Responses of house crickets (Orthoptera: Gryllidae) to various dietary gross energy levels: effects on growth performance and nutrient deposition.

IF 2 3区 农林科学 Q1 ENTOMOLOGY
Sutisa Khempaka, Supattra Okrathok, Jan Th Schonewille, Chayanan Pukkung, Merisa Sirisopapong, Orapin Jantasaeng, Phocharapon Pasri
{"title":"Responses of house crickets (Orthoptera: Gryllidae) to various dietary gross energy levels: effects on growth performance and nutrient deposition.","authors":"Sutisa Khempaka, Supattra Okrathok, Jan Th Schonewille, Chayanan Pukkung, Merisa Sirisopapong, Orapin Jantasaeng, Phocharapon Pasri","doi":"10.1093/jisesa/ieaf059","DOIUrl":null,"url":null,"abstract":"<p><p>Crickets present a sustainable protein alternative with a lower ecological footprint compared to traditional animal proteins. This research aimed to investigate the effect of dietary energy density on feed intake, growth, and body composition in house crickets (Acheta domesticus L., Orthoptera: Gryllidae) up to 45 d after hatching. The study consisted of 2 phases (7 to 20 and 21 to 45 d of age), with house crickets randomly assigned to 5 dietary treatments, each with six replicates. Dietary energy levels ranged from 3,819 to 4,265 kcal gross energy (GE)/kg in phase 1 and from 3,978 to 4,405 kcal GE/kg in phase 2. As dietary energy density increased, feed intake linearly decreased, while body mass linearly increased. In phase 1, protein retention increased from 72.1% to 85.5% as GE increased from 3,819 to 4,265 kcal /kg. Similarly, in phase 2, protein retention increased from 53.3% to 59.3% as GE increased from 3,978 to 4,379 kcal/kg. Correspondingly, the feed conversion ratio (FCR) improved with increasing dietary GE values. Broken-line analysis revealed the lowest FCR at 4,158 and 4,382 kcal GE/kg feed for house crickets from 7 to 20 and 21 to 45 d after hatching, respectively. These findings confirm the relevance of energy density in achieving optimal growth performance and provide valuable insights for formulating nutritious cricket diets. However, caution is warranted when extrapolating these results, as diets were formulated using GE instead of metabolizable energy (ME). Future studies should determine cricket-specific ME values to fine-tune dietary energy density.</p>","PeriodicalId":16156,"journal":{"name":"Journal of Insect Science","volume":"25 3","pages":""},"PeriodicalIF":2.0000,"publicationDate":"2025-05-09","publicationTypes":"Journal Article","fieldsOfStudy":null,"isOpenAccess":false,"openAccessPdf":"https://www.ncbi.nlm.nih.gov/pmc/articles/PMC12168125/pdf/","citationCount":"0","resultStr":null,"platform":"Semanticscholar","paperid":null,"PeriodicalName":"Journal of Insect Science","FirstCategoryId":"97","ListUrlMain":"https://doi.org/10.1093/jisesa/ieaf059","RegionNum":3,"RegionCategory":"农林科学","ArticlePicture":[],"TitleCN":null,"AbstractTextCN":null,"PMCID":null,"EPubDate":"","PubModel":"","JCR":"Q1","JCRName":"ENTOMOLOGY","Score":null,"Total":0}
引用次数: 0

