The Biofunctional Monomer, the Calcium Salt of 4-Methacryloxyethyl Trimellitic Acid, Promotes Odontoblast Differentiation in Three-Dimensional Culture System.

IF 4.5 Q3 MATERIALS SCIENCE, BIOMATERIALS
International Journal of Biomaterials Pub Date : 2025-06-03 eCollection Date: 2025-01-01 DOI:10.1155/ijbm/3693662
Yaxin Rao, Youjing Qiu, Takashi Saito
{"title":"The Biofunctional Monomer, the Calcium Salt of 4-Methacryloxyethyl Trimellitic Acid, Promotes Odontoblast Differentiation in Three-Dimensional Culture System.","authors":"Yaxin Rao, Youjing Qiu, Takashi Saito","doi":"10.1155/ijbm/3693662","DOIUrl":null,"url":null,"abstract":"<p><p>This study evaluated the effects of the biofunctional monomer CMET on the proliferation, differentiation, and mineralization of MDPC-23, odontoblast-like cells in a three-dimensional (3D) culture system using type I collagen. CMET (0.3%, w/v) facilitated the early adhesion and spreading of the cells in type I collagen gels. It significantly promoted cell proliferation in 0.2% and 0.3% concentrations. ALP activity also increased in the 0.3% CMET group. The 0.3% CMET group markedly enhanced odontogenic differentiation by upregulating mRNA of odontogenic differentiation markers such as DSPP and DSP-1. Mineral nodule formation in MDPC-23 cells grown in the 0.3% CMET group was markedly increased compared to that in the control group. After treating the cells with the three MAPK inhibitors, the ability of CMET to stimulate ALP activity in MDPC-23 cells was totally suppressed to control levels by the p38 inhibitor, SB202190. The enhancement of mineralization of MDPC-23 by CMET was partially impeded by SB202190. The results demonstrated that the biofunctional monomer CMET induced proliferation, differentiation, and mineralization of odontoblast-like cells in a 3D culture system using type I collagen gel at a concentration of 0.3%. Thus, combining CMET and type I collagen gel as a scaffold does not exhibit apparent cytotoxicity and is suggested to have immense potential for dentin regeneration.</p>","PeriodicalId":13704,"journal":{"name":"International Journal of Biomaterials","volume":"2025 ","pages":"3693662"},"PeriodicalIF":4.5000,"publicationDate":"2025-06-03","publicationTypes":"Journal Article","fieldsOfStudy":null,"isOpenAccess":false,"openAccessPdf":"https://www.ncbi.nlm.nih.gov/pmc/articles/PMC12151624/pdf/","citationCount":"0","resultStr":null,"platform":"Semanticscholar","paperid":null,"PeriodicalName":"International Journal of Biomaterials","FirstCategoryId":"1085","ListUrlMain":"https://doi.org/10.1155/ijbm/3693662","RegionNum":0,"RegionCategory":null,"ArticlePicture":[],"TitleCN":null,"AbstractTextCN":null,"PMCID":null,"EPubDate":"2025/1/1 0:00:00","PubModel":"eCollection","JCR":"Q3","JCRName":"MATERIALS SCIENCE, BIOMATERIALS","Score":null,"Total":0}
引用次数: 0

Abstract

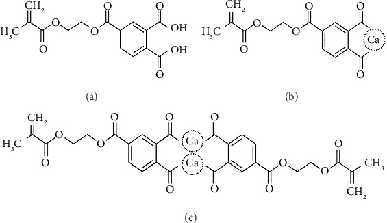
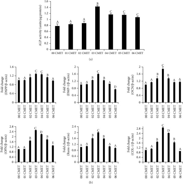
This study evaluated the effects of the biofunctional monomer CMET on the proliferation, differentiation, and mineralization of MDPC-23, odontoblast-like cells in a three-dimensional (3D) culture system using type I collagen. CMET (0.3%, w/v) facilitated the early adhesion and spreading of the cells in type I collagen gels. It significantly promoted cell proliferation in 0.2% and 0.3% concentrations. ALP activity also increased in the 0.3% CMET group. The 0.3% CMET group markedly enhanced odontogenic differentiation by upregulating mRNA of odontogenic differentiation markers such as DSPP and DSP-1. Mineral nodule formation in MDPC-23 cells grown in the 0.3% CMET group was markedly increased compared to that in the control group. After treating the cells with the three MAPK inhibitors, the ability of CMET to stimulate ALP activity in MDPC-23 cells was totally suppressed to control levels by the p38 inhibitor, SB202190. The enhancement of mineralization of MDPC-23 by CMET was partially impeded by SB202190. The results demonstrated that the biofunctional monomer CMET induced proliferation, differentiation, and mineralization of odontoblast-like cells in a 3D culture system using type I collagen gel at a concentration of 0.3%. Thus, combining CMET and type I collagen gel as a scaffold does not exhibit apparent cytotoxicity and is suggested to have immense potential for dentin regeneration.

Abstract Image

Abstract Image

Abstract Image

生物功能单体4-甲基丙烯氧基乙基三ellitic酸钙盐在三维培养体系中促进成牙细胞分化。
本研究评估了生物功能单体CMET在I型胶原的三维(3D)培养系统中对MDPC-23(牙母细胞样细胞)的增殖、分化和矿化的影响。CMET (0.3%, w/v)促进I型胶原凝胶中细胞的早期粘附和扩散。在0.2%和0.3%浓度下均能显著促进细胞增殖。0.3% CMET组的ALP活性也有所增加。0.3% CMET组通过上调牙源性分化标志物DSPP和dpp -1 mRNA,显著增强牙源性分化。与对照组相比,0.3% CMET组生长的MDPC-23细胞矿物结节形成明显增加。用三种MAPK抑制剂处理细胞后,CMET刺激MDPC-23细胞ALP活性的能力被p38抑制剂SB202190完全抑制到控制水平。CMET对MDPC-23矿化的增强作用被SB202190部分阻断。结果表明,生物功能单体CMET在使用浓度为0.3%的I型胶原凝胶的3D培养系统中诱导成牙髓细胞样细胞增殖、分化和矿化。因此,结合CMET和I型胶原凝胶作为支架不会表现出明显的细胞毒性,并被认为具有巨大的牙本质再生潜力。
本文章由计算机程序翻译,如有差异,请以英文原文为准。
求助全文
约1分钟内获得全文 求助全文
来源期刊
International Journal of Biomaterials
International Journal of Biomaterials MATERIALS SCIENCE, BIOMATERIALS-
CiteScore
4.30
自引率
3.20%
发文量
50
审稿时长
21 weeks
×
引用
GB/T 7714-2015
复制
MLA
复制
APA
复制
导出至
BibTeX EndNote RefMan NoteFirst NoteExpress
×
提示
您的信息不完整,为了账户安全,请先补充。
现在去补充
×
提示
您因"违规操作"
具体请查看互助需知
我知道了
×
提示
确定
请完成安全验证×
copy
已复制链接
快去分享给好友吧!
我知道了
右上角分享
点击右上角分享
0
联系我们:info@booksci.cn Book学术提供免费学术资源搜索服务,方便国内外学者检索中英文文献。致力于提供最便捷和优质的服务体验。 Copyright © 2023 布克学术 All rights reserved.
京ICP备2023020795号-1
ghs 京公网安备 11010802042870号
Book学术文献互助
Book学术文献互助群
群 号:604180095
Book学术官方微信