Association of fibrinogen-to-albumin ratio in patients with isolated coronary artery ectasia.

IF 1.5 4区 医学 Q2 MEDICINE, GENERAL & INTERNAL
Journal of Research in Medical Sciences Pub Date : 2025-05-26 eCollection Date: 2025-01-01 DOI:10.4103/jrms.jrms_104_25
Okan Tanriverdi, Alper Sercelik
{"title":"Association of fibrinogen-to-albumin ratio in patients with isolated coronary artery ectasia.","authors":"Okan Tanriverdi, Alper Sercelik","doi":"10.4103/jrms.jrms_104_25","DOIUrl":null,"url":null,"abstract":"<p><strong>Background: </strong>Previous research has indicated that chronic inflammation plays a significant role in the development of coronary artery ectasia (CAE). However, there is limited data on the role of plasma fibrinogen-to-albumin ratio (PFAR) in CAE patients. Our study aimed to explore the connection between PFAR and the presence of CAE.</p><p><strong>Materials and methods: </strong>This research used a case-control methodology. We included a total of 108 consecutive patients who had CAE without any stenosis. Among them, there were 65 males and 43 females, with a mean age of 58.2 ± 8.5 years. The control group included 102 consecutive participants with angiographically normal coronary arteries, consisting of 62 males and 40 women, with a mean age of 57.3 ± 8.6 years. Statistical analyses were conducted using Student's-<i>t</i>-test, Mann-Whitney <i>U</i>-test, Chi-square test, linear regression, logistic regression, and receiver operating characteristic (ROC) curve analysis.</p><p><strong>Results: </strong>PFAR in the CAE group was significantly higher compared to the controls (84.8 ± 7.4 vs. 70.1 ± 9.5, <i>P</i> < 0.001). Using multiple logistic regression showed a strong link between PFAR and CAE, with an odds ratio for PFAR of 1.818 (95% confidence interval [CI] 1.092-6.201; <i>P</i> = 0.005). PFAR was exceeded 72.6, the sensitivity and specificity were 80.2% and 72.6%, respectively. The area under the ROC curve (area under the curve) was 0.731 (95% CI: 0.659-0.803, <i>P</i> = 0.028).</p><p><strong>Conclusion: </strong>In our study, we found that PFAR levels were notably higher in the CAE group compared to the control group, and we observed a significant correlation between PFAR and CAE.</p>","PeriodicalId":50062,"journal":{"name":"Journal of Research in Medical Sciences","volume":"30 ","pages":"30"},"PeriodicalIF":1.5000,"publicationDate":"2025-05-26","publicationTypes":"Journal Article","fieldsOfStudy":null,"isOpenAccess":false,"openAccessPdf":"https://www.ncbi.nlm.nih.gov/pmc/articles/PMC12165309/pdf/","citationCount":"0","resultStr":null,"platform":"Semanticscholar","paperid":null,"PeriodicalName":"Journal of Research in Medical Sciences","FirstCategoryId":"3","ListUrlMain":"https://doi.org/10.4103/jrms.jrms_104_25","RegionNum":4,"RegionCategory":"医学","ArticlePicture":[],"TitleCN":null,"AbstractTextCN":null,"PMCID":null,"EPubDate":"2025/1/1 0:00:00","PubModel":"eCollection","JCR":"Q2","JCRName":"MEDICINE, GENERAL & INTERNAL","Score":null,"Total":0}
引用次数: 0

Abstract

Background: Previous research has indicated that chronic inflammation plays a significant role in the development of coronary artery ectasia (CAE). However, there is limited data on the role of plasma fibrinogen-to-albumin ratio (PFAR) in CAE patients. Our study aimed to explore the connection between PFAR and the presence of CAE.

Materials and methods: This research used a case-control methodology. We included a total of 108 consecutive patients who had CAE without any stenosis. Among them, there were 65 males and 43 females, with a mean age of 58.2 ± 8.5 years. The control group included 102 consecutive participants with angiographically normal coronary arteries, consisting of 62 males and 40 women, with a mean age of 57.3 ± 8.6 years. Statistical analyses were conducted using Student's-t-test, Mann-Whitney U-test, Chi-square test, linear regression, logistic regression, and receiver operating characteristic (ROC) curve analysis.

