Changes in waterfowl movement behavior in response to hunting pressure.

IF 3.9 1区 生物学 Q2 ECOLOGY
Karen E Beatty, Nathaniel R Huck, Frances E Buderman
{"title":"Changes in waterfowl movement behavior in response to hunting pressure.","authors":"Karen E Beatty, Nathaniel R Huck, Frances E Buderman","doi":"10.1186/s40462-025-00565-2","DOIUrl":null,"url":null,"abstract":"<p><strong>Background: </strong>Anthropogenic activity can modify how wildlife perceives risks and rewards across the landscape (the 'Landscape of Fear') and affect animal movement and behavior. Studying movement patterns allows researchers to infer anti-predator behaviors and their drivers that affect survival. We studied a game species, the Canada goose (Branta canadensis), to understand how hunting affects prey movement and in turn guide management decisions to maximize species abundance and hunting.</p><p><strong>Methods: </strong>We used GPS receivers to track the movements of geese at two study sites in Pennsylvania during two hunting seasons. The hunting season in this system includes two distinct periods (hunting periods) in which hunting is permitted on alternating days (hunting days). We fitted hidden Markov models to analyze individual movement at three spatiotemporal scales and estimated how various environmental factors, such as habitat and hunting pressure, influenced the transition probabilities between behavioral states.</p><p><strong>Results: </strong>We found that geese were less likely to take flight during hunting periods and on hunting days, and that geese were more likely to transition to a low ambulation state on hunting days. Overall, we found that resident Canada geese employed two nested anti-predator behaviors: individuals proactively decreased their movement during hunting, but as they neared the threat, they were more likely to take flight.</p><p><strong>Conclusions: </strong>Our study provides further evidence that animals maintain a landscape of fear and a schedule of fear. We observed decreased movement during the hunting season and hypothesize that this was due to the stationary nature of risk (hunting blinds). Based on our results, we hypothesize that goose movement may be increased during hunting with an unpredictable spatial-temporal distribution of risk.</p>","PeriodicalId":54288,"journal":{"name":"Movement Ecology","volume":"13 1","pages":"42"},"PeriodicalIF":3.9000,"publicationDate":"2025-06-12","publicationTypes":"Journal Article","fieldsOfStudy":null,"isOpenAccess":false,"openAccessPdf":"https://www.ncbi.nlm.nih.gov/pmc/articles/PMC12164091/pdf/","citationCount":"0","resultStr":null,"platform":"Semanticscholar","paperid":null,"PeriodicalName":"Movement Ecology","FirstCategoryId":"99","ListUrlMain":"https://doi.org/10.1186/s40462-025-00565-2","RegionNum":1,"RegionCategory":"生物学","ArticlePicture":[],"TitleCN":null,"AbstractTextCN":null,"PMCID":null,"EPubDate":"","PubModel":"","JCR":"Q2","JCRName":"ECOLOGY","Score":null,"Total":0}
引用次数: 0

Abstract

Background: Anthropogenic activity can modify how wildlife perceives risks and rewards across the landscape (the 'Landscape of Fear') and affect animal movement and behavior. Studying movement patterns allows researchers to infer anti-predator behaviors and their drivers that affect survival. We studied a game species, the Canada goose (Branta canadensis), to understand how hunting affects prey movement and in turn guide management decisions to maximize species abundance and hunting.

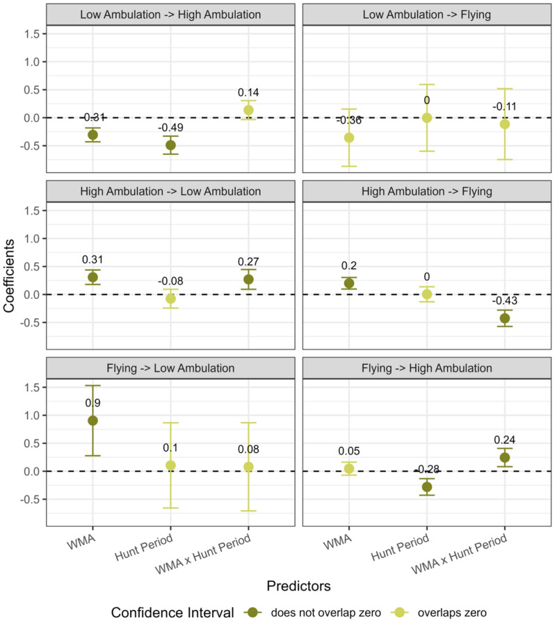
Methods: We used GPS receivers to track the movements of geese at two study sites in Pennsylvania during two hunting seasons. The hunting season in this system includes two distinct periods (hunting periods) in which hunting is permitted on alternating days (hunting days). We fitted hidden Markov models to analyze individual movement at three spatiotemporal scales and estimated how various environmental factors, such as habitat and hunting pressure, influenced the transition probabilities between behavioral states.

