Nutritional content of vitamin and mineral supplements aimed at children in the peruvian market: analysis of compliance with recommendations.

IF 1 Q3 Medicine
Lorena Saavedra-Garcia, Anna Magdalena Gawlas, Antonella Quiroz-Macukachi, Hans Genmayel Donayre-Huamán, Raquel Idelsa Basurco-Olazabal, Jamee Guerra Valencia
{"title":"Nutritional content of vitamin and mineral supplements aimed at children in the peruvian market: analysis of compliance with recommendations.","authors":"Lorena Saavedra-Garcia, Anna Magdalena Gawlas, Antonella Quiroz-Macukachi, Hans Genmayel Donayre-Huamán, Raquel Idelsa Basurco-Olazabal, Jamee Guerra Valencia","doi":"10.17843/rpmesp.2025.421.14256","DOIUrl":null,"url":null,"abstract":"<p><p>We described the nutritional content of vitamin and mineral dietary supplements for children on the Peruvian market and their compliance to the recommended dietary intake. A cross-sectional study was carried out with the information declared on the packaging of 34 products sold in pharmacies during 2022. The daily doses of each micronutrient were calculated according to the manufacturer's instructions; we also estimated the compliance with the recommended dietary allowance (RDA) and the tolerable upper intake level (UL) by age group. The most common micronutrients were vitamins C (n=23), D (n=22), A (n=16), zinc (n=15) and B6 (n=14). In all groups, vitamin D, thiamine, riboflavin, folate, vitamin B12 and vitamin C exceeded the RDA. Zinc and copper also exceeded the recommendations in some groups. Vitamin A and folate most frequently exceeded the UL. Our findings highlight the need for greater health surveillance.</p>","PeriodicalId":53651,"journal":{"name":"Revista Peruana de Medicina de Experimental y Salud Publica","volume":"42 1","pages":"82-87"},"PeriodicalIF":1.0000,"publicationDate":"2025-06-09","publicationTypes":"Journal Article","fieldsOfStudy":null,"isOpenAccess":false,"openAccessPdf":"https://www.ncbi.nlm.nih.gov/pmc/articles/PMC12176023/pdf/","citationCount":"0","resultStr":null,"platform":"Semanticscholar","paperid":null,"PeriodicalName":"Revista Peruana de Medicina de Experimental y Salud Publica","FirstCategoryId":"1085","ListUrlMain":"https://doi.org/10.17843/rpmesp.2025.421.14256","RegionNum":0,"RegionCategory":null,"ArticlePicture":[],"TitleCN":null,"AbstractTextCN":null,"PMCID":null,"EPubDate":"","PubModel":"","JCR":"Q3","JCRName":"Medicine","Score":null,"Total":0}
引用次数: 0

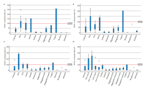
Abstract

We described the nutritional content of vitamin and mineral dietary supplements for children on the Peruvian market and their compliance to the recommended dietary intake. A cross-sectional study was carried out with the information declared on the packaging of 34 products sold in pharmacies during 2022. The daily doses of each micronutrient were calculated according to the manufacturer's instructions; we also estimated the compliance with the recommended dietary allowance (RDA) and the tolerable upper intake level (UL) by age group. The most common micronutrients were vitamins C (n=23), D (n=22), A (n=16), zinc (n=15) and B6 (n=14). In all groups, vitamin D, thiamine, riboflavin, folate, vitamin B12 and vitamin C exceeded the RDA. Zinc and copper also exceeded the recommendations in some groups. Vitamin A and folate most frequently exceeded the UL. Our findings highlight the need for greater health surveillance.

Abstract Image

Abstract Image

Abstract Image

秘鲁市场上针对儿童的维生素和矿物质补充剂的营养成分:对遵守建议情况的分析。
我们描述了秘鲁市场上儿童维生素和矿物质膳食补充剂的营养成分及其对推荐膳食摄入量的依从性。对2022年期间在药店销售的34种产品的包装上声明的信息进行了横断面研究。每一种微量营养素的每日剂量是根据制造商的说明计算的;我们还估计了各年龄组对推荐膳食摄入量(RDA)和可容忍的最高摄入量(UL)的依从性。最常见的微量营养素是维生素C (n=23)、D (n=22)、A (n=16)、锌(n=15)和B6 (n=14)。在所有组中,维生素D、硫胺素、核黄素、叶酸、维生素B12和维生素C都超过了RDA。锌和铜在一些人群中也超过了建议摄入量。维生素A和叶酸最常超过UL。我们的发现强调了加强健康监测的必要性。
本文章由计算机程序翻译,如有差异,请以英文原文为准。
求助全文
约1分钟内获得全文 求助全文
来源期刊
Revista Peruana de Medicina de Experimental y Salud Publica
Revista Peruana de Medicina de Experimental y Salud Publica Medicine-Public Health, Environmental and Occupational Health
CiteScore
3.00
自引率
0.00%
发文量
57
审稿时长
12 weeks
期刊介绍: La Revista Peruana de Medicina Experimental y Salud Pública (RPMESP) es el órgano oficial de difusión científica del Instituto Nacional de Salud (INS) del Perú. Es una publicación arbitrada por pares, de periodicidad trimestral, de ámbito y difusión mundial, indizada en MEDLINE/Index Medicos, SCOPUS, EMBASE, SciELO Salud Pública y otras bases de datos internacionales. La RPMESP es distribuida en su versión impresa y electrónica, con acceso gratuito a texto completo. La RPMESP publica artículos referidos a temas del ámbito biomédico y de salud pública, resaltando aportes prácticos, que contribuyan a mejorar la situación de salud del país y de la región. Propicia el intercambio de la experiencia científica en salud entre instituciones y personas dedicadas a la investigación dentro y fuera del Perú a fin de promover el avance y la aplicación de la investigación en salud.
×
引用
GB/T 7714-2015
复制
MLA
复制
APA
复制
导出至
BibTeX EndNote RefMan NoteFirst NoteExpress
×
提示
您的信息不完整,为了账户安全,请先补充。
现在去补充
×
提示
您因"违规操作"
具体请查看互助需知
我知道了
×
提示
确定
请完成安全验证×
copy
已复制链接
快去分享给好友吧!
我知道了
右上角分享
点击右上角分享
0
联系我们:info@booksci.cn Book学术提供免费学术资源搜索服务,方便国内外学者检索中英文文献。致力于提供最便捷和优质的服务体验。 Copyright © 2023 布克学术 All rights reserved.
京ICP备2023020795号-1
ghs 京公网安备 11010802042870号
Book学术文献互助
Book学术文献互助群
群 号:604180095
Book学术官方微信