Aggression and Adjustment Among Chinese Adolescents: The Role of Classroom Cultural Norms.

IF 2.4 2区 心理学 Q1 PSYCHOLOGY, CLINICAL
Long Hei, Xinyin Chen, Junsheng Liu, Dan Li, Shihong Liu, Siman Zhao
{"title":"Aggression and Adjustment Among Chinese Adolescents: The Role of Classroom Cultural Norms.","authors":"Long Hei, Xinyin Chen, Junsheng Liu, Dan Li, Shihong Liu, Siman Zhao","doi":"10.1007/s10802-025-01336-8","DOIUrl":null,"url":null,"abstract":"<p><p>Classroom environment may play a significant role in shaping adolescent development. This one-year longitudinal study investigated the moderating effects of classroom cultural norms on the relations between aggression and adjustment among Chinese adolescents. Participants included 2,671 students (47.7% boys) in middle schools, initially in 7th grade (M age = 12.91 years), in China. Data on self- and group-orientations, aggression, and adjustment variables were obtained from multiple sources including self-reports, peer nominations, teacher ratings, and school records. Classroom group-oriented norm significantly moderated the relations between aggression and later adjustment. More specifically, aggression was negatively associated with academic and social competence in classrooms with higher scores on group-oriented norm. Aggression was also positively associated with distinguished studentship and negatively associated with loneliness in classrooms with lower scores on group-oriented norm. The results suggested that adolescents who were more aggressive performed worse in classrooms with a higher group-oriented norm and better in classrooms with a lower group-oriented norm. The study indicates that the context of classroom may affect school and psychosocial adjustment of adolescents high on aggression.</p>","PeriodicalId":36218,"journal":{"name":"Research on Child and Adolescent Psychopathology","volume":" ","pages":"1353-1365"},"PeriodicalIF":2.4000,"publicationDate":"2025-09-01","publicationTypes":"Journal Article","fieldsOfStudy":null,"isOpenAccess":false,"openAccessPdf":"https://www.ncbi.nlm.nih.gov/pmc/articles/PMC12423184/pdf/","citationCount":"0","resultStr":null,"platform":"Semanticscholar","paperid":null,"PeriodicalName":"Research on Child and Adolescent Psychopathology","FirstCategoryId":"102","ListUrlMain":"https://doi.org/10.1007/s10802-025-01336-8","RegionNum":2,"RegionCategory":"心理学","ArticlePicture":[],"TitleCN":null,"AbstractTextCN":null,"PMCID":null,"EPubDate":"2025/6/12 0:00:00","PubModel":"Epub","JCR":"Q1","JCRName":"PSYCHOLOGY, CLINICAL","Score":null,"Total":0}
引用次数: 0

Abstract

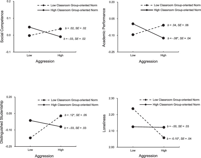
Classroom environment may play a significant role in shaping adolescent development. This one-year longitudinal study investigated the moderating effects of classroom cultural norms on the relations between aggression and adjustment among Chinese adolescents. Participants included 2,671 students (47.7% boys) in middle schools, initially in 7th grade (M age = 12.91 years), in China. Data on self- and group-orientations, aggression, and adjustment variables were obtained from multiple sources including self-reports, peer nominations, teacher ratings, and school records. Classroom group-oriented norm significantly moderated the relations between aggression and later adjustment. More specifically, aggression was negatively associated with academic and social competence in classrooms with higher scores on group-oriented norm. Aggression was also positively associated with distinguished studentship and negatively associated with loneliness in classrooms with lower scores on group-oriented norm. The results suggested that adolescents who were more aggressive performed worse in classrooms with a higher group-oriented norm and better in classrooms with a lower group-oriented norm. The study indicates that the context of classroom may affect school and psychosocial adjustment of adolescents high on aggression.

Abstract Image

Abstract Image

中国青少年的攻击性与适应:课堂文化规范的作用。
课堂环境可能在塑造青少年发展中起着重要作用。摘要本研究旨在探讨课堂文化规范对中国青少年攻击与适应关系的调节作用。参与者包括中国的2,671名中学学生(47.7%为男生),最初是七年级(M年龄= 12.91岁)。关于自我和群体取向、攻击性和调整变量的数据来自多种来源,包括自我报告、同伴提名、教师评分和学校记录。班级群体导向规范显著调节攻击性与后期适应的关系。更具体地说,在群体导向规范得分较高的班级,攻击性与学业和社会能力呈负相关。在群体导向规范得分较低的班级中,攻击性与优秀学生呈正相关,与孤独感负相关。结果表明,更具攻击性的青少年在群体导向规范较高的班级表现较差,在群体导向规范较低的班级表现较好。研究表明,课堂环境可能会影响高攻击性青少年的学校和心理社会适应。
本文章由计算机程序翻译,如有差异,请以英文原文为准。
求助全文
约1分钟内获得全文 求助全文
来源期刊
Research on Child and Adolescent Psychopathology
Research on Child and Adolescent Psychopathology Psychology-Developmental and Educational Psychology
CiteScore
5.00
自引率
4.00%
发文量
107
×
引用
GB/T 7714-2015
复制
MLA
复制
APA
复制
导出至
BibTeX EndNote RefMan NoteFirst NoteExpress
×
提示
您的信息不完整,为了账户安全,请先补充。
现在去补充
×
提示
您因"违规操作"
具体请查看互助需知
我知道了
×
提示
确定
请完成安全验证×
copy
已复制链接
快去分享给好友吧!
我知道了
右上角分享
点击右上角分享
0
联系我们:info@booksci.cn Book学术提供免费学术资源搜索服务,方便国内外学者检索中英文文献。致力于提供最便捷和优质的服务体验。 Copyright © 2023 布克学术 All rights reserved.
京ICP备2023020795号-1
ghs 京公网安备 11010802042870号
Book学术文献互助
Book学术文献互助群
群 号:604180095
Book学术官方微信