New Data on the Endoparasitic Fauna of the Northern White-Breasted Hedgehog Erinaceus roumanicus Barett-Hamilton 1900, in Romania

IF 1.5 3区 农林科学 Q4 PARASITOLOGY
Oana Cristiana Vasiliu, Ioan Liviu Mitrea, Tiberiu C. Sahlean, Mariana Ionita
{"title":"New Data on the Endoparasitic Fauna of the Northern White-Breasted Hedgehog Erinaceus roumanicus Barett-Hamilton 1900, in Romania","authors":"Oana Cristiana Vasiliu,&nbsp;Ioan Liviu Mitrea,&nbsp;Tiberiu C. Sahlean,&nbsp;Mariana Ionita","doi":"10.1007/s11686-025-01075-2","DOIUrl":null,"url":null,"abstract":"<div><h3>Purpose</h3><p>Despite increasing interest in hedgehog parasitology across Europe, the endoparasitic fauna of the northern white-breasted hedgehog (<i>Erinaceus roumanicus</i>) in Romania remains insufficiently documented. This study aimed to assess the prevalence and diversity of endoparasitic infections and evaluate the influence of age, sex, and habitat on infection patterns.</p><h3>Methods</h3><p>Between March 2021 and June 2022, data and samples were collected from 135 hedgehogs across Romania, primarily from the Bucharest Metropolitan Area (90/135). Coprological analysis was performed on 97 live individuals admitted to a wildlife rehabilitation centre, using a flotation technique with hyper-saturated sodium chloride solution and the Baermann method. Necropsies were conducted on 38 deceased individuals. Parasites were preserved in 70% ethanol and identified using morphological keys.</p><h3>Results</h3><p>Endoparasites were detected in 82.47% (80/97) of hedgehogs examined by coproscopy, with mixed infections in 40.21% (39/97). Six parasite species were identified: <i>Crenosoma striatum</i> (61.86%), <i>Capillaria</i> spp. (23.71%), <i>Eucoleus aerophilus</i> (15.46%), <i>Hymenolepis erinacei</i> (14.43%), <i>Brachylaemus erinacei</i> (2.06%), and <i>Cystoisospora rastegaievae</i> (26.80%). Necropsy revealed a helminth prevalence of 76.3% (29/38), with <i>Physaloptera clausa</i> (55.26%) and <i>Nephridiacanthus major</i> (5.26%) found exclusively post-mortem. Statistical analysis of coprological data showed significantly higher <i>C. striatum</i> prevalence in adults (73.68%) compared to juveniles (31.82%), and in males (71.74%) versus females (52.94%) (<i>p</i> &lt; 0.05).</p><h3>Conclusion</h3><p>This study provides the first comprehensive overview of endoparasites in <i>E. roumanicus</i> in Romania, highlighting notable infection rates and species richness. Results emphasize the influence of age and sex on infection trends, the need for zoonotic risk monitoring, and further research on the potential long-term impacts of parasitism on urban hedgehog populations.</p></div>","PeriodicalId":6932,"journal":{"name":"Acta Parasitologica","volume":"70 4","pages":""},"PeriodicalIF":1.5000,"publicationDate":"2025-06-16","publicationTypes":"Journal Article","fieldsOfStudy":null,"isOpenAccess":false,"openAccessPdf":"","citationCount":"0","resultStr":null,"platform":"Semanticscholar","paperid":null,"PeriodicalName":"Acta Parasitologica","FirstCategoryId":"3","ListUrlMain":"https://link.springer.com/article/10.1007/s11686-025-01075-2","RegionNum":3,"RegionCategory":"农林科学","ArticlePicture":[],"TitleCN":null,"AbstractTextCN":null,"PMCID":null,"EPubDate":"","PubModel":"","JCR":"Q4","JCRName":"PARASITOLOGY","Score":null,"Total":0}
引用次数: 0

Abstract

Purpose

Despite increasing interest in hedgehog parasitology across Europe, the endoparasitic fauna of the northern white-breasted hedgehog (Erinaceus roumanicus) in Romania remains insufficiently documented. This study aimed to assess the prevalence and diversity of endoparasitic infections and evaluate the influence of age, sex, and habitat on infection patterns.

Methods

Between March 2021 and June 2022, data and samples were collected from 135 hedgehogs across Romania, primarily from the Bucharest Metropolitan Area (90/135). Coprological analysis was performed on 97 live individuals admitted to a wildlife rehabilitation centre, using a flotation technique with hyper-saturated sodium chloride solution and the Baermann method. Necropsies were conducted on 38 deceased individuals. Parasites were preserved in 70% ethanol and identified using morphological keys.

