Life Satisfaction and Family Communication as Protective Factors in Problematic Internet Use in University Students.

IF 2.5 Q2 NURSING
SAGE Open Nursing Pub Date : 2025-06-12 eCollection Date: 2025-01-01 DOI:10.1177/23779608251350197
Walter Capa-Luque, Luz Elizabeth Mayorga-Falcón, Evelyn Barboza Navarro, Armando Martínez Portillo, Yovana Pardavé-Livia, Aldo Bazán-Ramírez, Edmundo Hervias-Guerra, Catalina Bello-Vidal
{"title":"Life Satisfaction and Family Communication as Protective Factors in Problematic Internet Use in University Students.","authors":"Walter Capa-Luque, Luz Elizabeth Mayorga-Falcón, Evelyn Barboza Navarro, Armando Martínez Portillo, Yovana Pardavé-Livia, Aldo Bazán-Ramírez, Edmundo Hervias-Guerra, Catalina Bello-Vidal","doi":"10.1177/23779608251350197","DOIUrl":null,"url":null,"abstract":"<p><strong>Introduction: </strong>Problematic Internet use (PIU) is considered a serious condition and a potential factor for various physical and psychological health problems, with higher prevalence rates in the young adult population, a situation aggravated by mandatory exposure to digital platforms and tools of virtual education due to the pandemic, extending the internet connection for academic, social, and leisure activities.</p><p><strong>Objective: </strong>Examinate if satisfaction with life and family communication constitute protective factors in the problematic use of the Internet in Peruvian university students.</p><p><strong>Method: </strong>Cross-sectional study of multivariate relationship. And 621 university students participated, with a mean age of 21.63 (SD = 3.04), selected through convenience sampling.</p><p><strong>Results: </strong>According to the structural regression model, satisfaction with life and family communication has a negative impact with a combined effect of 20% in explaining PIU. Likewise, the logistic regression analysis showed that the predictor variables are associated as protective factors for PIU (odds ratio < 1, <i>p</i> < .01). The descriptive results show that the preferred device to connect to the Internet is the smartphone, only 20% of students use the Internet for academic purposes, around 60% connect more than 30 h a week, a 34% of university students present between serious and clinically significant problematic use.</p><p><strong>Conclusion: </strong>The existence of favorable life satisfaction and positive family communication considerably reduces the risk of developing PIU.</p>","PeriodicalId":43312,"journal":{"name":"SAGE Open Nursing","volume":"11 ","pages":"23779608251350197"},"PeriodicalIF":2.5000,"publicationDate":"2025-06-12","publicationTypes":"Journal Article","fieldsOfStudy":null,"isOpenAccess":false,"openAccessPdf":"https://www.ncbi.nlm.nih.gov/pmc/articles/PMC12166231/pdf/","citationCount":"0","resultStr":null,"platform":"Semanticscholar","paperid":null,"PeriodicalName":"SAGE Open Nursing","FirstCategoryId":"1085","ListUrlMain":"https://doi.org/10.1177/23779608251350197","RegionNum":0,"RegionCategory":null,"ArticlePicture":[],"TitleCN":null,"AbstractTextCN":null,"PMCID":null,"EPubDate":"2025/1/1 0:00:00","PubModel":"eCollection","JCR":"Q2","JCRName":"NURSING","Score":null,"Total":0}
引用次数: 0

Abstract

Introduction: Problematic Internet use (PIU) is considered a serious condition and a potential factor for various physical and psychological health problems, with higher prevalence rates in the young adult population, a situation aggravated by mandatory exposure to digital platforms and tools of virtual education due to the pandemic, extending the internet connection for academic, social, and leisure activities.

Objective: Examinate if satisfaction with life and family communication constitute protective factors in the problematic use of the Internet in Peruvian university students.

Method: Cross-sectional study of multivariate relationship. And 621 university students participated, with a mean age of 21.63 (SD = 3.04), selected through convenience sampling.

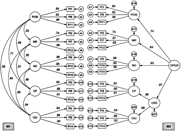
Results: According to the structural regression model, satisfaction with life and family communication has a negative impact with a combined effect of 20% in explaining PIU. Likewise, the logistic regression analysis showed that the predictor variables are associated as protective factors for PIU (odds ratio < 1, p < .01). The descriptive results show that the preferred device to connect to the Internet is the smartphone, only 20% of students use the Internet for academic purposes, around 60% connect more than 30 h a week, a 34% of university students present between serious and clinically significant problematic use.

Conclusion: The existence of favorable life satisfaction and positive family communication considerably reduces the risk of developing PIU.

Abstract Image

Abstract Image

Abstract Image

生活满意度和家庭沟通是大学生上网问题的保护因素。
导读:互联网使用问题(PIU)被认为是一种严重的状况,是各种身心健康问题的潜在因素,在年轻人中患病率较高,由于大流行,互联网连接扩展到学术、社交和休闲活动,强制性地接触数字平台和虚拟教育工具,加剧了这种情况。目的:探讨生活满意度和家庭沟通是否构成秘鲁大学生网络使用问题的保护因素。方法:多变量关系横断面研究。通过方便抽样,选取621名大学生参与调查,平均年龄21.63岁(SD = 3.04)。结果:根据结构回归模型,生活满意度和家庭沟通对PIU有负向影响,其综合效应为20%。结论:良好的生活满意度和积极的家庭沟通显著降低了发生PIU的风险。
本文章由计算机程序翻译,如有差异,请以英文原文为准。
求助全文
约1分钟内获得全文 求助全文
来源期刊
CiteScore
2.10
自引率
5.00%
发文量
106
审稿时长
15 weeks
×
引用
GB/T 7714-2015
复制
MLA
复制
APA
复制
导出至
BibTeX EndNote RefMan NoteFirst NoteExpress
×
提示
您的信息不完整,为了账户安全,请先补充。
现在去补充
×
提示
您因"违规操作"
具体请查看互助需知
我知道了
×
提示
确定
请完成安全验证×
copy
已复制链接
快去分享给好友吧!
我知道了
右上角分享
点击右上角分享
0
联系我们:info@booksci.cn Book学术提供免费学术资源搜索服务,方便国内外学者检索中英文文献。致力于提供最便捷和优质的服务体验。 Copyright © 2023 布克学术 All rights reserved.
京ICP备2023020795号-1
ghs 京公网安备 11010802042870号
Book学术文献互助
Book学术文献互助群
群 号:604180095
Book学术官方微信