Results: We found that geese were less likely to take flight during hunting periods and on hunting days, and that geese were more likely to transition to a low ambulation state on hunting days. Overall, we found that resident Canada geese employed two nested anti-predator behaviors: individuals proactively decreased their movement during hunting, but as they neared the threat, they were more likely to take flight.

Conclusions: Our study provides further evidence that animals maintain a landscape of fear and a schedule of fear. We observed decreased movement during the hunting season and hypothesize that this was due to the stationary nature of risk (hunting blinds). Based on our results, we hypothesize that goose movement may be increased during hunting with an unpredictable spatial-temporal distribution of risk.

Abstract Image

Abstract Image

Abstract Image

水禽在狩猎压力下运动行为的变化。
背景:人为活动可以改变野生动物如何感知景观中的风险和回报(“恐惧景观”),并影响动物的运动和行为。通过研究运动模式,研究人员可以推断出反捕食者的行为及其影响生存的驱动因素。我们研究了一种狩猎物种,加拿大鹅(Branta canadensis),以了解狩猎如何影响猎物的运动,进而指导管理决策,以最大限度地提高物种丰度和狩猎量。方法:在两个狩猎季节,我们使用GPS接收器跟踪宾夕法尼亚州两个研究地点的鹅的运动。在这个制度中,狩猎季节包括两个不同的时期(狩猎期),其中允许在交替的日子(狩猎日)狩猎。我们拟合隐马尔可夫模型,在三个时空尺度上分析个体运动,并估计不同环境因素(如栖息地和狩猎压力)如何影响行为状态之间的转换概率。结果:我们发现鹅在狩猎期和狩猎日飞行的可能性较小,在狩猎日雁更容易过渡到低移动状态。总体而言,我们发现居住的加拿大鹅采用了两种巢式反捕食者行为:个体在狩猎期间主动减少运动,但当它们接近威胁时,它们更有可能逃跑。结论:我们的研究提供了进一步的证据,证明动物保持着恐惧的景观和恐惧的时间表。我们观察到在狩猎季节活动减少,并假设这是由于风险的静止性质(狩猎盲眼)。根据我们的研究结果,我们假设在狩猎期间鹅的运动可能会增加,风险的时空分布不可预测。
本文章由计算机程序翻译,如有差异,请以英文原文为准。
求助全文
约1分钟内获得全文 求助全文
来源期刊
Movement Ecology
Movement Ecology Agricultural and Biological Sciences-Ecology, Evolution, Behavior and Systematics
CiteScore
6.60
自引率
4.90%
发文量
47
审稿时长
23 weeks
期刊介绍: Movement Ecology is an open-access interdisciplinary journal publishing novel insights from empirical and theoretical approaches into the ecology of movement of the whole organism - either animals, plants or microorganisms - as the central theme. We welcome manuscripts on any taxa and any movement phenomena (e.g. foraging, dispersal and seasonal migration) addressing important research questions on the patterns, mechanisms, causes and consequences of organismal movement. Manuscripts will be rigorously peer-reviewed to ensure novelty and high quality.
×
引用
GB/T 7714-2015
复制
MLA
复制
APA
复制
导出至
BibTeX EndNote RefMan NoteFirst NoteExpress
×
提示
您的信息不完整,为了账户安全,请先补充。
现在去补充
×
提示
您因"违规操作"
具体请查看互助需知
我知道了
×
提示
确定
请完成安全验证×
copy
已复制链接
快去分享给好友吧!
我知道了
右上角分享
点击右上角分享
0
联系我们:info@booksci.cn Book学术提供免费学术资源搜索服务,方便国内外学者检索中英文文献。致力于提供最便捷和优质的服务体验。 Copyright © 2023 布克学术 All rights reserved.
京ICP备2023020795号-1
ghs 京公网安备 11010802042870号
Book学术文献互助
Book学术文献互助群
群 号:604180095
Book学术官方微信