Rapid Ragi: A speed breeding protocol for finger millet.

IF 4.4 2区 生物学 Q1 BIOCHEMICAL RESEARCH METHODS
Sobhan Sajja, Jwala Pranati, S Shyamala, K S Vinutha, Ramya Reddy, Priyanka Joshi, Srinivasulu Pannem, P Rakshit, Yashoda Jadhav, C V Sameer Kumar, Sean Mayes
{"title":"Rapid Ragi: A speed breeding protocol for finger millet.","authors":"Sobhan Sajja, Jwala Pranati, S Shyamala, K S Vinutha, Ramya Reddy, Priyanka Joshi, Srinivasulu Pannem, P Rakshit, Yashoda Jadhav, C V Sameer Kumar, Sean Mayes","doi":"10.1186/s13007-025-01403-7","DOIUrl":null,"url":null,"abstract":"<p><strong>Background: </strong>Climate change is gradually increasing demand for resilient, nutritious crops like finger millet or ragi. Ensuring food security requires researchers to develop improved and adapted cultivars rapidly. Modern techniques such as genomics-assisted breeding have emerged in the previous decade and combined with rapid generation advancement they will offer a step change in the speed of cultivar development.</p><p><strong>Results: </strong>In this study, we developed a repeatable and cost-effective speed breeding protocol for finger millet by modulating the agronomic and physiological components for early generation advancement. A photoperiod of 9-hours, 29 ± 2℃ temperature, 70% relative humidity, 105 plants per 1.5 sq. ft., 0.17% Hoagland's No. 2 solution spray, restricted irrigation and harvesting at physiological maturity successfully reduced 28-54 days across the maturity groups of finger millet. The advantage was validated in segregating populations confirming up to 4-5 generations a year, instead of 1-2 under field conditions.</p><p><strong>Conclusion: </strong>The speed breeding protocol developed reduces the breeding cycle time significantly allowing increased genetic gain. The protocol provides the advantage of rapid development of recombinant inbred lines (RILs), high-throughput phenotyping for biotic and abiotic stresses, and genotyping for early generation selections.</p>","PeriodicalId":20100,"journal":{"name":"Plant Methods","volume":"21 1","pages":"84"},"PeriodicalIF":4.4000,"publicationDate":"2025-06-12","publicationTypes":"Journal Article","fieldsOfStudy":null,"isOpenAccess":false,"openAccessPdf":"https://www.ncbi.nlm.nih.gov/pmc/articles/PMC12160354/pdf/","citationCount":"0","resultStr":null,"platform":"Semanticscholar","paperid":null,"PeriodicalName":"Plant Methods","FirstCategoryId":"99","ListUrlMain":"https://doi.org/10.1186/s13007-025-01403-7","RegionNum":2,"RegionCategory":"生物学","ArticlePicture":[],"TitleCN":null,"AbstractTextCN":null,"PMCID":null,"EPubDate":"","PubModel":"","JCR":"Q1","JCRName":"BIOCHEMICAL RESEARCH METHODS","Score":null,"Total":0}
引用次数: 0

Abstract

Background: Climate change is gradually increasing demand for resilient, nutritious crops like finger millet or ragi. Ensuring food security requires researchers to develop improved and adapted cultivars rapidly. Modern techniques such as genomics-assisted breeding have emerged in the previous decade and combined with rapid generation advancement they will offer a step change in the speed of cultivar development.

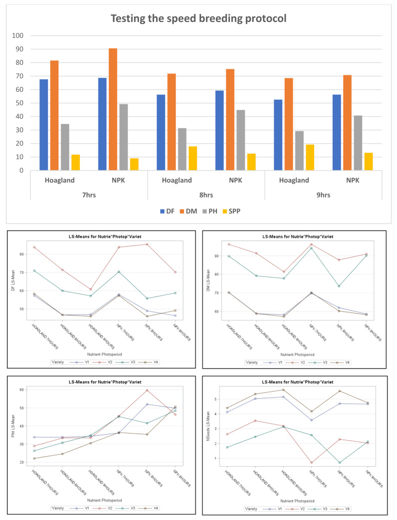
Results: In this study, we developed a repeatable and cost-effective speed breeding protocol for finger millet by modulating the agronomic and physiological components for early generation advancement. A photoperiod of 9-hours, 29 ± 2℃ temperature, 70% relative humidity, 105 plants per 1.5 sq. ft., 0.17% Hoagland's No. 2 solution spray, restricted irrigation and harvesting at physiological maturity successfully reduced 28-54 days across the maturity groups of finger millet. The advantage was validated in segregating populations confirming up to 4-5 generations a year, instead of 1-2 under field conditions.

