Trends in organ- and tissue-specific donation refusals in São Paulo, Brazil, a quantitative cross-sectional study.

IF 1.6 4区 医学 Q2 MEDICINE, GENERAL & INTERNAL
Sao Paulo Medical Journal Pub Date : 2025-06-06 eCollection Date: 2025-01-01 DOI:10.1590/1516-3180.2024.0175.R1.29112024
Barbara Rossana Gimenez Hidalgo, Rafael Rodrigo da Silva Pimentel, Marcelo José Dos Santos, Edvaldo Leal de Moraes
{"title":"Trends in organ- and tissue-specific donation refusals in São Paulo, Brazil, a quantitative cross-sectional study.","authors":"Barbara Rossana Gimenez Hidalgo, Rafael Rodrigo da Silva Pimentel, Marcelo José Dos Santos, Edvaldo Leal de Moraes","doi":"10.1590/1516-3180.2024.0175.R1.29112024","DOIUrl":null,"url":null,"abstract":"<p><strong>Background: </strong>The mismatch between the supply and demand for organs and tissues for transplantation is one of the reasons for the high rates of donation refusal. A more recent contributing factor has been the COVID-19 pandemic.</p><p><strong>Objectives: </strong>To analyze, through the Terms of Donation of Organs and Tissues, the rates and trends of specific refusals for each organ and tissue from brain-dead donors between 2001 and 2020 in an Organ Procurement Organization.</p><p><strong>Design and setting: </strong>This was a cross-sectional, exploratory, and retrospective quantitative study on specific donation refusals conducted in one of the ten Organ Procurement Organizations in São Paulo, Brazil.</p><p><strong>Methods: </strong>The variables collected included year, age, gender, cause of death, type of hospital, and organs and tissues donated and refused. The data were transferred to Stata software for descriptive and inferential analysis, using generalized linear regression to examine time trends. A significance level of P lt; 0.05 was adopted.</p><p><strong>Results: </strong>Bones and skin had the highest rates of tissue donation refusal, at 56.40% and 55.37%, respectively. Among solid organs, the pancreas (4.05%) and lungs (5.23%) had the highest refusal rates. In the first decade analyzed, there were increasing time trends in refusals of valves, heart, pancreas, and lungs. In contrast, during the second decade, refusals of valves, kidneys, and pancreas showed decreasing trends. In 2020, the number of refusals for all tissues declined.</p><p><strong>Conclusion: </strong>To reduce tissue-specific refusals, it is important to address and mitigate family beliefs, myths, and negative attitudes toward organ and tissue donation.</p>","PeriodicalId":49574,"journal":{"name":"Sao Paulo Medical Journal","volume":"143 3","pages":"e2024175"},"PeriodicalIF":1.6000,"publicationDate":"2025-06-06","publicationTypes":"Journal Article","fieldsOfStudy":null,"isOpenAccess":false,"openAccessPdf":"https://www.ncbi.nlm.nih.gov/pmc/articles/PMC12148309/pdf/","citationCount":"0","resultStr":null,"platform":"Semanticscholar","paperid":null,"PeriodicalName":"Sao Paulo Medical Journal","FirstCategoryId":"3","ListUrlMain":"https://doi.org/10.1590/1516-3180.2024.0175.R1.29112024","RegionNum":4,"RegionCategory":"医学","ArticlePicture":[],"TitleCN":null,"AbstractTextCN":null,"PMCID":null,"EPubDate":"2025/1/1 0:00:00","PubModel":"eCollection","JCR":"Q2","JCRName":"MEDICINE, GENERAL & INTERNAL","Score":null,"Total":0}
引用次数: 0

Abstract

Background: The mismatch between the supply and demand for organs and tissues for transplantation is one of the reasons for the high rates of donation refusal. A more recent contributing factor has been the COVID-19 pandemic.

Objectives: To analyze, through the Terms of Donation of Organs and Tissues, the rates and trends of specific refusals for each organ and tissue from brain-dead donors between 2001 and 2020 in an Organ Procurement Organization.

Design and setting: This was a cross-sectional, exploratory, and retrospective quantitative study on specific donation refusals conducted in one of the ten Organ Procurement Organizations in São Paulo, Brazil.

