Association of High-Density Lipoprotein Cholesterol-Based Inflammatory Markers With MASLD and Significant Liver Fibrosis in US Adults: Insights From NHANES 2017-2020.

IF 3 3区 医学 Q2 GASTROENTEROLOGY & HEPATOLOGY
Clinical and Translational Gastroenterology Pub Date : 2025-06-16 eCollection Date: 2025-08-01 DOI:10.14309/ctg.0000000000000873
Shuangzhen Jia, Xiaolin Ye, Yan Kong, Zhaoxia Wang, Jie Wu
{"title":"Association of High-Density Lipoprotein Cholesterol-Based Inflammatory Markers With MASLD and Significant Liver Fibrosis in US Adults: Insights From NHANES 2017-2020.","authors":"Shuangzhen Jia, Xiaolin Ye, Yan Kong, Zhaoxia Wang, Jie Wu","doi":"10.14309/ctg.0000000000000873","DOIUrl":null,"url":null,"abstract":"<p><strong>Introduction: </strong>Systemic inflammation and lipid metabolism disturbances are important hallmarks of the onset and progression of metabolic dysfunction-associated steatotic liver disease (MASLD). We aimed to explore the association of lymphocyte-high-density lipoprotein-cholesterol ratio (LHR), monocyte-HDL-C ratio (MHR), neutrophil-HDL-C ratio (NHR), and platelet-HDL-C ratio (PHR) with MASLD and significant liver fibrosis using NHANES 2017-2020 data.</p><p><strong>Methods: </strong>LHR, MHR, NHR, and PHR were calculated based on complete blood count parameters and serum HDL-C. MASLD and liver fibrosis were diagnosed based on transient elastography. Multivariate logistic regression analyses were used to explore these associations, and receiver operating characteristic was used to compare the predictive power of these markers.</p><p><strong>Results: </strong>A total of 8,341 participants were included, and the prevalence of MASLD and significant liver fibrosis was 45.1% and 11.57%, respectively. In fully adjusted models, log-transformed LHR, MHR, NHR, and PHR were positively associated with the odds of MASLD (odds ratio 1.853, 1.685, 1.470, and 1.879, respectively) and significant liver fibrosis (odds ratio 1.570, 1.425, 1.396, and 1.384, respectively) (all P < 0.05). Most of these associations were nonlinear, and significant positive correlations existed only after their respective inflection points. The association of LHR with significant liver fibrosis was more pronounced in men. Receiver operating characteristic analysis showed that LHR/NHR was superior in predicting MASLD, whereas MHR/NHR distinguished significant liver fibrosis better than other markers.</p><p><strong>Discussion: </strong>LHR, MHR, NHR, and PHR were independently associated with MASLD and liver fibrosis in US adults and may serve as emerging predictors. Future cohort studies are needed to confirm these findings and explore clinical predictive value.</p>","PeriodicalId":10278,"journal":{"name":"Clinical and Translational Gastroenterology","volume":" ","pages":"e00873"},"PeriodicalIF":3.0000,"publicationDate":"2025-06-16","publicationTypes":"Journal Article","fieldsOfStudy":null,"isOpenAccess":false,"openAccessPdf":"https://www.ncbi.nlm.nih.gov/pmc/articles/PMC12377280/pdf/","citationCount":"0","resultStr":null,"platform":"Semanticscholar","paperid":null,"PeriodicalName":"Clinical and Translational Gastroenterology","FirstCategoryId":"3","ListUrlMain":"https://doi.org/10.14309/ctg.0000000000000873","RegionNum":3,"RegionCategory":"医学","ArticlePicture":[],"TitleCN":null,"AbstractTextCN":null,"PMCID":null,"EPubDate":"2025/8/1 0:00:00","PubModel":"eCollection","JCR":"Q2","JCRName":"GASTROENTEROLOGY & HEPATOLOGY","Score":null,"Total":0}
引用次数: 0

Abstract

Introduction: Systemic inflammation and lipid metabolism disturbances are important hallmarks of the onset and progression of metabolic dysfunction-associated steatotic liver disease (MASLD). We aimed to explore the association of lymphocyte-high-density lipoprotein-cholesterol ratio (LHR), monocyte-HDL-C ratio (MHR), neutrophil-HDL-C ratio (NHR), and platelet-HDL-C ratio (PHR) with MASLD and significant liver fibrosis using NHANES 2017-2020 data.

