StandUPTV: a full-factorial optimization trial to reduce sedentary screen time among adults.

IF 5.5 1区 医学 Q1 NUTRITION & DIETETICS
Sarah K Keadle, Kristina Hasanaj, Krista S Leonard, Arlene Fernandez, Lena Freid, Skylar Weiss, Maria Legato, Harsh Anand, Todd A Hagobian, Siobhan M Phillips, Suzanne Phelan, Kate Guastaferro, Ryan G N Seltzer, Matthew P Buman
{"title":"StandUPTV: a full-factorial optimization trial to reduce sedentary screen time among adults.","authors":"Sarah K Keadle, Kristina Hasanaj, Krista S Leonard, Arlene Fernandez, Lena Freid, Skylar Weiss, Maria Legato, Harsh Anand, Todd A Hagobian, Siobhan M Phillips, Suzanne Phelan, Kate Guastaferro, Ryan G N Seltzer, Matthew P Buman","doi":"10.1186/s12966-025-01771-2","DOIUrl":null,"url":null,"abstract":"<p><strong>Background: </strong>Using the multiphase optimization strategy (MOST) framework, we aimed to identify an optimized mHealth-delivered intervention for reducing recreational sedentary screen time (rSST) by at least 60 min/day among adults.</p><p><strong>Methods: </strong>Eligible participants were 23-64 years old and self-reported elevated rSST (> 3 h/day). Following a 7-day baseline, participants received a core mHealth application (self-monitoring and 50% reduction target and educational materials) and were randomly assigned to three additional components set to on/off in a full-factorial (2<sup>3</sup>) experiment: LOCKOUT: rSST electronically restricted; TEXT: rSST reduction prompts; and EARN: rSST through physical activity. rSST was assessed at baseline and 16 weeks via an integrated measure that included objectively assessed sedentary time (activPAL accelerometer) and screen time (TV Wifi plugs and tablet usage). We used a linear mixed effect model to evaluate the change in rSST for the three intervention components and their interactions.</p><p><strong>Results: </strong>A total of 82% of the randomized participants (N = 110) were female, with a mean ± SD age of 41 ± 11.7 y and a BMI of 29.7 ± 7.8 kg/m2, and their mean (95% CI) rSST was 184.7 (172.8, 196.5) min/day at baseline. The expected difference (baseline vs. 16 weeks) in rSST was greatest for the intervention versions with the core plus EARN on with an average reduction of -118.1 (-163.0, -73.1) min/day and for core plus LOCKOUT, TEXT, & EARN on (-125.7 [-172.0, -79.3] min/day).</p><p><strong>Conclusions: </strong>We identified several promising intervention versions that exceeded our optimization objective. This study provides important evidence on efficacious multicomponent interventions that should be moved forward to the evaluation phase of the MOST framework to test the effect of rSST reductions on health outcomes.</p><p><strong>Trial registration: </strong>(clinicaltrials.gov NCT04464993).</p>","PeriodicalId":50336,"journal":{"name":"International Journal of Behavioral Nutrition and Physical Activity","volume":"22 1","pages":"77"},"PeriodicalIF":5.5000,"publicationDate":"2025-06-13","publicationTypes":"Journal Article","fieldsOfStudy":null,"isOpenAccess":false,"openAccessPdf":"https://www.ncbi.nlm.nih.gov/pmc/articles/PMC12166558/pdf/","citationCount":"0","resultStr":null,"platform":"Semanticscholar","paperid":null,"PeriodicalName":"International Journal of Behavioral Nutrition and Physical Activity","FirstCategoryId":"3","ListUrlMain":"https://doi.org/10.1186/s12966-025-01771-2","RegionNum":1,"RegionCategory":"医学","ArticlePicture":[],"TitleCN":null,"AbstractTextCN":null,"PMCID":null,"EPubDate":"","PubModel":"","JCR":"Q1","JCRName":"NUTRITION & DIETETICS","Score":null,"Total":0}
引用次数: 0

Abstract

Background: Using the multiphase optimization strategy (MOST) framework, we aimed to identify an optimized mHealth-delivered intervention for reducing recreational sedentary screen time (rSST) by at least 60 min/day among adults.