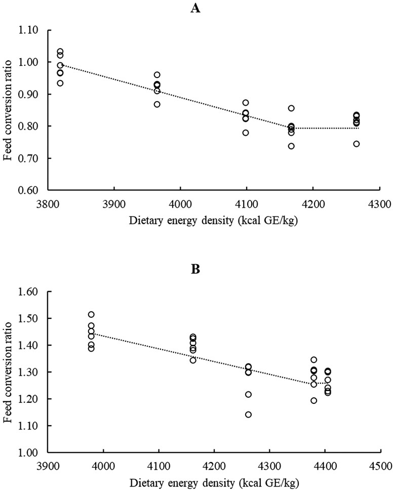
Abstract

Crickets present a sustainable protein alternative with a lower ecological footprint compared to traditional animal proteins. This research aimed to investigate the effect of dietary energy density on feed intake, growth, and body composition in house crickets (Acheta domesticus L., Orthoptera: Gryllidae) up to 45 d after hatching. The study consisted of 2 phases (7 to 20 and 21 to 45 d of age), with house crickets randomly assigned to 5 dietary treatments, each with six replicates. Dietary energy levels ranged from 3,819 to 4,265 kcal gross energy (GE)/kg in phase 1 and from 3,978 to 4,405 kcal GE/kg in phase 2. As dietary energy density increased, feed intake linearly decreased, while body mass linearly increased. In phase 1, protein retention increased from 72.1% to 85.5% as GE increased from 3,819 to 4,265 kcal /kg. Similarly, in phase 2, protein retention increased from 53.3% to 59.3% as GE increased from 3,978 to 4,379 kcal/kg. Correspondingly, the feed conversion ratio (FCR) improved with increasing dietary GE values. Broken-line analysis revealed the lowest FCR at 4,158 and 4,382 kcal GE/kg feed for house crickets from 7 to 20 and 21 to 45 d after hatching, respectively. These findings confirm the relevance of energy density in achieving optimal growth performance and provide valuable insights for formulating nutritious cricket diets. However, caution is warranted when extrapolating these results, as diets were formulated using GE instead of metabolizable energy (ME). Future studies should determine cricket-specific ME values to fine-tune dietary energy density.

Abstract Image

Abstract Image

Abstract Image

家蟋蟀(直翅目:灰蟋蟀科)对不同饲粮总能水平的反应:对生长性能和养分沉积的影响。
蟋蟀是一种可持续的蛋白质替代品,与传统的动物蛋白质相比,它的生态足迹更低。本试验旨在研究日粮能量密度对家蟋蟀(Acheta domesticus L.,直翅目:灰蟋蟀科)孵化后45 d采食量、生长和体成分的影响。试验分为2个阶段(7 ~ 20日龄和21 ~ 45日龄),随机分为5个饲粮处理,每个处理6个重复。第一阶段饲粮总能水平为3819 ~ 4265千卡/kg,第二阶段为3978 ~ 4405千卡/kg。随着饲粮能量密度的增加,采食量线性降低,体质量线性增加。在第一阶段,随着总热量从3819 kcal /kg增加到4265 kcal /kg,蛋白质保留率从72.1%增加到85.5%。同样,在第二阶段,当总热量从3,978 kcal/kg增加到4,379 kcal/kg时,蛋白质保留率从53.3%增加到59.3%。相应的,饲料系数随饲粮GE值的增加而提高。折线分析结果显示,在孵化后7 ~ 20天和21 ~ 45 d,家蟋蟀的饲料产量最低,分别为4158和4382千卡GE/kg。这些发现证实了能量密度在实现最佳生长性能方面的相关性,并为制定营养蟋蟀饮食提供了有价值的见解。然而,在推断这些结果时需要谨慎,因为饮食是用GE而不是代谢能(ME)配制的。未来的研究应该确定蟋蟀特有的代谢能值,以微调膳食能量密度。
本文章由计算机程序翻译,如有差异,请以英文原文为准。
求助全文
约1分钟内获得全文 求助全文
来源期刊
Journal of Insect Science
Journal of Insect Science 生物-昆虫学
CiteScore
3.70
自引率
0.00%
发文量
80
审稿时长
7.5 months
期刊介绍: The Journal of Insect Science was founded with support from the University of Arizona library in 2001 by Dr. Henry Hagedorn, who served as editor-in-chief until his death in January 2014. The Entomological Society of America was very pleased to add the Journal of Insect Science to its publishing portfolio in 2014. The fully open access journal publishes papers in all aspects of the biology of insects and other arthropods from the molecular to the ecological, and their agricultural and medical impact.
×
引用
GB/T 7714-2015
复制
MLA
复制
APA
复制
导出至
BibTeX EndNote RefMan NoteFirst NoteExpress
×
提示
您的信息不完整,为了账户安全,请先补充。
现在去补充
×
提示
您因"违规操作"
具体请查看互助需知
我知道了
×
提示
确定
请完成安全验证×
copy
已复制链接
快去分享给好友吧!
我知道了
右上角分享
点击右上角分享
0
联系我们:info@booksci.cn Book学术提供免费学术资源搜索服务,方便国内外学者检索中英文文献。致力于提供最便捷和优质的服务体验。 Copyright © 2023 布克学术 All rights reserved.
京ICP备2023020795号-1
ghs 京公网安备 11010802042870号
Book学术文献互助
Book学术文献互助群
群 号:604180095
Book学术官方微信