Extending nanoindentation testing toward extreme strain rates and temperatures for probing materials evolution at the nanoscale.

IF 4.9 3区 材料科学 Q2 MATERIALS SCIENCE, MULTIDISCIPLINARY
Mrs Bulletin Pub Date : 2025-01-01 Epub Date: 2025-05-21 DOI:10.1557/s43577-025-00918-7
Benoit Merle, Gabrielle Tiphéne, Guillaume Kermouche
{"title":"Extending nanoindentation testing toward extreme strain rates and temperatures for probing materials evolution at the nanoscale.","authors":"Benoit Merle, Gabrielle Tiphéne, Guillaume Kermouche","doi":"10.1557/s43577-025-00918-7","DOIUrl":null,"url":null,"abstract":"<p><strong>Abstract: </strong>For the past 30 years, nanoindentation has provided critical insights into the microstructure-strength relationship for a wide range of materials. However, it has traditionally been limited to quasistatic testing at room temperature, which has hindered a holistic understanding of microstructurally induced deformation mechanisms and their dynamic evolution as a function of the temperature and strain rate. Over the past decade, the operational scope of nanoindentation has expanded dramatically. Temperatures up to 1100°C and strain rates as high as 10<sup>+4</sup> s<sup>-1</sup> and as low as 10<sup>-8</sup> s<sup>-1</sup> have become accessible. In addition, advanced techniques allow tracking microstructural evolution and corresponding changes in mechanical behavior during deformation under extreme conditions. These advancements have transformed nanoindentation into a versatile tool for comprehensive materials characterization, enabling high-throughput investigations under multimodal conditions.</p><p><strong>Graphical abstract: </strong></p>","PeriodicalId":18828,"journal":{"name":"Mrs Bulletin","volume":"50 6","pages":"705-714"},"PeriodicalIF":4.9000,"publicationDate":"2025-01-01","publicationTypes":"Journal Article","fieldsOfStudy":null,"isOpenAccess":false,"openAccessPdf":"https://www.ncbi.nlm.nih.gov/pmc/articles/PMC12162694/pdf/","citationCount":"0","resultStr":null,"platform":"Semanticscholar","paperid":null,"PeriodicalName":"Mrs Bulletin","FirstCategoryId":"88","ListUrlMain":"https://doi.org/10.1557/s43577-025-00918-7","RegionNum":3,"RegionCategory":"材料科学","ArticlePicture":[],"TitleCN":null,"AbstractTextCN":null,"PMCID":null,"EPubDate":"2025/5/21 0:00:00","PubModel":"Epub","JCR":"Q2","JCRName":"MATERIALS SCIENCE, MULTIDISCIPLINARY","Score":null,"Total":0}
引用次数: 0

Abstract

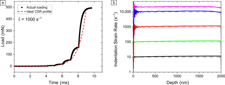
Abstract: For the past 30 years, nanoindentation has provided critical insights into the microstructure-strength relationship for a wide range of materials. However, it has traditionally been limited to quasistatic testing at room temperature, which has hindered a holistic understanding of microstructurally induced deformation mechanisms and their dynamic evolution as a function of the temperature and strain rate. Over the past decade, the operational scope of nanoindentation has expanded dramatically. Temperatures up to 1100°C and strain rates as high as 10+4 s-1 and as low as 10-8 s-1 have become accessible. In addition, advanced techniques allow tracking microstructural evolution and corresponding changes in mechanical behavior during deformation under extreme conditions. These advancements have transformed nanoindentation into a versatile tool for comprehensive materials characterization, enabling high-throughput investigations under multimodal conditions.

Graphical abstract:

Abstract Image

Abstract Image

Abstract Image

将纳米压痕测试扩展到极端应变率和温度,以探测纳米尺度下的材料演变。
摘要:在过去的30年里,纳米压痕为研究各种材料的微观结构-强度关系提供了重要的见解。然而,传统上仅限于室温下的准静态测试,这阻碍了对微观结构诱导变形机制及其作为温度和应变速率函数的动态演变的整体理解。在过去的十年中,纳米压痕的应用范围急剧扩大。温度高达1100°C,应变率高达10+4 s-1,低至10-8 s-1。此外,先进的技术可以跟踪极端条件下变形过程中微观结构的演变和相应的力学行为变化。这些进步已经将纳米压痕转变为综合材料表征的通用工具,使多模态条件下的高通量研究成为可能。图形化的简介:
本文章由计算机程序翻译,如有差异,请以英文原文为准。
求助全文
约1分钟内获得全文 求助全文
来源期刊
Mrs Bulletin
Mrs Bulletin 工程技术-材料科学:综合
CiteScore
7.40
自引率
2.00%
发文量
193
审稿时长
4-8 weeks
期刊介绍: MRS Bulletin is one of the most widely recognized and highly respected publications in advanced materials research. Each month, the Bulletin provides a comprehensive overview of a specific materials theme, along with industry and policy developments, and MRS and materials-community news and events. Written by leading experts, the overview articles are useful references for specialists, but are also presented at a level understandable to a broad scientific audience.
×
引用
GB/T 7714-2015
复制
MLA
复制
APA
复制
导出至
BibTeX EndNote RefMan NoteFirst NoteExpress
×
提示
您的信息不完整,为了账户安全,请先补充。
现在去补充
×
提示
您因"违规操作"
具体请查看互助需知
我知道了
×
提示
确定
请完成安全验证×
copy
已复制链接
快去分享给好友吧!
我知道了
右上角分享
点击右上角分享
0
联系我们:info@booksci.cn Book学术提供免费学术资源搜索服务,方便国内外学者检索中英文文献。致力于提供最便捷和优质的服务体验。 Copyright © 2023 布克学术 All rights reserved.
京ICP备2023020795号-1
ghs 京公网安备 11010802042870号
Book学术文献互助
Book学术文献互助群
群 号:604180095
Book学术官方微信