Regional and whole-brain neurofunctional alterations during pain empathic processing of physical but not affective pain in migraine patients.

IF 7.9 1区 医学 Q1 CLINICAL NEUROLOGY
Dan Liu, Menghan Li, Heng Jiang, Yiqi Mi, Xiaolei Xu, Yali Zhou, Yaxian Hou, Yuquan Shen, Michael Maes, Xiao Xiao, Feng Zhou, Luca Giani, Keith M Kendrick, Benjamin Becker, Stefania Ferraro
{"title":"Regional and whole-brain neurofunctional alterations during pain empathic processing of physical but not affective pain in migraine patients.","authors":"Dan Liu, Menghan Li, Heng Jiang, Yiqi Mi, Xiaolei Xu, Yali Zhou, Yaxian Hou, Yuquan Shen, Michael Maes, Xiao Xiao, Feng Zhou, Luca Giani, Keith M Kendrick, Benjamin Becker, Stefania Ferraro","doi":"10.1186/s10194-025-02051-x","DOIUrl":null,"url":null,"abstract":"<p><strong>Background: </strong>Accumulating evidence suggests that migraine patients present abnormal brain responses to salient sensory and emotional stimuli. However, it is still unclear whether this is a generalized or domain-specific phenomenon. Employing a well-validated fMRI paradigm, we investigated pain empathic reactivity across two domains: observation of physical pain (noxious stimulation) and affective pain (facial expressions). On the basis of a generalized hyperexcitability/hyperreactivity in migraine, we hypothesized abnormal responses to both dimensions of pain empathy.</p><p><strong>Methods: </strong>We collected fMRI and psychometric data from 21 migraine patients and matched controls. Univariate and multivariate neuroimaging analyses were utilized to examine domain-specific dysregulations in (a) neural reactivity in meta-analytically defined shared regions of pain-empathy processing, and (b) whole-brain neurofunctional signatures of physical and affective pain empathy (VPS, Zhou et al., 2020). Logistic regression models and machine learning-based classification were employed to determine differences between groups (migraine or control).</p><p><strong>Results: </strong>Migraine patients exhibit increased neural responses during empathy for physical pain in the bilateral inferior frontal gyrus (slightly more pronounced on the right side), with alterations on the right significantly associated with the pain experienced during the attack. On the whole-brain level, the predictive accuracy of the VPS for physical pain empathy was shown to be significantly higher for patients as compared to controls, reaching 100% accuracy. Across analyses, we did not find evidence of altered empathy processing for affective pain.</p><p><strong>Conclusions: </strong>Contrary to our hypothesis, our results indicate that migraine patients present a domain-specific increased brain responsivity, localized in the bilateral inferior frontal gyrus but also extending to subtle whole brain patterns, during empathy for physical pain stimuli, but not during empathy for affective pain. Based on the evidence that the neural pathways for empathy for physical pain and experimental pain robustly overlap, these results indicate a specific hyperresponsivity of the pain pathways, with the inferior frontal gyrus likely playing a regulatory role in modulating pain-related processes. Finally, the results underscore the translational application potential of neuroaffective multivariate signatures as neuromarkers for pathological dysregulations in affective and pain-related processes.</p>","PeriodicalId":16013,"journal":{"name":"Journal of Headache and Pain","volume":"26 1","pages":"137"},"PeriodicalIF":7.9000,"publicationDate":"2025-06-12","publicationTypes":"Journal Article","fieldsOfStudy":null,"isOpenAccess":false,"openAccessPdf":"https://www.ncbi.nlm.nih.gov/pmc/articles/PMC12160361/pdf/","citationCount":"0","resultStr":null,"platform":"Semanticscholar","paperid":null,"PeriodicalName":"Journal of Headache and Pain","FirstCategoryId":"3","ListUrlMain":"https://doi.org/10.1186/s10194-025-02051-x","RegionNum":1,"RegionCategory":"医学","ArticlePicture":[],"TitleCN":null,"AbstractTextCN":null,"PMCID":null,"EPubDate":"","PubModel":"","JCR":"Q1","JCRName":"CLINICAL NEUROLOGY","Score":null,"Total":0}
引用次数: 0