Conclusion: The speed breeding protocol developed reduces the breeding cycle time significantly allowing increased genetic gain. The protocol provides the advantage of rapid development of recombinant inbred lines (RILs), high-throughput phenotyping for biotic and abiotic stresses, and genotyping for early generation selections.

Abstract Image

Abstract Image

Abstract Image

快速拉吉:指谷子快速育种方案。
背景:气候变化正在逐渐增加对谷子或豚草等有弹性、营养丰富的作物的需求。确保粮食安全需要研究人员迅速开发改良和适应的品种。基因组学辅助育种等现代技术在过去十年中出现,并与快速的世代进步相结合,它们将为品种发展的速度提供一个阶梯式的变化。结果:在本研究中,我们通过调节谷子的农艺和生理成分,制定了一种可重复且具有成本效益的谷子快速育种方案。光照周期为9小时,温度29±2℃,相对湿度70%,每1.5平方米105株。采用Hoagland 2号液喷施、限灌和生理成熟期采收,成功地减少了五指谷子成熟期28 ~ 54天。这种优势在分离种群中得到了验证,每年确认4-5代,而不是在野外条件下确认1-2代。结论:开发的快速育种方案显著缩短了育种周期,从而增加了遗传增益。该方案提供了重组自交系(RILs)的快速开发,生物和非生物胁迫的高通量表型分析,以及早期代选择的基因分型的优势。
本文章由计算机程序翻译,如有差异,请以英文原文为准。
求助全文
约1分钟内获得全文 求助全文
来源期刊
Plant Methods
Plant Methods 生物-植物科学
CiteScore
9.20
自引率
3.90%
发文量
121
审稿时长
2 months
期刊介绍: Plant Methods is an open access, peer-reviewed, online journal for the plant research community that encompasses all aspects of technological innovation in the plant sciences. There is no doubt that we have entered an exciting new era in plant biology. The completion of the Arabidopsis genome sequence, and the rapid progress being made in other plant genomics projects are providing unparalleled opportunities for progress in all areas of plant science. Nevertheless, enormous challenges lie ahead if we are to understand the function of every gene in the genome, and how the individual parts work together to make the whole organism. Achieving these goals will require an unprecedented collaborative effort, combining high-throughput, system-wide technologies with more focused approaches that integrate traditional disciplines such as cell biology, biochemistry and molecular genetics. Technological innovation is probably the most important catalyst for progress in any scientific discipline. Plant Methods’ goal is to stimulate the development and adoption of new and improved techniques and research tools and, where appropriate, to promote consistency of methodologies for better integration of data from different laboratories.
×
引用
GB/T 7714-2015
复制
MLA
复制
APA
复制
导出至
BibTeX EndNote RefMan NoteFirst NoteExpress
×
提示
您的信息不完整,为了账户安全,请先补充。
现在去补充
×
提示
您因"违规操作"
具体请查看互助需知
我知道了
×
提示
确定
请完成安全验证×
copy
已复制链接
快去分享给好友吧!
我知道了
右上角分享
点击右上角分享
0
联系我们:info@booksci.cn Book学术提供免费学术资源搜索服务,方便国内外学者检索中英文文献。致力于提供最便捷和优质的服务体验。 Copyright © 2023 布克学术 All rights reserved.
京ICP备2023020795号-1
ghs 京公网安备 11010802042870号
Book学术文献互助
Book学术文献互助群
群 号:604180095
Book学术官方微信