Methods: LHR, MHR, NHR, and PHR were calculated based on complete blood count parameters and serum HDL-C. MASLD and liver fibrosis were diagnosed based on transient elastography. Multivariate logistic regression analyses were used to explore these associations, and receiver operating characteristic was used to compare the predictive power of these markers.

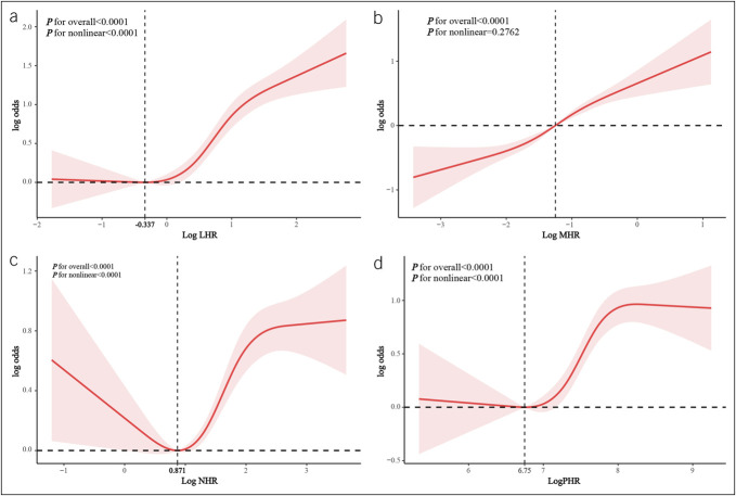
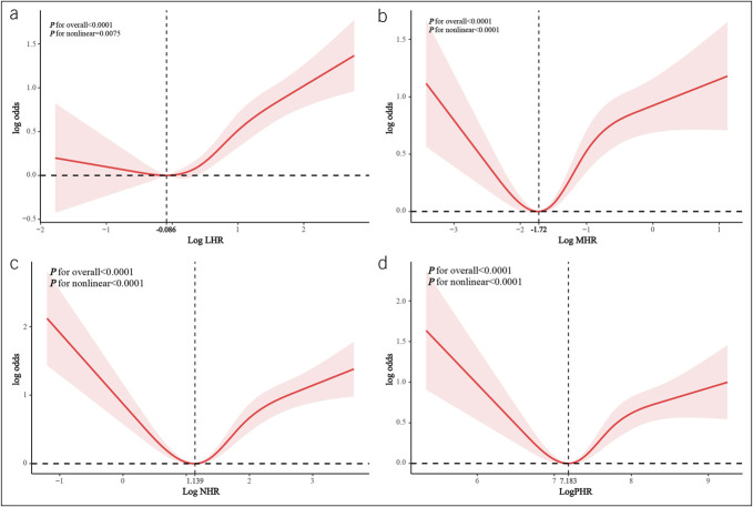
Results: A total of 8,341 participants were included, and the prevalence of MASLD and significant liver fibrosis was 45.1% and 11.57%, respectively. In fully adjusted models, log-transformed LHR, MHR, NHR, and PHR were positively associated with the odds of MASLD (odds ratio 1.853, 1.685, 1.470, and 1.879, respectively) and significant liver fibrosis (odds ratio 1.570, 1.425, 1.396, and 1.384, respectively) (all P < 0.05). Most of these associations were nonlinear, and significant positive correlations existed only after their respective inflection points. The association of LHR with significant liver fibrosis was more pronounced in men. Receiver operating characteristic analysis showed that LHR/NHR was superior in predicting MASLD, whereas MHR/NHR distinguished significant liver fibrosis better than other markers.

Discussion: LHR, MHR, NHR, and PHR were independently associated with MASLD and liver fibrosis in US adults and may serve as emerging predictors. Future cohort studies are needed to confirm these findings and explore clinical predictive value.