Abstract

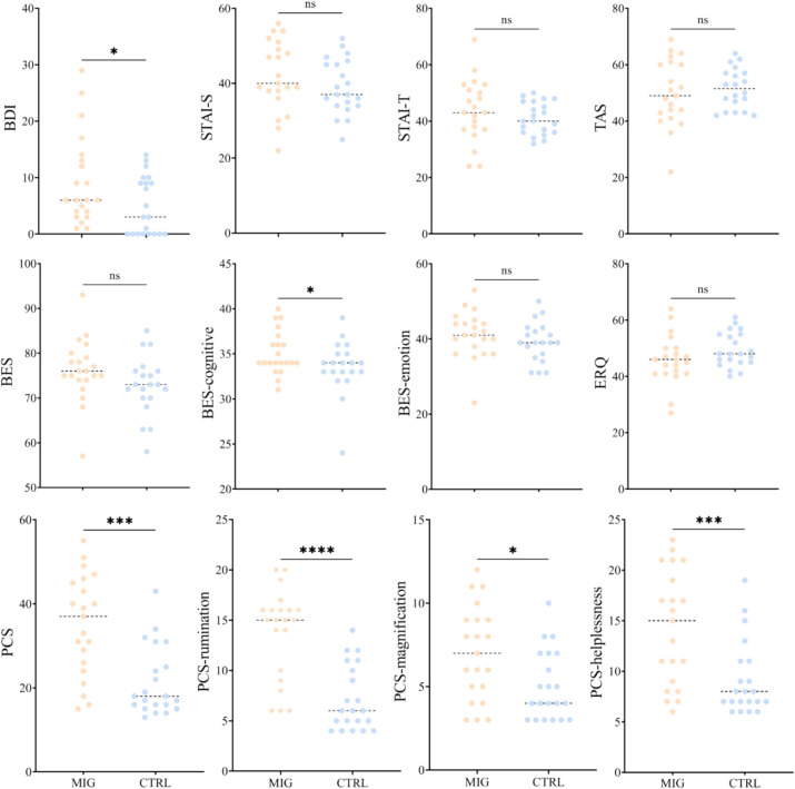
Background: Accumulating evidence suggests that migraine patients present abnormal brain responses to salient sensory and emotional stimuli. However, it is still unclear whether this is a generalized or domain-specific phenomenon. Employing a well-validated fMRI paradigm, we investigated pain empathic reactivity across two domains: observation of physical pain (noxious stimulation) and affective pain (facial expressions). On the basis of a generalized hyperexcitability/hyperreactivity in migraine, we hypothesized abnormal responses to both dimensions of pain empathy.

Methods: We collected fMRI and psychometric data from 21 migraine patients and matched controls. Univariate and multivariate neuroimaging analyses were utilized to examine domain-specific dysregulations in (a) neural reactivity in meta-analytically defined shared regions of pain-empathy processing, and (b) whole-brain neurofunctional signatures of physical and affective pain empathy (VPS, Zhou et al., 2020). Logistic regression models and machine learning-based classification were employed to determine differences between groups (migraine or control).

Results: Migraine patients exhibit increased neural responses during empathy for physical pain in the bilateral inferior frontal gyrus (slightly more pronounced on the right side), with alterations on the right significantly associated with the pain experienced during the attack. On the whole-brain level, the predictive accuracy of the VPS for physical pain empathy was shown to be significantly higher for patients as compared to controls, reaching 100% accuracy. Across analyses, we did not find evidence of altered empathy processing for affective pain.

Conclusions: Contrary to our hypothesis, our results indicate that migraine patients present a domain-specific increased brain responsivity, localized in the bilateral inferior frontal gyrus but also extending to subtle whole brain patterns, during empathy for physical pain stimuli, but not during empathy for affective pain. Based on the evidence that the neural pathways for empathy for physical pain and experimental pain robustly overlap, these results indicate a specific hyperresponsivity of the pain pathways, with the inferior frontal gyrus likely playing a regulatory role in modulating pain-related processes. Finally, the results underscore the translational application potential of neuroaffective multivariate signatures as neuromarkers for pathological dysregulations in affective and pain-related processes.