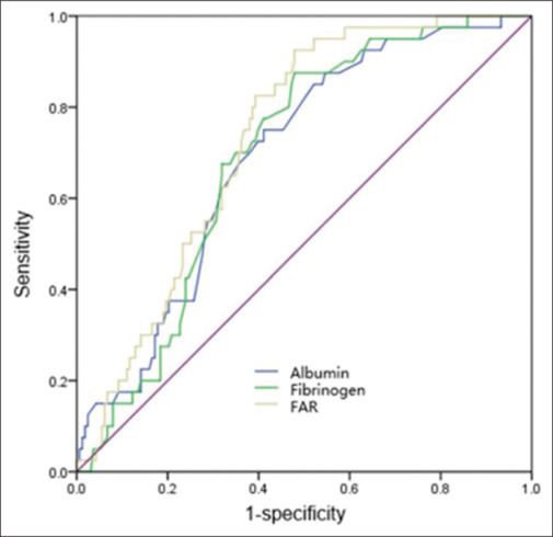
Results: PFAR in the CAE group was significantly higher compared to the controls (84.8 ± 7.4 vs. 70.1 ± 9.5, P < 0.001). Using multiple logistic regression showed a strong link between PFAR and CAE, with an odds ratio for PFAR of 1.818 (95% confidence interval [CI] 1.092-6.201; P = 0.005). PFAR was exceeded 72.6, the sensitivity and specificity were 80.2% and 72.6%, respectively. The area under the ROC curve (area under the curve) was 0.731 (95% CI: 0.659-0.803, P = 0.028).

Conclusion: In our study, we found that PFAR levels were notably higher in the CAE group compared to the control group, and we observed a significant correlation between PFAR and CAE.

Abstract Image

Abstract Image

孤立性冠状动脉扩张患者纤维蛋白原与白蛋白比值的关系。
背景:已有研究表明慢性炎症在冠状动脉扩张(CAE)的发生发展中起重要作用。然而,关于血浆纤维蛋白原与白蛋白比(PFAR)在CAE患者中的作用的数据有限。我们的研究旨在探讨PFAR与CAE存在之间的联系。材料与方法:本研究采用病例对照方法。我们纳入了连续108例无狭窄的CAE患者。其中男性65例,女性43例,平均年龄58.2±8.5岁。对照组包括102例冠状动脉造影正常的连续受试者,男性62例,女性40例,平均年龄57.3±8.6岁。统计学分析采用Student's-t检验、Mann-Whitney u检验、卡方检验、线性回归、logistic回归、受试者工作特征(ROC)曲线分析。结果:CAE组PFAR明显高于对照组(84.8±7.4比70.1±9.5,P < 0.001)。多元logistic回归分析显示PFAR与CAE之间存在较强的相关性,PFAR的比值比为1.818(95%可信区间[CI] 1.092-6.201;P = 0.005)。PFAR超过72.6,敏感性为80.2%,特异性为72.6%。ROC曲线下面积(曲线下面积)为0.731 (95% CI: 0.659-0.803, P = 0.028)。结论:在我们的研究中,我们发现CAE组的PFAR水平明显高于对照组,PFAR与CAE之间存在显著的相关性。
本文章由计算机程序翻译,如有差异,请以英文原文为准。
求助全文
约1分钟内获得全文 求助全文
来源期刊
Journal of Research in Medical Sciences
Journal of Research in Medical Sciences MEDICINE, GENERAL & INTERNAL-
CiteScore
2.60
自引率
6.20%
发文量
75
审稿时长
3-6 weeks
期刊介绍: Journal of Research in Medical Sciences, a publication of Isfahan University of Medical Sciences, is a peer-reviewed online continuous journal with print on demand compilation of issues published. The journal’s full text is available online at http://www.jmsjournal.net. The journal allows free access (Open Access) to its contents and permits authors to self-archive final accepted version of the articles on any OAI-compliant institutional / subject-based repository.
×
引用
GB/T 7714-2015
复制
MLA
复制
APA
复制
导出至
BibTeX EndNote RefMan NoteFirst NoteExpress
×
提示
您的信息不完整,为了账户安全,请先补充。
现在去补充
×
提示
您因"违规操作"
具体请查看互助需知
我知道了
×
提示
确定
请完成安全验证×
copy
已复制链接
快去分享给好友吧!
我知道了
右上角分享
点击右上角分享
0
联系我们:info@booksci.cn Book学术提供免费学术资源搜索服务,方便国内外学者检索中英文文献。致力于提供最便捷和优质的服务体验。 Copyright © 2023 布克学术 All rights reserved.
京ICP备2023020795号-1
ghs 京公网安备 11010802042870号
Book学术文献互助
Book学术文献互助群
群 号:604180095
Book学术官方微信