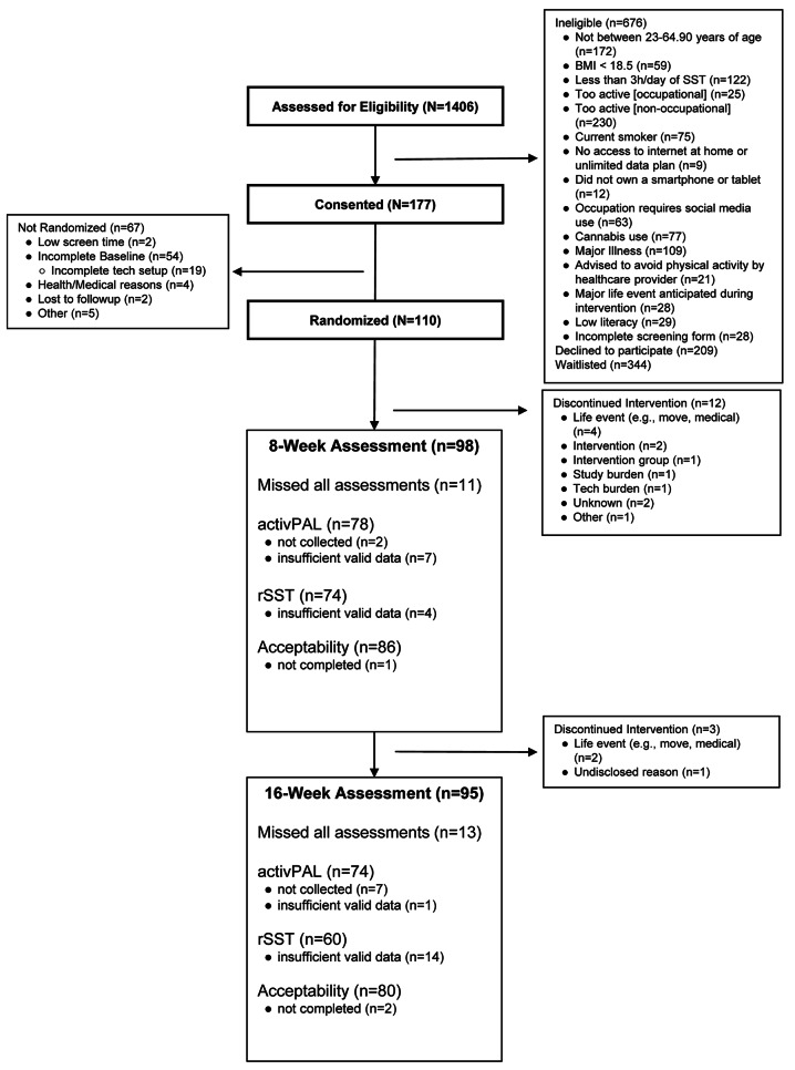
Methods: Eligible participants were 23-64 years old and self-reported elevated rSST (> 3 h/day). Following a 7-day baseline, participants received a core mHealth application (self-monitoring and 50% reduction target and educational materials) and were randomly assigned to three additional components set to on/off in a full-factorial (23) experiment: LOCKOUT: rSST electronically restricted; TEXT: rSST reduction prompts; and EARN: rSST through physical activity. rSST was assessed at baseline and 16 weeks via an integrated measure that included objectively assessed sedentary time (activPAL accelerometer) and screen time (TV Wifi plugs and tablet usage). We used a linear mixed effect model to evaluate the change in rSST for the three intervention components and their interactions.

