openAccessPdf":"https://www.ncbi.nlm.nih.gov/pmc/articles/PMC12165615/pdf/","citationCount":"0","resultStr":null,"platform":"Semanticscholar","paperid":null,"PeriodicalName":"Journal of Cytology","FirstCategoryId":"3","ListUrlMain":"https://doi.org/10.4103/joc.joc_15_24","RegionNum":4,"RegionCategory":"医学","ArticlePicture":[],"TitleCN":null,"AbstractTextCN":null,"PMCID":null,"EPubDate":"2025/3/28 0:00:00","PubModel":"Epub","JCR":"Q4","JCRName":"MEDICAL LABORATORY TECHNOLOGY","Score":null,"Total":0}
引用次数: 0

Abstract

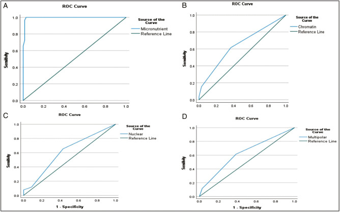
Background: Chromosomal instability (CI) is essential for carcinogenesis. Micronuclei (MN), nuclear budding (NB), chromatin bridge (CB), and multipolar mitosis (MPM) are the morphological markers of CI. These markers can be studied in the effusion fluids like pleural and ascitic fluid. This study aimed to analyze their significance in differentiating between benign and malignant pleural and ascitic effusion fluids.

Materials and methods: A prospective observational study was conducted on 100 pleural and ascitic effusion fluids, out of which 71 were benign and 29 were malignant. A total of 20 malignant cases were confirmed by cell block preparation and immunohistochemistry. Leishman-stained slides were screened under oil immersion (1000×) for MN, CB, NB, and MPM. The number of cells with each of these markers were counted per 1000 cells. The data were analyzed by calculating the mean, standard deviation (SD), and Student's t test. A P value was also computed.

Results: Mean (SD) of MN, CB, NB, and MPM in malignant effusion cytology were 9.01 (4.65), 0.8846 (1.07), 0.96 (1.24), and 0.92 (0097) per 1000 cells counted, whereas, the mean for benign were1.0 (0.90), 0.39 (0.54), 0.51 (0.65), and 0.50(0.73) per 1000 cells, respectively. The difference between benign and malignant effusion cytology and MN score came out to be statistically significant with a P value of <0.0001.

Conclusion: The markers of CI help to differentiate between malignant and benign effusion cytology in low-resource settings.

Abstract Image

Abstract Image

Abstract Image

染色体不稳定性的形态学标记:对积液细胞学的有用帮助。
背景:染色体不稳定性(CI)对癌变至关重要。微核(MN)、核出芽(NB)、染色质桥接(CB)和多极有丝分裂(MPM)是CI的形态学标志。这些标记物可在胸腔、腹水等积液中检测。本研究旨在分析其在鉴别良恶性胸腔积液和腹水积液中的意义。材料与方法:对100例胸腔积液和腹水进行前瞻性观察研究,其中良性71例,恶性29例。通过细胞阻断制备和免疫组化证实20例恶性肿瘤。leishman染色玻片在1000倍油浸条件下筛选MN、CB、NB和MPM。每1000个细胞中有这些标记的细胞数被计数。通过计算平均值、标准差(SD)和Student's t检验对数据进行分析。并计算P值。结果:恶性积液细胞学中MN、CB、NB和MPM的平均(SD)分别为9.01(4.65)、0.8846(1.07)、0.96(1.24)和0.92(0097)/ 1000细胞,而良性积液细胞学中MN、CB、NB和MPM的平均(SD)分别为1.0(0.90)、0.39(0.54)、0.51(0.65)和0.50(0.73)/ 1000细胞。结论:CI指标有助于低资源环境下恶性与良性积液细胞学的鉴别。
本文章由计算机程序翻译,如有差异,请以英文原文为准。
求助全文
约1分钟内获得全文 求助全文
来源期刊
Journal of Cytology
Journal of Cytology MEDICAL LABORATORY TECHNOLOGY-
CiteScore
1.80
自引率
7.70%
发文量
34
审稿时长
46 weeks
期刊介绍: The Journal of Cytology is the official Quarterly publication of the Indian Academy of Cytologists. It is in the 25th year of publication in the year 2008. The journal covers all aspects of diagnostic cytology, including fine needle aspiration cytology, gynecological and non-gynecological cytology. Articles on ancillary techniques, like cytochemistry, immunocytochemistry, electron microscopy, molecular cytopathology, as applied to cytological material are also welcome. The journal gives preference to clinically oriented studies over experimental and animal studies. The Journal would publish peer-reviewed original research papers, case reports, systematic reviews, meta-analysis, and debates.
×
引用
GB/T 7714-2015
复制
MLA
复制
APA
复制
导出至
BibTeX EndNote RefMan NoteFirst NoteExpress
×
提示
您的信息不完整,为了账户安全,请先补充。
现在去补充
×
提示
您因"违规操作"
具体请查看互助需知
我知道了
×
提示
确定
请完成安全验证×
copy
已复制链接
快去分享给好友吧!
我知道了
右上角分享
点击右上角分享
0
联系我们:info@booksci.cn Book学术提供免费学术资源搜索服务,方便国内外学者检索中英文文献。致力于提供最便捷和优质的服务体验。 Copyright © 2023 布克学术 All rights reserved.
京ICP备2023020795号-1
ghs 京公网安备 11010802042870号
Book学术文献互助
Book学术文献互助群
群 号:604180095
Book学术官方微信