Post-Stroke PTSD: The Protective Role of CCR5-Δ32 Polymorphism.

Q1 Psychology
Chronic Stress Pub Date : 2025-06-09 eCollection Date: 2025-01-01 DOI:10.1177/24705470251345245
Hen Hallevi, Oren Tene, Jeremy Molad, Aviva Alpernas, Dana Niry, Saly Usher, Lital Feldinger, Estelle Seyman, Einor Ben Assayag
{"title":"Post-Stroke PTSD: The Protective Role of CCR5-Δ32 Polymorphism.","authors":"Hen Hallevi, Oren Tene, Jeremy Molad, Aviva Alpernas, Dana Niry, Saly Usher, Lital Feldinger, Estelle Seyman, Einor Ben Assayag","doi":"10.1177/24705470251345245","DOIUrl":null,"url":null,"abstract":"<p><strong>Background: </strong>Up to 25% of stroke survivors develop post-traumatic stress disorder (PTSD) symptoms, yet the predisposing factors remain largely unknown. The C-C-Chemokine receptor-5 gene (CCR5) loss-of-function mutation (LOFM, CCR5-Δ32) has been identified as a protective factor against post-stroke depression. This study investigates whether CCR5-Δ32 also confers protection against post-stroke PTSD, in conjunction with two additional polymorphisms: the 5-HTTLPR in the serotonin transporter gene and the BDNF Val66Met variant.</p><p><strong>Methods: </strong>We conducted a prospective analysis of 432 survivors of first-ever mild-to-moderate ischemic stroke, assessing PTSD symptomatology at 6, 12, and 24 months post-stroke. Genetic screening for CCR5-Δ32 status and PTSD symptom data were available for these participants.</p><p><strong>Results: </strong>PTSD was diagnosed in 48 participants (11%) within the first year post-stroke. CCR5-Δ32 carriers exhibited significantly fewer PTSD symptoms at 6, 12, and 24 months compared to non-carriers (<i>P</i> < .001, <i>P</i> < .001, <i>P</i> = .02, respectively), with sustained improvement over time. Multivariate analysis confirmed that CCR5-Δ32 status was independently associated with lower PTSD risk after adjusting for relevant confounders. Furthermore, individuals with a maladaptive coping style who were non-carriers of CCR5-Δ32 exhibited a higher risk of PTSD development (HR = 4.03; 95% CI, 1.95-6.32, <i>P</i> < .001). Carriers of both 5-HTTLPR-L and CCR5-Δ32 had significantly lower PTSD symptoms at 6 and 12 months post-stroke (<i>P</i> = .026, <i>P</i> = .05), as did carriers of both the BDNF Val allele and CCR5-Δ32 at 6 months (<i>P</i> = .022).</p><p><strong>Conclusions: </strong>Our findings suggest that CCR5-Δ32 carriers are less likely to develop PTSD symptoms following stroke, including individuals with pre-existing maladaptive coping styles. These results highlight a potential genetic target for future intervention strategies, with CCR5 blockade emerging as a promising therapeutic avenue for post-stroke PTSD prevention.</p>","PeriodicalId":52315,"journal":{"name":"Chronic Stress","volume":"9 ","pages":"24705470251345245"},"PeriodicalIF":0.0000,"publicationDate":"2025-06-09","publicationTypes":"Journal Article","fieldsOfStudy":null,"isOpenAccess":false,"openAccessPdf":"https://www.ncbi.nlm.nih.gov/pmc/articles/PMC12159479/pdf/","citationCount":"0","resultStr":null,"platform":"Semanticscholar","paperid":null,"PeriodicalName":"Chronic Stress","FirstCategoryId":"1085","ListUrlMain":"https://doi.org/10.1177/24705470251345245","RegionNum":0,"RegionCategory":null,"ArticlePicture":[],"TitleCN":null,"AbstractTextCN":null,"PMCID":null,"EPubDate":"2025/1/1 0:00:00","PubModel":"eCollection","JCR":"Q1","JCRName":"Psychology","Score":null,"Total":0}
引用次数: 0

Abstract

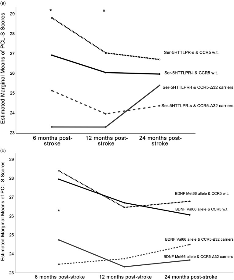
Background: Up to 25% of stroke survivors develop post-traumatic stress disorder (PTSD) symptoms, yet the predisposing factors remain largely unknown. The C-C-Chemokine receptor-5 gene (CCR5) loss-of-function mutation (LOFM, CCR5-Δ32) has been identified as a protective factor against post-stroke depression. This study investigates whether CCR5-Δ32 also confers protection against post-stroke PTSD, in conjunction with two additional polymorphisms: the 5-HTTLPR in the serotonin transporter gene and the BDNF Val66Met variant.