Methods: The variables collected included year, age, gender, cause of death, type of hospital, and organs and tissues donated and refused. The data were transferred to Stata software for descriptive and inferential analysis, using generalized linear regression to examine time trends. A significance level of P lt; 0.05 was adopted.

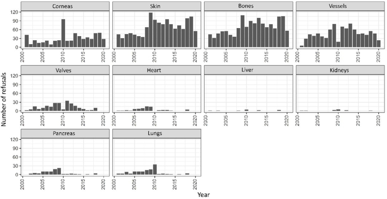
Results: Bones and skin had the highest rates of tissue donation refusal, at 56.40% and 55.37%, respectively. Among solid organs, the pancreas (4.05%) and lungs (5.23%) had the highest refusal rates. In the first decade analyzed, there were increasing time trends in refusals of valves, heart, pancreas, and lungs. In contrast, during the second decade, refusals of valves, kidneys, and pancreas showed decreasing trends. In 2020, the number of refusals for all tissues declined.

Conclusion: To reduce tissue-specific refusals, it is important to address and mitigate family beliefs, myths, and negative attitudes toward organ and tissue donation.

Abstract Image

Abstract Image

在巴西圣保罗,器官和组织特异性捐献拒绝的趋势,一项定量横断面研究。
背景:器官和组织的供需不匹配是导致器官移植拒绝率高的原因之一。最近的一个促成因素是COVID-19大流行。目的:通过《器官组织捐献条款》,分析某器官采购机构2001 - 2020年脑死亡供体各器官组织特异性拒绝率及趋势。设计和设置:这是一项横断面、探索性和回顾性的定量研究,在巴西圣保罗的十个器官采购组织之一进行了具体的捐赠拒绝。方法:收集的变量包括年龄、性别、死亡原因、医院类型、捐献和拒绝捐献的器官和组织。数据被转移到Stata软件进行描述性和推理分析,使用广义线性回归来检查时间趋势。P < 0.05;采用0.05。结果:骨骼和皮肤组织捐献拒绝率最高,分别为56.40%和55.37%。在实体器官中,胰腺(4.05%)和肺(5.23%)的拒绝率最高。在分析的第一个十年中,瓣膜、心脏、胰腺和肺部的拒绝有增加的时间趋势。相比之下,在第二个十年中,瓣膜、肾脏和胰腺的拒绝呈下降趋势。2020年,所有组织的拒收数量都有所下降。结论:为了减少组织特异性拒绝,解决和减轻家庭对器官和组织捐赠的信念、神话和消极态度是很重要的。
本文章由计算机程序翻译,如有差异,请以英文原文为准。
求助全文
约1分钟内获得全文 求助全文
来源期刊
Sao Paulo Medical Journal
Sao Paulo Medical Journal 医学-医学:内科
CiteScore
2.20
自引率
7.10%
发文量
210
审稿时长
6-12 weeks
期刊介绍: Published bimonthly by the Associação Paulista de Medicina, the journal accepts articles in the fields of clinical health science (internal medicine, gynecology and obstetrics, mental health, surgery, pediatrics and public health). Articles will be accepted in the form of original articles (clinical trials, cohort, case-control, prevalence, incidence, accuracy and cost-effectiveness studies and systematic reviews with or without meta-analysis), narrative reviews of the literature, case reports, short communications and letters to the editor. Papers with a commercial objective will not be accepted.
×
引用
GB/T 7714-2015
复制
MLA
复制
APA
复制
导出至
BibTeX EndNote RefMan NoteFirst NoteExpress
×
提示
您的信息不完整,为了账户安全,请先补充。
现在去补充
×
提示
您因"违规操作"
具体请查看互助需知
我知道了
×
提示
确定
请完成安全验证×
copy
已复制链接
快去分享给好友吧!
我知道了
右上角分享
点击右上角分享
0
联系我们:info@booksci.cn Book学术提供免费学术资源搜索服务,方便国内外学者检索中英文文献。致力于提供最便捷和优质的服务体验。 Copyright © 2023 布克学术 All rights reserved.
京ICP备2023020795号-1
ghs 京公网安备 11010802042870号
Book学术文献互助
Book学术文献互助群
群 号:604180095
Book学术官方微信