Results

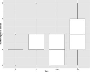
Endoparasites were detected in 82.47% (80/97) of hedgehogs examined by coproscopy, with mixed infections in 40.21% (39/97). Six parasite species were identified: Crenosoma striatum (61.86%), Capillaria spp. (23.71%), Eucoleus aerophilus (15.46%), Hymenolepis erinacei (14.43%), Brachylaemus erinacei (2.06%), and Cystoisospora rastegaievae (26.80%). Necropsy revealed a helminth prevalence of 76.3% (29/38), with Physaloptera clausa (55.26%) and Nephridiacanthus major (5.26%) found exclusively post-mortem. Statistical analysis of coprological data showed significantly higher C. striatum prevalence in adults (73.68%) compared to juveniles (31.82%), and in males (71.74%) versus females (52.94%) (p < 0.05).

Conclusion

This study provides the first comprehensive overview of endoparasites in E. roumanicus in Romania, highlighting notable infection rates and species richness. Results emphasize the influence of age and sex on infection trends, the need for zoonotic risk monitoring, and further research on the potential long-term impacts of parasitism on urban hedgehog populations.

Abstract Image

罗马尼亚北部白胸刺猬Erinaceus roumanicus Barett-Hamilton 1900的内寄生区系新资料。
目的:尽管欧洲对刺猬寄生虫学的兴趣日益浓厚,但罗马尼亚北部白胸刺猬(Erinaceus roumanicus)的内寄生动物群仍未得到充分记录。本研究旨在评估寄生虫感染的患病率和多样性,并评估年龄、性别和栖息地对感染模式的影响。方法:在2021年3月至2022年6月期间,收集了罗马尼亚各地135只刺猬的数据和样本,主要来自布加勒斯特大都市区(90/135)。使用过饱和氯化钠溶液和Baermann方法的浮选技术,对野生动物康复中心接收的97个活体个体进行了血液学分析。对38名死者进行了尸检。寄生虫保存在70%乙醇中,用形态键进行鉴定。结果:共检出82.47%(80/97)的刺猬体内有寄生虫,其中40.21%(39/97)为混合性感染。共鉴定出6种寄生虫:纹状体Crenosoma(61.86%)、毛线虫(23.71%)、嗜气桉(15.46%)、羊膜绦虫(14.43%)、羊膜短肢绦虫(2.06%)和拉氏囊异孢子虫(26.80%)。尸检显示,寄生虫患病率为76.3%(29/38),其中死后只发现了小绒翅虫(55.26%)和大肾棘虫(5.26%)。copro学数据统计分析显示,纹状体在成虫中的患病率(73.68%)显著高于幼虫(31.82%),雄虫(71.74%)显著高于雌虫(52.94%)。(p)结论:本研究首次全面概述了罗马尼亚鲁曼尼伊蚊体内寄生虫的情况,显示出显著的感染率和物种丰富度。结果强调了年龄和性别对感染趋势的影响,需要进行人畜共患风险监测,并进一步研究寄生虫对城市刺猬种群的潜在长期影响。
本文章由计算机程序翻译,如有差异,请以英文原文为准。
求助全文
约1分钟内获得全文 求助全文
来源期刊
Acta Parasitologica
Acta Parasitologica 医学-寄生虫学
CiteScore
3.10
自引率
6.70%
发文量
149
审稿时长
6-12 weeks
期刊介绍: Acta Parasitologica is an international journal covering the latest advances in the subject. Acta Parasitologica publishes original papers on all aspects of parasitology and host-parasite relationships, including the latest discoveries in biochemical and molecular biology of parasites, their physiology, morphology, taxonomy and ecology, as well as original research papers on immunology, pathology, and epidemiology of parasitic diseases in the context of medical, veterinary and biological sciences. The journal also publishes short research notes, invited review articles, book reviews. The journal was founded in 1953 as "Acta Parasitologica Polonica" by the Polish Parasitological Society and since 1954 has been published by W. Stefanski Institute of Parasitology of the Polish Academy of Sciences in Warsaw. Since 1992 in has appeared as Acta Parasitologica in four issues per year.
×
引用
GB/T 7714-2015
复制
MLA
复制
APA
复制
导出至
BibTeX EndNote RefMan NoteFirst NoteExpress
×
提示
您的信息不完整,为了账户安全,请先补充。
现在去补充
×
提示
您因"违规操作"
具体请查看互助需知
我知道了
×
提示
确定
请完成安全验证×
copy
已复制链接
快去分享给好友吧!
我知道了
右上角分享
点击右上角分享
0
联系我们:info@booksci.cn Book学术提供免费学术资源搜索服务,方便国内外学者检索中英文文献。致力于提供最便捷和优质的服务体验。 Copyright © 2023 布克学术 All rights reserved.
京ICP备2023020795号-1
ghs 京公网安备 11010802042870号
Book学术文献互助
Book学术文献互助群
群 号:604180095
Book学术官方微信