Abstract Image

Abstract Image

Abstract Image

美国成人高密度脂蛋白胆固醇炎症标志物与MASLD和显著肝纤维化的关联:来自NHANES 2017-2020的见解
背景:全身性炎症和脂质代谢紊乱是代谢功能障碍相关脂肪变性肝病(MASLD)发病和进展的重要标志。我们旨在利用NHANES 2017-2020数据探讨淋巴细胞-高密度脂蛋白-胆固醇比率(LHR)、单核细胞- hdl -c比率(MHR)、中性粒细胞- hdl -c比率(NHR)和血小板- hdl -c比率(PHR)与MASLD和显著肝纤维化的关系。方法:根据全血细胞计数参数和血清HDL-C计算LHR、MHR、NHR和PHR。基于瞬时弹性成像诊断MASLD和肝纤维化。采用多变量logistic回归分析来探讨这些相关性,并采用受试者工作特征(ROC)来比较这些标记的预测能力。结果:共纳入8,341名参与者,MASLD患病率为45.1%,显著肝纤维化患病率为11.57%。在完全校正模型中,对数转换后的LHR、MHR、NHR和PHR与MASLD(比值比分别为1.853、1.685、1.470和1.879)和显著肝纤维化(比值比分别为1.570、1.425、1.396和1.384)呈正相关(均p < 0.05)。这些关联大多是非线性的,只有在各自的拐点之后才存在显著的正相关。LHR与显著肝纤维化的相关性在男性中更为明显。ROC分析显示,LHR/NHR在预测MASLD方面优于其他指标,而MHR/NHR在区分显著肝纤维化方面优于其他指标。结论:LHR、MHR、NHR和PHR与美国成人MASLD和肝纤维化独立相关,可能作为新兴的预测因子。需要进一步的队列研究来证实这些发现并探索临床预测价值。
本文章由计算机程序翻译,如有差异,请以英文原文为准。
求助全文
约1分钟内获得全文 求助全文
来源期刊
Clinical and Translational Gastroenterology
Clinical and Translational Gastroenterology GASTROENTEROLOGY & HEPATOLOGY-
CiteScore
7.00
自引率
0.00%
发文量
114
审稿时长
16 weeks
期刊介绍: Clinical and Translational Gastroenterology (CTG), published on behalf of the American College of Gastroenterology (ACG), is a peer-reviewed open access online journal dedicated to innovative clinical work in the field of gastroenterology and hepatology. CTG hopes to fulfill an unmet need for clinicians and scientists by welcoming novel cohort studies, early-phase clinical trials, qualitative and quantitative epidemiologic research, hypothesis-generating research, studies of novel mechanisms and methodologies including public health interventions, and integration of approaches across organs and disciplines. CTG also welcomes hypothesis-generating small studies, methods papers, and translational research with clear applications to human physiology or disease. Colon and small bowel Endoscopy and novel diagnostics Esophagus Functional GI disorders Immunology of the GI tract Microbiology of the GI tract Inflammatory bowel disease Pancreas and biliary tract Liver Pathology Pediatrics Preventative medicine Nutrition/obesity Stomach.
×
引用
GB/T 7714-2015
复制
MLA
复制
APA
复制
导出至
BibTeX EndNote RefMan NoteFirst NoteExpress
×
提示
您的信息不完整,为了账户安全,请先补充。
现在去补充
×
提示
您因"违规操作"
具体请查看互助需知
我知道了
×
提示
确定
请完成安全验证×
copy
已复制链接
快去分享给好友吧!
我知道了
右上角分享
点击右上角分享
0
联系我们:info@booksci.cn Book学术提供免费学术资源搜索服务,方便国内外学者检索中英文文献。致力于提供最便捷和优质的服务体验。 Copyright © 2023 布克学术 All rights reserved.
京ICP备2023020795号-1
ghs 京公网安备 11010802042870号
Book学术文献互助
Book学术文献互助群
群 号:604180095
Book学术官方微信