Abstract Image

Abstract Image

Abstract Image

偏头痛患者身体疼痛共情加工过程中的局部和全脑神经功能改变,而非情感性疼痛。
背景:越来越多的证据表明偏头痛患者对显著的感觉和情绪刺激表现出异常的大脑反应。然而,目前尚不清楚这是一种普遍现象还是特定领域的现象。采用行之有效的功能磁共振成像范式,我们研究了两个领域的疼痛共情反应:观察身体疼痛(有害刺激)和情感疼痛(面部表情)。基于偏头痛患者普遍的高兴奋性/高反应性,我们假设患者在疼痛共情的两个维度上都有异常反应。方法:收集21例偏头痛患者及对照组的功能磁共振成像和心理测量数据。利用单变量和多变量神经影像学分析来检查(a)疼痛-共情处理的元分析定义的共享区域的神经反应性,以及(b)身体和情感疼痛共情的全脑神经功能特征的领域特异性失调(VPS, Zhou等,2020)。采用逻辑回归模型和基于机器学习的分类来确定组(偏头痛或对照组)之间的差异。结果:偏头痛患者在对身体疼痛感同身受时,双侧额下回的神经反应增加(在右侧稍明显),右侧的改变与发作期间经历的疼痛显著相关。在全脑水平上,与对照组相比,VPS对身体疼痛共情的预测准确性明显更高,达到100%的准确性。通过分析,我们没有发现对情感性疼痛的移情处理发生改变的证据。结论:与我们的假设相反,我们的研究结果表明,偏头痛患者在对身体疼痛刺激感同身受时表现出特定领域的大脑反应性增加,这种反应局限于双侧额叶下回,但也延伸到微妙的全脑模式,而在对情感疼痛感同身受时则没有。基于对物理疼痛和实验疼痛的共情神经通路明显重叠的证据,这些结果表明疼痛通路具有特异性的高反应性,额下回可能在调节疼痛相关过程中发挥调节作用。最后,研究结果强调了神经情感多变量特征作为情感和疼痛相关过程病理失调的神经标志物的转化应用潜力。
本文章由计算机程序翻译,如有差异,请以英文原文为准。
求助全文
约1分钟内获得全文 求助全文
来源期刊
Journal of Headache and Pain
Journal of Headache and Pain 医学-临床神经学
CiteScore
11.80
自引率
13.50%
发文量
143
审稿时长
6-12 weeks
期刊介绍: The Journal of Headache and Pain, a peer-reviewed open-access journal published under the BMC brand, a part of Springer Nature, is dedicated to researchers engaged in all facets of headache and related pain syndromes. It encompasses epidemiology, public health, basic science, translational medicine, clinical trials, and real-world data. With a multidisciplinary approach, The Journal of Headache and Pain addresses headache medicine and related pain syndromes across all medical disciplines. It particularly encourages submissions in clinical, translational, and basic science fields, focusing on pain management, genetics, neurology, and internal medicine. The journal publishes research articles, reviews, letters to the Editor, as well as consensus articles and guidelines, aimed at promoting best practices in managing patients with headaches and related pain.
×
引用
GB/T 7714-2015
复制
MLA
复制
APA
复制
导出至
BibTeX EndNote RefMan NoteFirst NoteExpress
×
提示
您的信息不完整,为了账户安全,请先补充。
现在去补充
×
提示
您因"违规操作"
具体请查看互助需知
我知道了
×
提示
确定
请完成安全验证×
copy
已复制链接
快去分享给好友吧!
我知道了
右上角分享
点击右上角分享
0
联系我们:info@booksci.cn Book学术提供免费学术资源搜索服务,方便国内外学者检索中英文文献。致力于提供最便捷和优质的服务体验。 Copyright © 2023 布克学术 All rights reserved.
京ICP备2023020795号-1
ghs 京公网安备 11010802042870号
Book学术文献互助
Book学术文献互助群
群 号:604180095
Book学术官方微信