Flavonoid compounds as a way to identify sources of carrot resistance to Alternaria leaf blight.

IF 3 3区 农林科学 Q1 AGRONOMY
Molecular Breeding Pub Date : 2025-06-14 eCollection Date: 2025-06-01 DOI:10.1007/s11032-025-01573-1
Marie Louisa Ramaroson, Claude Emmanuel Koutouan, Angelina El Ghaziri, Raymonde Baltenweck, Patricia Claudel, Philippe Hugueney, Sébastien Huet, Anita Suel, Linda Voisine, Mathilde Briard, Jean Jacques Helesbeux, Latifa Hamama, Valérie Le Clerc, Emmanuel Geoffriau
{"title":"Flavonoid compounds as a way to identify sources of carrot resistance to Alternaria leaf blight.","authors":"Marie Louisa Ramaroson, Claude Emmanuel Koutouan, Angelina El Ghaziri, Raymonde Baltenweck, Patricia Claudel, Philippe Hugueney, Sébastien Huet, Anita Suel, Linda Voisine, Mathilde Briard, Jean Jacques Helesbeux, Latifa Hamama, Valérie Le Clerc, Emmanuel Geoffriau","doi":"10.1007/s11032-025-01573-1","DOIUrl":null,"url":null,"abstract":"<p><p>Breeding varieties that are highly resistant to Alternaria leaf blight is crucial to enable carrot growers to drastically reduce their use of synthetic fungicides. Some sources of resistance have been identified in recent years, but in limited number and the genetic control as well as the screening for resistance remain complex and tedious. Flavonoid compounds have been reported to be involved in plant resistance to biotic or abiotic stresses. Their level of variation could therefore be a way of assisting screening activities for resistance. The aim of the study is to validate this link throughout the carrot growth cycle, in various environments and across a wide genetic diversity. A kinetic study showed that three flavonoid compounds are differentially accumulated between resistant and susceptible accessions as early as the 2-leaf stage and all along the plant development. Moreover, this differential is maintained throughout the potential infectious process in different environments. The analysis of a large range of accessions representing a very wide diversity of geographical origins, genetic structures, breeders and varietal types validates the link between resistance and the content in flavonoid compounds. These results open up extremely interesting prospects for the development of a marker-assisted early selection tool that would facilitate the screening and introgression of resistances into elite material, a complex task due to the polygenic control of resistance and biennial nature of the crop.</p><p><strong>Supplementary information: </strong>The online version contains supplementary material available at 10.1007/s11032-025-01573-1.</p>","PeriodicalId":18769,"journal":{"name":"Molecular Breeding","volume":"45 6","pages":"55"},"PeriodicalIF":3.0000,"publicationDate":"2025-06-14","publicationTypes":"Journal Article","fieldsOfStudy":null,"isOpenAccess":false,"openAccessPdf":"https://www.ncbi.nlm.nih.gov/pmc/articles/PMC12167411/pdf/","citationCount":"0","resultStr":null,"platform":"Semanticscholar","paperid":null,"PeriodicalName":"Molecular Breeding","FirstCategoryId":"97","ListUrlMain":"https://doi.org/10.1007/s11032-025-01573-1","RegionNum":3,"RegionCategory":"农林科学","ArticlePicture":[],"TitleCN":null,"AbstractTextCN":null,"PMCID":null,"EPubDate":"2025/6/1 0:00:00","PubModel":"eCollection","JCR":"Q1","JCRName":"AGRONOMY","Score":null,"Total":0}
引用次数: 0

Abstract

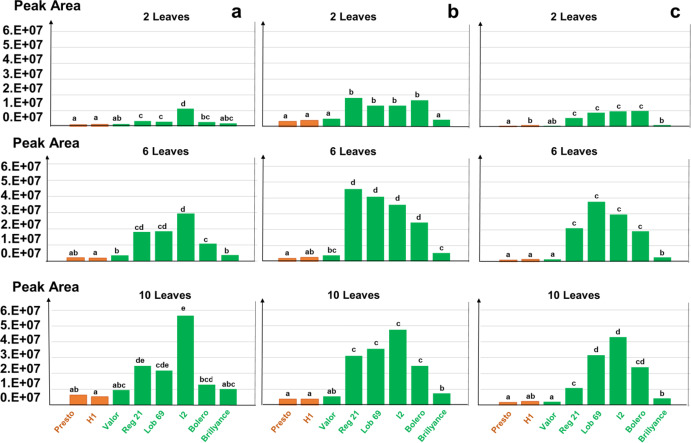
Breeding varieties that are highly resistant to Alternaria leaf blight is crucial to enable carrot growers to drastically reduce their use of synthetic fungicides. Some sources of resistance have been identified in recent years, but in limited number and the genetic control as well as the screening for resistance remain complex and tedious. Flavonoid compounds have been reported to be involved in plant resistance to biotic or abiotic stresses. Their level of variation could therefore be a way of assisting screening activities for resistance. The aim of the study is to validate this link throughout the carrot growth cycle, in various environments and across a wide genetic diversity. A kinetic study showed that three flavonoid compounds are differentially accumulated between resistant and susceptible accessions as early as the 2-leaf stage and all along the plant development. Moreover, this differential is maintained throughout the potential infectious process in different environments. The analysis of a large range of accessions representing a very wide diversity of geographical origins, genetic structures, breeders and varietal types validates the link between resistance and the content in flavonoid compounds. These results open up extremely interesting prospects for the development of a marker-assisted early selection tool that would facilitate the screening and introgression of resistances into elite material, a complex task due to the polygenic control of resistance and biennial nature of the crop.

