Ultrasound examination of the uterine diameter and the uterine blood vessels size in temporarily confined sows in the postpartal period- a pilot study.

IF 3.1 2区 农林科学 Q1 VETERINARY SCIENCES
Tip-Apa Akkhaphan, Preechaphon Taechamaeteekul, Alexander Grahofer, Padet Tummaruk
{"title":"Ultrasound examination of the uterine diameter and the uterine blood vessels size in temporarily confined sows in the postpartal period- a pilot study.","authors":"Tip-Apa Akkhaphan, Preechaphon Taechamaeteekul, Alexander Grahofer, Padet Tummaruk","doi":"10.1186/s40813-025-00448-3","DOIUrl":null,"url":null,"abstract":"<p><strong>Background: </strong>Prolonged farrowing duration is currently one of the challenges in the swine industry, which leads to postpartum complications by increasing uterine inflammation, and interference with physiological processes after parturition. The aim of the present study was to assess the relationship between uterine involution and uterine vessel size with farrowing duration in temporarily confined sows (during the day of farrowing and for the following 3 days) under tropical climates.</p><p><strong>Results: </strong>Fourteen Landrace × Yorkshire sows were included in the study. Uterine diameter and uterine vessel size were measured from 2 to 15 days postpartum using B-mode ultrasonography, a non-invasive technique that enables continuous monitoring of uterine involution and detection of reproductive problems in the same sows throughout the 15-day postpartum period. To determine the relationship between farrowing duration and uterine diameter, sows were categorized into two groups: sows with a farrowing duration of ≤ 300 min (normal) and sows with a farrowing duration > 300 min (prolonged). The mean farrowing duration was 200 ± 128 min, with 28.6% of sows experiencing prolonged farrowing. In the prolonged farrowing group, the diameter decreased from 43.5 ± 9.4 mm to 12.4 ± 0.5 mm, while in the normal group, it decreased from 30.7 ± 1.4 mm to 13.6 ± 0.4 mm. On day 2, sows in the prolonged farrowing group exhibited a higher uterine diameter than the normal group (P = 0.042). There was no significant difference in the size of the uterine blood vessels between the two groups (prolonged farrowing: 7.3 ± 1.3 mm to 2.5 ± 0.1 mm; normal farrowing 6.1 ± 0.7 mm to 2.7 ± 0.1 mm) (P = 0.397). However, the uterine diameter was correlated with the size of the uterine blood vessels in sows with either a normal farrowing duration (r = 0.705, P < 0.001) or a prolonged farrowing duration (r = 0.749, P < 0.001).</p><p><strong>Conclusions: </strong>This is the first study to evaluate and provide initial data on uterine vessel size and its correlation with the uterine diameter in postpartum sows. Although no significant differences between uterine vessel size and farrowing duration were detected, a notable increase in uterine size during the initial 2 days postpartum in temporarily confined sows under tropical climates with prolonged farrowing duration was identified.</p>","PeriodicalId":20352,"journal":{"name":"Porcine Health Management","volume":"11 1","pages":"33"},"PeriodicalIF":3.1000,"publicationDate":"2025-06-11","publicationTypes":"Journal Article","fieldsOfStudy":null,"isOpenAccess":false,"openAccessPdf":"https://www.ncbi.nlm.nih.gov/pmc/articles/PMC12153129/pdf/","citationCount":"0","resultStr":null,"platform":"Semanticscholar","paperid":null,"PeriodicalName":"Porcine Health Management","FirstCategoryId":"97","ListUrlMain":"https://doi.org/10.1186/s40813-025-00448-3","RegionNum":2,"RegionCategory":"农林科学","ArticlePicture":[],"TitleCN":null,"AbstractTextCN":null,"PMCID":null,"EPubDate":"","PubModel":"","JCR":"Q1","JCRName":"VETERINARY SCIENCES","Score":null,"Total":0}
引用次数: 0

Abstract

Background: Prolonged farrowing duration is currently one of the challenges in the swine industry, which leads to postpartum complications by increasing uterine inflammation, and interference with physiological processes after parturition. The aim of the present study was to assess the relationship between uterine involution and uterine vessel size with farrowing duration in temporarily confined sows (during the day of farrowing and for the following 3 days) under tropical climates.

