Nigeria's 6-year (2018-2023) stage distribution of breast cancer at diagnosis: a systematic review and meta-analysis.

IF 1.3 Q4 ONCOLOGY
ecancermedicalscience Pub Date : 2025-04-25 eCollection Date: 2025-01-01 DOI:10.3332/ecancer.2025.1899
Agodirin Olayide, Chijioke Chijindu, Mustapha Fathi, Rahman Ganiyu, Olatoke Samuel, Olaogun Julius, Akande Halima
{"title":"Nigeria's 6-year (2018-2023) stage distribution of breast cancer at diagnosis: a systematic review and meta-analysis.","authors":"Agodirin Olayide, Chijioke Chijindu, Mustapha Fathi, Rahman Ganiyu, Olatoke Samuel, Olaogun Julius, Akande Halima","doi":"10.3332/ecancer.2025.1899","DOIUrl":null,"url":null,"abstract":"<p><strong>Background: </strong>Nigeria has implemented various interventions to reduce late-stage breast cancer (BC) diagnosis in recent decades. This meta-analysis assessed the impact of these efforts by examining recent BC stage distribution data.</p><p><strong>Methods: </strong>A systematic review adhering to Preferred Reporting Items for Systematic Reviews and Meta-analysis guidelines was conducted. PubMed was searched for studies on BC in Nigeria from 2018 to 2023 and additional articles were identified through hand searching and snowballing in African Journal Online, Google Scholar and ResearchGate. Data on patient demographics, time to diagnosis at tertiary center and stage distribution were extracted and meta-analyzed using a random-effects model. A simple comparison with historical data of 2000-2018 was conducted.</p><p><strong>Results: </strong>Eleven articles reported the stage distribution of 1,647 BC patients. Overall analysis of the recent stage distribution showed a slight decrease in stages I, II and IV and an increase in stage III. However, these changes were accompanied by wider confidence intervals: 6% 95% confidence intervals (95% CI 0-15), 17% (6%-29%), 56 (95% CI 38-68) and 21 (9-34) were stages I-IV, respectively, compared to 8% (95% CI 3-13), 21% (14%-28%), 44 (95% CI 33-51) and 29 (21-37) in the historical data. The sensitivity analysis, using a two-stage classification as ('early' or 'late' disease), strongly indicated a trend towards more advanced-stage (82% CI 79-85) disease in the recent analysis.</p><p><strong>Conclusion: </strong>Advanced-stage BC remains prevalent in Nigeria. A comprehensive evaluation of current BC control strategies is needed to identify barriers and develop effective interventions for early diagnosis and treatment.</p>","PeriodicalId":11460,"journal":{"name":"ecancermedicalscience","volume":"19 ","pages":"1899"},"PeriodicalIF":1.3000,"publicationDate":"2025-04-25","publicationTypes":"Journal Article","fieldsOfStudy":null,"isOpenAccess":false,"openAccessPdf":"https://www.ncbi.nlm.nih.gov/pmc/articles/PMC12149240/pdf/","citationCount":"0","resultStr":null,"platform":"Semanticscholar","paperid":null,"PeriodicalName":"ecancermedicalscience","FirstCategoryId":"1085","ListUrlMain":"https://doi.org/10.3332/ecancer.2025.1899","RegionNum":0,"RegionCategory":null,"ArticlePicture":[],"TitleCN":null,"AbstractTextCN":null,"PMCID":null,"EPubDate":"2025/1/1 0:00:00","PubModel":"eCollection","JCR":"Q4","JCRName":"ONCOLOGY","Score":null,"Total":0}
引用次数: 0

Abstract

Background: Nigeria has implemented various interventions to reduce late-stage breast cancer (BC) diagnosis in recent decades. This meta-analysis assessed the impact of these efforts by examining recent BC stage distribution data.

Methods: A systematic review adhering to Preferred Reporting Items for Systematic Reviews and Meta-analysis guidelines was conducted. PubMed was searched for studies on BC in Nigeria from 2018 to 2023 and additional articles were identified through hand searching and snowballing in African Journal Online, Google Scholar and ResearchGate. Data on patient demographics, time to diagnosis at tertiary center and stage distribution were extracted and meta-analyzed using a random-effects model. A simple comparison with historical data of 2000-2018 was conducted.