Supplementary information: The online version contains supplementary material available at 10.1007/s11032-025-01573-1.

Abstract Image

Abstract Image

Abstract Image

黄酮类化合物作为胡萝卜抗叶枯病来源的鉴定方法。
培育对互花孢叶枯病具有高度抗性的品种对于使胡萝卜种植者大幅度减少合成杀菌剂的使用至关重要。近年来已经发现了一些抗性来源,但数量有限,遗传控制和抗性筛选仍然复杂而繁琐。据报道,类黄酮化合物参与植物对生物或非生物胁迫的抗性。因此,它们的变异水平可能是一种帮助筛选抗性活动的方法。这项研究的目的是在不同的环境和广泛的遗传多样性中验证胡萝卜生长周期中的这种联系。动力学研究表明,3种黄酮类化合物早在2叶期和整个植株发育过程中就在抗性和敏感材料之间存在差异积累。此外,这种差异在不同环境的整个潜在感染过程中保持不变。对地理来源、遗传结构、育种者和品种类型的广泛多样性的大量材料的分析证实了抗性与类黄酮化合物含量之间的联系。这些结果为开发标记辅助的早期选择工具开辟了非常有趣的前景,该工具将促进抗性的筛选和渗入到精英材料中,这是一项复杂的任务,因为抗性的多基因控制和作物的二年生性质。补充资料:在线版本提供补充资料,网址为10.1007/s11032-025-01573-1。
本文章由计算机程序翻译,如有差异,请以英文原文为准。
求助全文
约1分钟内获得全文 求助全文
来源期刊
Molecular Breeding
Molecular Breeding 农林科学-农艺学
CiteScore
5.60
自引率
6.50%
发文量
67
审稿时长
1.5 months
期刊介绍: Molecular Breeding is an international journal publishing papers on applications of plant molecular biology, i.e., research most likely leading to practical applications. The practical applications might relate to the Developing as well as the industrialised World and have demonstrable benefits for the seed industry, farmers, processing industry, the environment and the consumer. All papers published should contribute to the understanding and progress of modern plant breeding, encompassing the scientific disciplines of molecular biology, biochemistry, genetics, physiology, pathology, plant breeding, and ecology among others. Molecular Breeding welcomes the following categories of papers: full papers, short communications, papers describing novel methods and review papers. All submission will be subject to peer review ensuring the highest possible scientific quality standards. Molecular Breeding core areas: Molecular Breeding will consider manuscripts describing contemporary methods of molecular genetics and genomic analysis, structural and functional genomics in crops, proteomics and metabolic profiling, abiotic stress and field evaluation of transgenic crops containing particular traits. Manuscripts on marker assisted breeding are also of major interest, in particular novel approaches and new results of marker assisted breeding, QTL cloning, integration of conventional and marker assisted breeding, and QTL studies in crop plants.
×
引用
GB/T 7714-2015
复制
MLA
复制
APA
复制
导出至
BibTeX EndNote RefMan NoteFirst NoteExpress
×
提示
您的信息不完整,为了账户安全,请先补充。
现在去补充
×
提示
您因"违规操作"
具体请查看互助需知
我知道了
×
提示
确定
请完成安全验证×
copy
已复制链接
快去分享给好友吧!
我知道了
右上角分享
点击右上角分享
0
联系我们:info@booksci.cn Book学术提供免费学术资源搜索服务,方便国内外学者检索中英文文献。致力于提供最便捷和优质的服务体验。 Copyright © 2023 布克学术 All rights reserved.
京ICP备2023020795号-1
ghs 京公网安备 11010802042870号
Book学术文献互助
Book学术文献互助群
群 号:604180095
Book学术官方微信