Methods: We conducted a prospective analysis of 432 survivors of first-ever mild-to-moderate ischemic stroke, assessing PTSD symptomatology at 6, 12, and 24 months post-stroke. Genetic screening for CCR5-Δ32 status and PTSD symptom data were available for these participants.

Results: PTSD was diagnosed in 48 participants (11%) within the first year post-stroke. CCR5-Δ32 carriers exhibited significantly fewer PTSD symptoms at 6, 12, and 24 months compared to non-carriers (P < .001, P < .001, P = .02, respectively), with sustained improvement over time. Multivariate analysis confirmed that CCR5-Δ32 status was independently associated with lower PTSD risk after adjusting for relevant confounders. Furthermore, individuals with a maladaptive coping style who were non-carriers of CCR5-Δ32 exhibited a higher risk of PTSD development (HR = 4.03; 95% CI, 1.95-6.32, P < .001). Carriers of both 5-HTTLPR-L and CCR5-Δ32 had significantly lower PTSD symptoms at 6 and 12 months post-stroke (P = .026, P = .05), as did carriers of both the BDNF Val allele and CCR5-Δ32 at 6 months (P = .022).

Conclusions: Our findings suggest that CCR5-Δ32 carriers are less likely to develop PTSD symptoms following stroke, including individuals with pre-existing maladaptive coping styles. These results highlight a potential genetic target for future intervention strategies, with CCR5 blockade emerging as a promising therapeutic avenue for post-stroke PTSD prevention.

Abstract Image

Abstract Image

Abstract Image

卒中后PTSD: CCR5-Δ32多态性的保护作用。
背景:高达25%的中风幸存者会出现创伤后应激障碍(PTSD)症状,但其诱发因素在很大程度上仍然未知。c - c趋化因子受体-5基因(CCR5)功能丧失突变(LOFM, CCR5-Δ32)已被确定为卒中后抑郁的保护因素。这项研究调查了CCR5-Δ32是否也与另外两种多态性(血清素转运基因中的5-HTTLPR和BDNF Val66Met变异)一起,对中风后PTSD有保护作用。方法:我们对432例首次轻度至中度缺血性卒中幸存者进行了前瞻性分析,在卒中后6、12和24个月评估PTSD症状。对这些参与者进行CCR5-Δ32状态和PTSD症状的遗传筛查。结果:48名参与者(11%)在中风后一年内被诊断出PTSD。与非携带者相比,CCR5-Δ32携带者在6、12和24个月时表现出的PTSD症状显著减少(P P P =。(分别为02),并随着时间的推移持续改善。多因素分析证实,在调整相关混杂因素后,CCR5-Δ32状态与较低的PTSD风险独立相关。此外,非CCR5-Δ32携带者的适应不良应对方式个体表现出更高的PTSD发展风险(HR = 4.03;95% ci, 1.95 ~ 6.32, p p =。026, P = 0.05), BDNF Val等位基因和CCR5-Δ32携带者在6个月时也是如此(P = 0.022)。结论:我们的研究结果表明,CCR5-Δ32携带者不太可能在中风后出现PTSD症状,包括先前存在适应不良应对方式的个体。这些结果强调了未来干预策略的潜在基因靶点,CCR5阻断正在成为卒中后PTSD预防的有希望的治疗途径。
本文章由计算机程序翻译,如有差异,请以英文原文为准。
求助全文
约1分钟内获得全文 求助全文
来源期刊
Chronic Stress
Chronic Stress Psychology-Clinical Psychology
CiteScore
7.40
自引率
0.00%
发文量
25
审稿时长
6 weeks
×
引用
GB/T 7714-2015
复制
MLA
复制
APA
复制
导出至
BibTeX EndNote RefMan NoteFirst NoteExpress
×
提示
您的信息不完整,为了账户安全,请先补充。
现在去补充
×
提示
您因"违规操作"
具体请查看互助需知
我知道了
×
提示
确定
请完成安全验证×
copy
已复制链接
快去分享给好友吧!
我知道了
右上角分享
点击右上角分享
0
联系我们:info@booksci.cn Book学术提供免费学术资源搜索服务,方便国内外学者检索中英文文献。致力于提供最便捷和优质的服务体验。 Copyright © 2023 布克学术 All rights reserved.
京ICP备2023020795号-1
ghs 京公网安备 11010802042870号
Book学术文献互助
Book学术文献互助群
群 号:604180095
Book学术官方微信