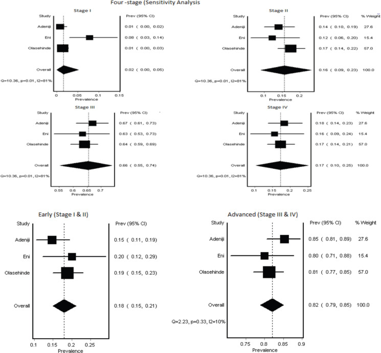
Results: Eleven articles reported the stage distribution of 1,647 BC patients. Overall analysis of the recent stage distribution showed a slight decrease in stages I, II and IV and an increase in stage III. However, these changes were accompanied by wider confidence intervals: 6% 95% confidence intervals (95% CI 0-15), 17% (6%-29%), 56 (95% CI 38-68) and 21 (9-34) were stages I-IV, respectively, compared to 8% (95% CI 3-13), 21% (14%-28%), 44 (95% CI 33-51) and 29 (21-37) in the historical data. The sensitivity analysis, using a two-stage classification as ('early' or 'late' disease), strongly indicated a trend towards more advanced-stage (82% CI 79-85) disease in the recent analysis.

Conclusion: Advanced-stage BC remains prevalent in Nigeria. A comprehensive evaluation of current BC control strategies is needed to identify barriers and develop effective interventions for early diagnosis and treatment.

Abstract Image

Abstract Image

Abstract Image

尼日利亚6年(2018-2023年)乳腺癌诊断阶段分布:系统回顾和荟萃分析
背景:近几十年来,尼日利亚实施了各种干预措施以减少晚期乳腺癌(BC)的诊断。本荟萃分析通过检查近期BC分期分布数据来评估这些努力的影响。方法:遵循系统评价和荟萃分析指南的首选报告项目进行系统评价。在PubMed检索了2018年至2023年尼日利亚关于BC的研究,并通过手工检索和滚雪球在非洲期刊在线、谷歌Scholar和ResearchGate中确定了其他文章。提取患者人口统计学、三级中心诊断时间和分期分布数据,并使用随机效应模型进行meta分析。与2000-2018年的历史数据进行了简单的比较。结果:11篇文章报道了1647例BC患者的分期分布。对最近阶段分布的全面分析表明,第一、第二和第四阶段略有减少,第三阶段有所增加。然而,这些变化伴随着更宽的置信区间:6% 95%置信区间(95% CI 0-15), 17% (6%-29%), 56 (95% CI 38-68)和21(9-34)分别为I-IV期,而历史数据中为8% (95% CI 3-13), 21% (14%-28%), 44 (95% CI 33-51)和29(21-37)。敏感性分析采用两阶段分类(“早期”或“晚期”疾病),在最近的分析中强烈显示出更晚期疾病的趋势(82% CI 79-85)。结论:晚期BC在尼日利亚仍然普遍存在。需要对目前的BC控制策略进行全面评估,以确定障碍并制定有效的早期诊断和治疗干预措施。
本文章由计算机程序翻译,如有差异,请以英文原文为准。
求助全文
约1分钟内获得全文 求助全文
来源期刊
CiteScore
3.80
自引率
5.60%
发文量
138
审稿时长
27 weeks
×
引用
GB/T 7714-2015
复制
MLA
复制
APA
复制
导出至
BibTeX EndNote RefMan NoteFirst NoteExpress
×
提示
您的信息不完整,为了账户安全,请先补充。
现在去补充
×
提示
您因"违规操作"
具体请查看互助需知
我知道了
×
提示
确定
请完成安全验证×
copy
已复制链接
快去分享给好友吧!
我知道了
右上角分享
点击右上角分享
0
联系我们:info@booksci.cn Book学术提供免费学术资源搜索服务,方便国内外学者检索中英文文献。致力于提供最便捷和优质的服务体验。 Copyright © 2023 布克学术 All rights reserved.
京ICP备2023020795号-1
ghs 京公网安备 11010802042870号
Book学术文献互助
Book学术文献互助群
群 号:604180095
Book学术官方微信