Metagenomic insight into the vaginal microbiome in women infected with HPV 16 and 18.

IF 9.2 1区 生物学 Q1 BIOTECHNOLOGY & APPLIED MICROBIOLOGY
Da-Ryung Jung, Yeseul Choi, Minsoo Jeong, Vineet Singh, Se Young Jeon, Incheol Seo, Nora Jee-Young Park, Yoon Hee Lee, Ji Young Park, Hyung Soo Han, Jae-Ho Shin, Gun Oh Chong
{"title":"Metagenomic insight into the vaginal microbiome in women infected with HPV 16 and 18.","authors":"Da-Ryung Jung, Yeseul Choi, Minsoo Jeong, Vineet Singh, Se Young Jeon, Incheol Seo, Nora Jee-Young Park, Yoon Hee Lee, Ji Young Park, Hyung Soo Han, Jae-Ho Shin, Gun Oh Chong","doi":"10.1038/s41522-025-00747-1","DOIUrl":null,"url":null,"abstract":"<p><p>Human papillomavirus (HPV) 16 and 18 (HPV 16/18) account for over 70% of cervical cancer (CC) cases, yet their interaction with the vaginal microbiome (VM) remains unclear. This study explored the association between high-risk HPV types (HR-HPVs), VM composition and bacterial function using shotgun metagenomic sequencing. In early-stage cervical lesions, the HPV 16/18 group showed reduced Lactobacillus-dominant community state types compared to other HR-HPVs, while invasive CC exhibited increased pathogenic bacteria, including Streptococcus agalactiae, Fannyhessea vaginae, and Sneathia vaginalis. The VM associated with HPV 16/18 was enriched in immune response and inflammation pathways, whereas other HR-HPVs were linked to cellular metabolism and hormonal signaling. Notably, HPV 16/18 exhibited stronger bacterial-fungal correlations, indicating shifts in the microbial community. Furthermore, 137 metagenome-assembled genomes provided insights into unique microbial genomic signatures. Our study links VM differences with HPV 16/18 oncogenic potential across cervical lesion stages, urging further research for better diagnostics and treatments.</p>","PeriodicalId":19370,"journal":{"name":"npj Biofilms and Microbiomes","volume":"11 1","pages":"105"},"PeriodicalIF":9.2000,"publicationDate":"2025-06-12","publicationTypes":"Journal Article","fieldsOfStudy":null,"isOpenAccess":false,"openAccessPdf":"https://www.ncbi.nlm.nih.gov/pmc/articles/PMC12162855/pdf/","citationCount":"0","resultStr":null,"platform":"Semanticscholar","paperid":null,"PeriodicalName":"npj Biofilms and Microbiomes","FirstCategoryId":"99","ListUrlMain":"https://doi.org/10.1038/s41522-025-00747-1","RegionNum":1,"RegionCategory":"生物学","ArticlePicture":[],"TitleCN":null,"AbstractTextCN":null,"PMCID":null,"EPubDate":"","PubModel":"","JCR":"Q1","JCRName":"BIOTECHNOLOGY & APPLIED MICROBIOLOGY","Score":null,"Total":0}
引用次数: 0

Abstract

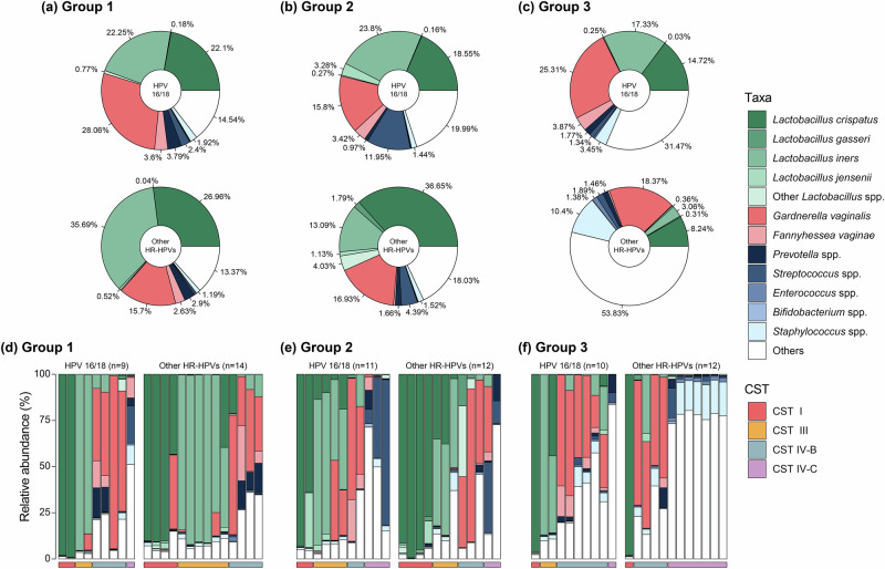
Human papillomavirus (HPV) 16 and 18 (HPV 16/18) account for over 70% of cervical cancer (CC) cases, yet their interaction with the vaginal microbiome (VM) remains unclear. This study explored the association between high-risk HPV types (HR-HPVs), VM composition and bacterial function using shotgun metagenomic sequencing. In early-stage cervical lesions, the HPV 16/18 group showed reduced Lactobacillus-dominant community state types compared to other HR-HPVs, while invasive CC exhibited increased pathogenic bacteria, including Streptococcus agalactiae, Fannyhessea vaginae, and Sneathia vaginalis. The VM associated with HPV 16/18 was enriched in immune response and inflammation pathways, whereas other HR-HPVs were linked to cellular metabolism and hormonal signaling. Notably, HPV 16/18 exhibited stronger bacterial-fungal correlations, indicating shifts in the microbial community. Furthermore, 137 metagenome-assembled genomes provided insights into unique microbial genomic signatures. Our study links VM differences with HPV 16/18 oncogenic potential across cervical lesion stages, urging further research for better diagnostics and treatments.

