Ca2+-Driven Enhancement of Anodic Performance and Sulfur Utilization for Magnesium–Sulfur Batteries

IF 6.6 2区 化学 Q1 CHEMISTRY, MULTIDISCIPLINARY
ChemSusChem Pub Date : 2025-06-16 DOI:10.1002/cssc.202500999
Reona Iimura, Sibylle Riedel, Hiroaki Kobayashi, Masaki Matsui, Itaru Honma, Maximilian Fichtner, Zhirong Zhao-Karger
{"title":"Ca2+-Driven Enhancement of Anodic Performance and Sulfur Utilization for Magnesium–Sulfur Batteries","authors":"Reona Iimura,&nbsp;Sibylle Riedel,&nbsp;Hiroaki Kobayashi,&nbsp;Masaki Matsui,&nbsp;Itaru Honma,&nbsp;Maximilian Fichtner,&nbsp;Zhirong Zhao-Karger","doi":"10.1002/cssc.202500999","DOIUrl":null,"url":null,"abstract":"<p>Magnesium–sulfur (Mg–S) batteries are emerging as promising energy storage systems due to their cost-effectiveness, safety, and high theoretical volumetric energy density. However, their practical implementation is hindered by sluggish sulfur redox kinetics with Mg<sup>2+</sup> and severe polysulfide shuttling. Here, a double-divalent Mg–Ca hybrid electrolyte is introduced, where a small amount of Ca<sup>2+</sup> additive significantly enhances sulfur redox kinetics, leading to higher sulfur utilization. Notably, Ca<sup>2+</sup> primarily facilitates the solid-to-solid conversion of disulfide to sulfide. In addition to the cathode reaction, the Mg–Ca hybrid electrolyte also contributes to the anode reaction; it enables smoother Mg plating and reduces overpotential with the long cycle (&gt;1000 cycles). For mitigating the polysulfide shuttling, the glass fiber separator with ultrasmall α-MnO<sub>2</sub> nanoparticles is modified to adsorb polysulfide. This synergistic strategy of electrolyte and separator engineering enables the Mg–S battery to achieve an initial capacity exceeding 1000 mAh g<sup>−1</sup> and extended cycling stability. These findings highlight the potential of Mg–Ca hybrid electrolytes and nanosized α-MnO<sub>2</sub>-modified separators in the development of high-performance Mg–S batteries.</p>","PeriodicalId":149,"journal":{"name":"ChemSusChem","volume":"18 17","pages":""},"PeriodicalIF":6.6000,"publicationDate":"2025-06-16","publicationTypes":"Journal Article","fieldsOfStudy":null,"isOpenAccess":false,"openAccessPdf":"https://chemistry-europe.onlinelibrary.wiley.com/doi/epdf/10.1002/cssc.202500999","citationCount":"0","resultStr":null,"platform":"Semanticscholar","paperid":null,"PeriodicalName":"ChemSusChem","FirstCategoryId":"92","ListUrlMain":"https://chemistry-europe.onlinelibrary.wiley.com/doi/10.1002/cssc.202500999","RegionNum":2,"RegionCategory":"化学","ArticlePicture":[],"TitleCN":null,"AbstractTextCN":null,"PMCID":null,"EPubDate":"","PubModel":"","JCR":"Q1","JCRName":"CHEMISTRY, MULTIDISCIPLINARY","Score":null,"Total":0}
引用次数: 0

Abstract

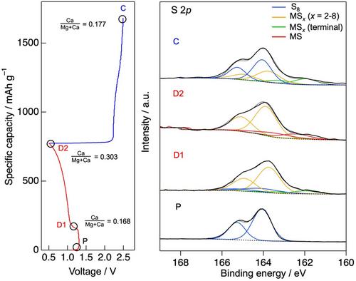
Magnesium–sulfur (Mg–S) batteries are emerging as promising energy storage systems due to their cost-effectiveness, safety, and high theoretical volumetric energy density. However, their practical implementation is hindered by sluggish sulfur redox kinetics with Mg2+ and severe polysulfide shuttling. Here, a double-divalent Mg–Ca hybrid electrolyte is introduced, where a small amount of Ca2+ additive significantly enhances sulfur redox kinetics, leading to higher sulfur utilization. Notably, Ca2+ primarily facilitates the solid-to-solid conversion of disulfide to sulfide. In addition to the cathode reaction, the Mg–Ca hybrid electrolyte also contributes to the anode reaction; it enables smoother Mg plating and reduces overpotential with the long cycle (>1000 cycles). For mitigating the polysulfide shuttling, the glass fiber separator with ultrasmall α-MnO2 nanoparticles is modified to adsorb polysulfide. This synergistic strategy of electrolyte and separator engineering enables the Mg–S battery to achieve an initial capacity exceeding 1000 mAh g−1 and extended cycling stability. These findings highlight the potential of Mg–Ca hybrid electrolytes and nanosized α-MnO2-modified separators in the development of high-performance Mg–S batteries.

Abstract Image

Abstract Image

Abstract Image

钙离子驱动镁硫电池阳极性能及硫利用的研究。
镁硫(Mg-S)电池因其成本效益、安全性和较高的理论体积能量密度而成为一种有前途的储能系统。然而,它们的实际实施受到缓慢的硫氧化还原动力学和严重的多硫穿梭的阻碍。在这里,我们引入了一种双二价Mg-Ca混合电解质,其中少量的Ca2+添加剂显著提高了硫的氧化还原动力学,从而提高了硫的利用率。值得注意的是,Ca2+主要促进二硫到硫化物的固体到固体转化。除阴极反应外,Mg-Ca杂化电解质还有助于阳极反应;它使镀镁更光滑,减少过电位与长周期(>1000循环)。为了减少多硫化物的穿梭,我们用超小的α-MnO2纳米粒子对玻璃纤维分离器进行了改性,以吸附多硫化物。这种电解液和隔膜工程的协同策略使Mg-S电池的初始容量超过1000 mAh g-1,并延长了循环稳定性。这些发现突出了Mg-Ca混合电解质和纳米级α- mno2改性分离器在高性能Mg-S电池开发中的潜力。
本文章由计算机程序翻译,如有差异,请以英文原文为准。
求助全文
约1分钟内获得全文 求助全文
来源期刊
ChemSusChem
ChemSusChem 化学-化学综合
CiteScore
15.80
自引率
4.80%
发文量
555
审稿时长
1.8 months
期刊介绍: ChemSusChem Impact Factor (2016): 7.226 Scope: Interdisciplinary journal Focuses on research at the interface of chemistry and sustainability Features the best research on sustainability and energy Areas Covered: Chemistry Materials Science Chemical Engineering Biotechnology
×
引用
GB/T 7714-2015
复制
MLA
复制
APA
复制
导出至
BibTeX EndNote RefMan NoteFirst NoteExpress
×
提示
您的信息不完整,为了账户安全,请先补充。
现在去补充
×
提示
您因"违规操作"
具体请查看互助需知
我知道了
×
提示
确定
请完成安全验证×
copy
已复制链接
快去分享给好友吧!
我知道了
右上角分享
点击右上角分享
0
联系我们:info@booksci.cn Book学术提供免费学术资源搜索服务,方便国内外学者检索中英文文献。致力于提供最便捷和优质的服务体验。 Copyright © 2023 布克学术 All rights reserved.
京ICP备2023020795号-1
ghs 京公网安备 11010802042870号
Book学术文献互助
Book学术文献互助群
群 号:604180095
Book学术官方微信