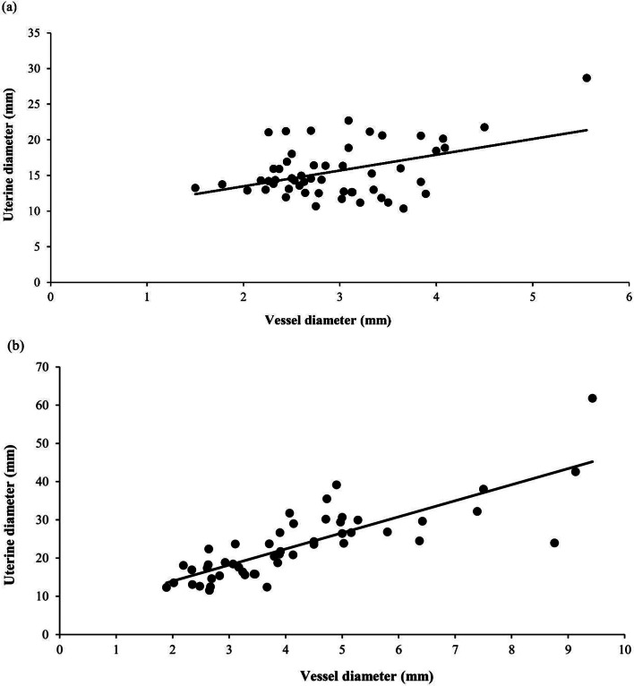
Results: Fourteen Landrace × Yorkshire sows were included in the study. Uterine diameter and uterine vessel size were measured from 2 to 15 days postpartum using B-mode ultrasonography, a non-invasive technique that enables continuous monitoring of uterine involution and detection of reproductive problems in the same sows throughout the 15-day postpartum period. To determine the relationship between farrowing duration and uterine diameter, sows were categorized into two groups: sows with a farrowing duration of ≤ 300 min (normal) and sows with a farrowing duration > 300 min (prolonged). The mean farrowing duration was 200 ± 128 min, with 28.6% of sows experiencing prolonged farrowing. In the prolonged farrowing group, the diameter decreased from 43.5 ± 9.4 mm to 12.4 ± 0.5 mm, while in the normal group, it decreased from 30.7 ± 1.4 mm to 13.6 ± 0.4 mm. On day 2, sows in the prolonged farrowing group exhibited a higher uterine diameter than the normal group (P = 0.042). There was no significant difference in the size of the uterine blood vessels between the two groups (prolonged farrowing: 7.3 ± 1.3 mm to 2.5 ± 0.1 mm; normal farrowing 6.1 ± 0.7 mm to 2.7 ± 0.1 mm) (P = 0.397). However, the uterine diameter was correlated with the size of the uterine blood vessels in sows with either a normal farrowing duration (r = 0.705, P < 0.001) or a prolonged farrowing duration (r = 0.749, P < 0.001).

Conclusions: This is the first study to evaluate and provide initial data on uterine vessel size and its correlation with the uterine diameter in postpartum sows. Although no significant differences between uterine vessel size and farrowing duration were detected, a notable increase in uterine size during the initial 2 days postpartum in temporarily confined sows under tropical climates with prolonged farrowing duration was identified.

Abstract Image

Abstract Image

Abstract Image

产后临时受限母猪子宫直径和子宫血管大小超声检查的初步研究。
背景:产程延长是目前养猪业面临的挑战之一,产程延长会增加子宫炎症,干扰分娩后的生理过程,从而导致产后并发症。本研究的目的是评估热带气候下临时禁闭母猪(分娩当天和接下来的3天)子宫复旧和子宫血管大小与分娩时间的关系。结果:14头长白×大母猪被纳入研究。在产后2 - 15天使用b超测量子宫直径和子宫血管大小,b超是一种无创技术,可以在产后15天内连续监测子宫复旧和发现同一母猪的生殖问题。为了确定产犊时间与子宫直径的关系,将母猪分为产犊时间≤300 min(正常)组和产犊时间≤300 min(延长)组。平均产犊时间为200±128 min, 28.6%的母猪产犊时间延长。延长产程组产径由43.5±9.4 mm减小至12.4±0.5 mm,正常组产径由30.7±1.4 mm减小至13.6±0.4 mm。第2天,延长分娩组母猪的子宫直径比正常组大(P = 0.042)。两组子宫血管大小差异无统计学意义(延长产程:7.3±1.3 mm ~ 2.5±0.1 mm;正常产小猪6.1±2.7±0.7毫米到0.1毫米)(P = 0.397)。结论:本研究首次对产后母猪子宫血管大小及其与子宫直径的相关性进行了初步评价,并提供了初步数据。虽然没有发现子宫血管大小和分娩时间之间的显著差异,但发现在热带气候下分娩时间延长的临时禁闭母猪产后2天子宫大小明显增加。
本文章由计算机程序翻译,如有差异,请以英文原文为准。
求助全文
约1分钟内获得全文 求助全文
来源期刊
Porcine Health Management
Porcine Health Management Veterinary-Food Animals
CiteScore
5.40
自引率
5.90%
发文量
49
审稿时长
14 weeks
期刊介绍: Porcine Health Management (PHM) is an open access peer-reviewed journal that aims to publish relevant, novel and revised information regarding all aspects of swine health medicine and production.
×
引用
GB/T 7714-2015
复制
MLA
复制
APA
复制
导出至
BibTeX EndNote RefMan NoteFirst NoteExpress
×
提示
您的信息不完整,为了账户安全,请先补充。
现在去补充
×
提示
您因"违规操作"
具体请查看互助需知
我知道了
×
提示
确定
请完成安全验证×
copy
已复制链接
快去分享给好友吧!
我知道了
右上角分享
点击右上角分享
0
联系我们:info@booksci.cn Book学术提供免费学术资源搜索服务,方便国内外学者检索中英文文献。致力于提供最便捷和优质的服务体验。 Copyright © 2023 布克学术 All rights reserved.
京ICP备2023020795号-1
ghs 京公网安备 11010802042870号
Book学术文献互助
Book学术文献互助群
群 号:604180095
Book学术官方微信