Abstract Image

Abstract Image

Abstract Image

对感染HPV 16和18的女性阴道微生物组的宏基因组研究
人乳头瘤病毒(HPV) 16和18 (HPV 16/18)占宫颈癌(CC)病例的70%以上,但它们与阴道微生物组(VM)的相互作用尚不清楚。本研究利用散弹枪宏基因组测序技术探讨了高危HPV类型(hr -HPV)、VM组成和细菌功能之间的关系。在早期宫颈病变中,与其他hr -HPV相比,HPV 16/18组显示乳酸菌为主的群落状态类型减少,而侵袭性CC显示致病菌增加,包括无乳链球菌、阴道粉孢菌和阴道Sneathia阴道菌。与HPV 16/18相关的VM在免疫反应和炎症途径中富集,而其他hr -HPV与细胞代谢和激素信号传导有关。值得注意的是,HPV 16/18表现出更强的细菌-真菌相关性,表明微生物群落的变化。此外,137个宏基因组组装的基因组为独特的微生物基因组特征提供了见解。我们的研究将VM差异与HPV 16/18在宫颈病变阶段的致癌潜力联系起来,敦促进一步研究更好的诊断和治疗。
本文章由计算机程序翻译,如有差异,请以英文原文为准。
求助全文
约1分钟内获得全文 求助全文
来源期刊
npj Biofilms and Microbiomes
npj Biofilms and Microbiomes Immunology and Microbiology-Microbiology
CiteScore
12.10
自引率
3.30%
发文量
91
审稿时长
9 weeks
期刊介绍: npj Biofilms and Microbiomes is a comprehensive platform that promotes research on biofilms and microbiomes across various scientific disciplines. The journal facilitates cross-disciplinary discussions to enhance our understanding of the biology, ecology, and communal functions of biofilms, populations, and communities. It also focuses on applications in the medical, environmental, and engineering domains. The scope of the journal encompasses all aspects of the field, ranging from cell-cell communication and single cell interactions to the microbiomes of humans, animals, plants, and natural and built environments. The journal also welcomes research on the virome, phageome, mycome, and fungome. It publishes both applied science and theoretical work. As an open access and interdisciplinary journal, its primary goal is to publish significant scientific advancements in microbial biofilms and microbiomes. The journal enables discussions that span multiple disciplines and contributes to our understanding of the social behavior of microbial biofilm populations and communities, and their impact on life, human health, and the environment.
×
引用
GB/T 7714-2015
复制
MLA
复制
APA
复制
导出至
BibTeX EndNote RefMan NoteFirst NoteExpress
×
提示
您的信息不完整,为了账户安全,请先补充。
现在去补充
×
提示
您因"违规操作"
具体请查看互助需知
我知道了
×
提示
确定
请完成安全验证×
copy
已复制链接
快去分享给好友吧!
我知道了
右上角分享
点击右上角分享
0
联系我们:info@booksci.cn Book学术提供免费学术资源搜索服务,方便国内外学者检索中英文文献。致力于提供最便捷和优质的服务体验。 Copyright © 2023 布克学术 All rights reserved.
京ICP备2023020795号-1
ghs 京公网安备 11010802042870号
Book学术文献互助
Book学术文献互助群
群 号:604180095
Book学术官方微信