Results: A total of 82% of the randomized participants (N = 110) were female, with a mean ± SD age of 41 ± 11.7 y and a BMI of 29.7 ± 7.8 kg/m2, and their mean (95% CI) rSST was 184.7 (172.8, 196.5) min/day at baseline. The expected difference (baseline vs. 16 weeks) in rSST was greatest for the intervention versions with the core plus EARN on with an average reduction of -118.1 (-163.0, -73.1) min/day and for core plus LOCKOUT, TEXT, & EARN on (-125.7 [-172.0, -79.3] min/day).

Conclusions: We identified several promising intervention versions that exceeded our optimization objective. This study provides important evidence on efficacious multicomponent interventions that should be moved forward to the evaluation phase of the MOST framework to test the effect of rSST reductions on health outcomes.

Trial registration: (clinicaltrials.gov NCT04464993).

Abstract Image

Abstract Image

站立电视:减少成年人久坐屏幕时间的全因子优化试验。
背景:使用多阶段优化策略(MOST)框架,我们旨在确定一种优化的移动健康提供的干预措施,以减少成人娱乐性久坐屏幕时间(rSST)至少60分钟/天。方法:符合条件的参与者年龄为23-64岁,自我报告rSST升高(>.3 h/天)。在7天的基线之后,参与者接受了核心移动健康应用程序(自我监测和50%减少目标和教育材料),并在全因子(23)实验中随机分配到三个设置为开/关的额外组件:锁定:rSST电子限制;文本:rSST还原提示;EARN:通过身体活动获得rSST。rSST在基线和16周时通过综合测量进行评估,包括客观评估久坐时间(activPAL加速度计)和屏幕时间(电视Wifi插头和平板电脑使用情况)。我们使用线性混合效应模型来评估三个干预成分的rSST变化及其相互作用。结果:共有82%的随机受试者(N = 110)为女性,平均±SD年龄为41±11.7岁,BMI为29.7±7.8 kg/m2,基线时的平均(95% CI) rSST为184.7 (172.8,196.5)min/day。在core + EARN的干预版本中,rSST的预期差异(基线与16周)最大,平均减少-118.1(-163.0,-73.1)分钟/天,而core + LOCKOUT, TEXT和EARN的干预版本(-125.7[-172.0,-79.3]分钟/天)。结论:我们确定了几个有希望的干预版本,超出了我们的优化目标。本研究为有效的多组分干预提供了重要证据,这些干预应推进到MOST框架的评估阶段,以测试rSST降低对健康结果的影响。试验注册:(clinicaltrials.gov NCT04464993)。
本文章由计算机程序翻译,如有差异,请以英文原文为准。
求助全文
约1分钟内获得全文 求助全文
来源期刊
CiteScore
13.80
自引率
3.40%
发文量
138
审稿时长
4-8 weeks
期刊介绍: International Journal of Behavioral Nutrition and Physical Activity (IJBNPA) is an open access, peer-reviewed journal offering high quality articles, rapid publication and wide diffusion in the public domain. IJBNPA is devoted to furthering the understanding of the behavioral aspects of diet and physical activity and is unique in its inclusion of multiple levels of analysis, including populations, groups and individuals and its inclusion of epidemiology, and behavioral, theoretical and measurement research areas.
×
引用
GB/T 7714-2015
复制
MLA
复制
APA
复制
导出至
BibTeX EndNote RefMan NoteFirst NoteExpress
×
提示
您的信息不完整,为了账户安全,请先补充。
现在去补充
×
提示
您因"违规操作"
具体请查看互助需知
我知道了
×
提示
确定
请完成安全验证×
copy
已复制链接
快去分享给好友吧!
我知道了
右上角分享
点击右上角分享
0
联系我们:info@booksci.cn Book学术提供免费学术资源搜索服务,方便国内外学者检索中英文文献。致力于提供最便捷和优质的服务体验。 Copyright © 2023 布克学术 All rights reserved.
京ICP备2023020795号-1
ghs 京公网安备 11010802042870号
Book学术文献互助
Book学术文献互助群
群 号:604180095
Book学术官方微信